RASCH (728778), страница 4
Текст из файла (страница 4)
Кп = 3,15;
Ти = 12,6.
На рисунках 6.3.1 и 6.3.2 изображены кривые переходных процессов для одноконтурной АСР при полученных настройках регулятора при управляющем и возмущающем воздействии соответственно.
Величины максимального отклонения регулируемой величины составляют: 30 % - при управляющем воздействии, и 26 % - при возмущающем.
Настройки регулятора посчитаны для степени затухания 0,9. Уменьшение степени затухания приводит к увеличению величины перерегулированияв переходном процессе при управляющем воздействии.
Большие значения перерегулирования в переходных процессах обусловлены свойствами объекта регулирования.
рис.6.3.1. Кривая переходного процесса для одноконтурной АСР при управляющем воздействии.
рис.6.3.2. Кривая переходного процесса для одноконтурной АСР при возмущающем воздействии.
6.4. Расчет оптимальных настроек регуляторов каскадной АСР.
Для более оптимального ведения процесса нейтрализации, поддержания технологических параметров на заданном уровне (в данном дипломном проекте это величина рН сточных вод), предлагаю реализовать каскадно-комбинированную схему АСР с компенсацией по возмущению.
Каскадная система регулирования является схема, в которой вводится дополнительная стабилизация некоторой промежуточной величины дополнительным регулятором. Структурная схема имеет следующий вид:
Xy Wp1 Wp2 Xp WO.K. X
X1 WB.K.
рис.6.4.1.Структурная схема каскадной АСР.
Регулятор Wp1 контролирует основную величину “Х” и при ее отклонении воздействует не на регулирующий орган, а на задатчик регулятора Wp2. Регулятор Wp2 в свою очередь поддерживает на заданном значении вспомогательную величину Х1.
Объект WB.K. с регулятором Wp2 образуют внутренний контур системы или стабилизирующий.
Объект WO.K. c регулятором Wp1 называют внешним контуром или корректирующим.
Расчет оптимальных настроек регуляторов для каскадной АСР будем проводить в следующей последовательности:
1.- Определяем настройки регулятора внутреннего контура.
2.- Определяем вид передаточной функции для эквивалентного объекта.
3.- По передаточной функции эквивалентного объекта определяем настройки регулятора для внешнего контура.
Настройки регулятора внутреннего контура определяем по передаточной функции внутреннего канала объекта:
Расчет проводим аналогично расчету одноконтурной АСР. Получаем следующие настройки регулятора:
КП=2,56;
ТИ=7,47.
Переходные процессы внутреннего контура с полученными настройками регулятора по управлению и возмущению изображены на рисунках 6.4.1 и 6.4.2.
рис.6.4.2.График переходного процесса внутреннего контура по управляющему воздействию.
рис.6.4.3.График переходного процесса внутреннего контура при возмущающем воздействии.
Данные, которые были только что произведены понадобятся в дальнейшем для расчета эквивалентного объекта и пересчета настроек регулятора для каскадной АСР.
Итак рассчитываем передаточную функцию для эквивалентного объекта по следующей формуле:
WР1(S) - передаточная функция стабилизирующего регулятора:
WO.K(S) - передаточная функция основного канала.
WB.K.(S) - передаточная функция внутреннего канала.
Запишем следующую передаточную функцию эквивалентного объекта:
При дальнейших вычислениях получаем передаточную функцию эквивалентного объекта следующего вида:
По полученной передаточной функции эквивалентного объекта находим настроечные параметры для корректирующего регулятора:
Кп = 0,49;
Ти = 1,46.
На рисунках 6.4.3 и 6.4.4 изображены графики переходных процессов по управлению и по возмущению для каскадной АСР.
рис.6.4.3. График переходного процесса для каскадной АСР по управлению
рис.6.4.4. График переходного процесса для каскадной АСР по возмущению.
6.5 Расчет настроек регулятора комбинированной АСР.
Введение добавочных контуров регулирования способствует повышению точности работы системы. Схема, предложенная на рисунке 6.5.1 называется комбинированной схемой регулирования с компенсацией по возмущению. Выход компенсирующего устройства подается на вход регулятора.
WK
WВОЗ.
X Wp1 Wp2 WO.K Y
WB.K.
рис.6.5.1. Структурная схема комбинированной АСР.
Добавочное звено WK, которое появилось в данной схеме, является фильтром, через который
проходит возмущающее воздействие, прежде чем войти в систему в виде управляющего воздействия “Х”.
Преимущество комбинированной системы заключается в том, что увеличение фильтрующей способности фильтра может быть достигнута не только изменением настроечных параметров регулятора, но также изменением настроек компенсирующего устройства.
Сначала необходимо найти передаточную функцию эквивалентного фильтра. Передаточную функцию рассчитываем по формуле:
где
WB(S)- передаточная функция по каналу внешнего возмущения
WЭК.О(S)-передаточная функция эквивалентного объекта для каскадной АСР.
Wp1(S)-передаточная функция регулятора по основному каналу.
Подставляем в выражение значения передаточных функций и получаем следующее выражение:
После расчета получаем передаточную функцию эквивалентного компенсатора следующего вида:
Затем проводим расчет настроечных параметров компенсатора. Расчет ведем для нулевой и критической частоты. Для этого полученную передаточную функцию заводим в программу “Linrеg”. Снимаем КЧХ и записываем значения Re и Im для частот =0 и критической частоты по основному каналу =0.21827. Получаем следующие значения:
| | Re | Im |
| 0 | 0 | 0 |
| 0.21827 | 0.101 | 0.00412 |
Коэффициенты компенсатора определяем геометрически на рисунке 6.5.2.
Im
0.06
0.04
0.02
C D
0
0.02 0.04 0.06 0.08 0.1 0.102 0.104 Re
рис.6.5.2.Графический метод определения настроечных параметров компенсатора.
Из графика видно, что:
6.6 Моделирование переходных процессов
Для моделирования переходных процессов одноконтурных АСР по возмущению и по управлению, а также каскадной АСР по возмущению и по управлению и комбинированной системы с компенсатором и без него воспользуемся программой “SIAM”
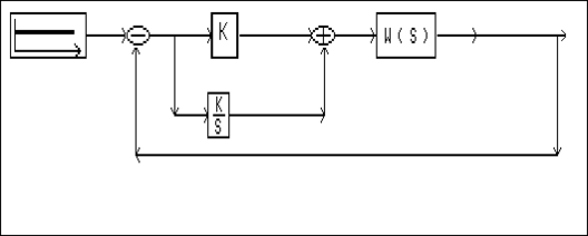
Схема одноконтурной АСР по управляющему воздействию предоставлена на рисунке 6.6.1, где
1. W(S)- объект-передаточная функция основного канала;
2. К-коэффициент пропорциональности регулятора основного канала, 3.15
3. K/S-значение Кп/Ти = 3.15/12.6 = 0.25
На рисунке 6.6.2 изображен график отклика схемы на единичный скачок.
рис.6.6.1.Схема одноконтурной АСР основного канала по управлению
рис.6.6.2 График отклика одноконтурной АСР по основному каналу на управляющее воздействие.
Схема переходного процесса основного канала по возмущению предоставлена на рисунке 6.6.3. Настройки звеньев схемы такие же как и в предыдущей схеме.
График отклика схемы на возмущение изображен на рисунке 6.6.4.
рис.6.6.3 Схема одноконтурной АСР основного канала по возмущению
рис.6.6.4.График отклика одноконтурной АСР по основному каналу на возмущение
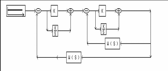
Модель каскадной АСР по управлению приведена на рисунке 6.6.5.
рис.6.6.5 Модель каскадной АСР по управлению
1.К-коэффициент пропорциональности регулятора эквивалентного объекта 0.49
2. K/S-значение Кп/Ти = 0.49/1.46 = 0.33
3. К-коэффициент пропорциональности регулятора внутреннего канала 2.56
4. K/S-значение Кп/Ти = 2.56/7.47 = 0.34
5.W(S)-передаточная функция внутреннего канала
6.W(S)-передаточная функция основного канала
График отклика модели на управляющее воздействие предоставлен на рисунке 6.6.6. График снимаем со звена 5.
рис.6.6.6.График отклика модели каскадной АСР по управлению.
Модель каскадной АСР по возмущению предоставлена на рисунке 6.6.7., где:
1.W(S)-передаточная функция объекта по основному каналу
2.W(S)-передаточная функция объекта по внутреннему каналу
3.К-коэффициент пропорциональности регулятора эквивалентного объекта Кп=0.49
4.K/S-значение Кп/Ти = 0.49/1.46 = 0.33
5.К-коэффициент пропорциональности регулятора внутреннего канала Кп=2.56
6.K/S-значение Кп/Ти = 2.56/7.47 =0.34
7.К-блок усиления входного сигнала К=-1
График отклика модели на возмущение изображен на рисунке 6.6.8.
















