145065 (728020), страница 2
Текст из файла (страница 2)
, що можливо тільки в тому випадку, якщо перепад напруги на колекторі не перевищує напруга зрушення, створена повторювачем, тобто при
Порушення цієї умови приводить до насичення транзистора, тому що потенціал його колектора виявляється нижче потенціалу бази. Отже, збільшення розмаху логічного сигналу, який визначається перепадом напруги в колекторному колі вхідних транзисторів, припустимо тільки при відповідному збільшенні зсуву рівня Uбэ.сд. Цього можна досягти, наприклад, шляхом вмикання додаткового діода, що зміщає, у емітерні кола транзисторів Т4 і Т5 . Емітерні повторювачі (без зсувних діодів) забезпечують зсув рівня, що складає 0,8 - 0,9 В. Розмах логічного сигналу, дорівнює цьому значенню, виявляється достатнім для більшості цифрових автоматів, побудованих на елементах ЕЗЛ. При цьому, щоб одержати однаковий розмах логічного сигналу на що інвертуючому і неінвертуючому виходах елемента значення опорів резисторів RKl =RK2 вибираються рівними один одному: RKl =RK2 = RK.
Включення повторювачів призводить також до зменшення вихідного опору елемента, що сприяє підвищенню його навантажувальної здатності і швидкодії. Таким чином, перемикач струму, доповнений емітерними повторювачами, стає логічним елементом, що реалізує операції АБО-НІ і АБО. Сигнал, що відповідають операції АБО-НІ, знімається з виходу повторювача, підключеного до інвертуючої половини елемента (тобто до колекторів вхідних транзисторів), а сигнал, що відповідає операції АБО, — з виходу повторювача, зв’язаного з транзистором Т (рис. 12).
Елементи на перемикачах струму виготовляються у вигляді напівпровідникових чи сполучених ІМС. Так як в цих ІМС транзистори працюють без насичення, то шляхом підключення підкладки та ізолюючих шарів к точкам відповідно з найменшим і найбільшим потенціалами можна замкнути паразитні транзистори, вимкнувши тим самим їх активну дію. Тому в ІМС на перемикачах струму виявляється тільки ємнісний вплив підкладки.
На рис. 13 показана перемикальна характеристика мікросхеми ЕЗЛ для двох її виходів: інвертуючого (Uвых1) та неінвертуючого (Uвых2).
рис . 13. Перемикальні характеристики мікросхеми ЕЗЛ.
При вхідних напругах, менших потенціалу відмикання, вхідні транзистори залишаються замкненими і на інвертуючому встановлюється високий потенціал
відповідний логічній 1 (lэс.—.число вхідних транзисторів). При цьому струм I0 цілком відбирається транзистором Т з фіксованим зсувом і на неінвертуючому виході установлюється низький потенціал
(3) відповідний логічному 0. Розмах логічного сигналу
Коли напруга UВХ досягає потенціалу відмикання, вхідні транзистори починають проводити, і струм I0 частково відгалужується в емітери провідних транзисторів. Якщо одночасно проводять lпр вхідних транзисторів (із загального числа lэс), то потенціал колектора цих транзисторів зменшується і відповідно знижується напруга на інвертуючому виході до рівня
Через перерозподіл струму I0 змінюється і напруга на неінвертуючому виході
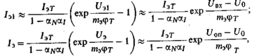
Струми емітерів Іэ1 і Іэ відповідно для вхідних транзисторів і транзистора Т визначаються співвідношеннями
де U0 = IoR — потенціал об’єднаних емітерів відносно загальної шини живлення.
При відмиканні вхідних транзисторів трохи змінюється струм I0 і відповідно потенціал об’єднаних емітерів U0. Зміна струму I0 настільки незначна, що їм можна не враховувати. Не так істотно змінюється і потенціал U0 (у порівнянні зі своїм середнім значенням). Однак ця незначна зміна U0 порівнянна з напругою на емітерних переходах транзисторів. Саме вона призводить до зміни струму емітера Іэ транзистора з фіксованим зсувом, тому .для правильного розрахунку перемикальної характеристики
необхідно враховувати зміну U0 зі зміною вхідної напруги Uвх. Залежність U0 про від Uвх можна визначити із рівняння І0 = ІпрІэ1+ Іэ, представивши його в наступному виді:
Визначивши із цього рівняння
можна виразити залежність вихідних напруг від вхідної напруги наступними співвідношеннями:
При зміні вхідної напруги трохи міняється і різниця потенціалів Uбэ.сд на емітерному переході транзисторів у схемах повторювачів. Тому що в робочому діапазоні відхилення Uбэ.сд від свого середнього значення незначні, то при практичних розрахунках ними можна зневажати, прийнявши
Це значення Uбэ.сд відповідає середньому значенню струму емітера транзистора в схемі повторювача, який визначається зі співвідношення
Тому що
та
визначаються через Uбэ.сд , то при первісних розрахунках зручно замість формули (9) скористатися співвідношенням ,
заснованим на рівності Uоп =0,5(
+
), до виконання якого звичайно прагнуть, щоб забезпечити симетрію елемента по граничних напругах.
Коли транзистор Т перестає проводити, струм І0 цілком відбирається провідними вхідними транзисторами. Після цього зі збільшенням вхідної напруги спостерігається зменшення напруги на інвертуючому виході Uвых1 Тому що після повного переключення струму І0 провідні вхідні транзистори працюють із глибоким негативним зворотним зв'язком по струму, що протікає через резистор R, то зменшення Uвых1 незначне. При напрузі Uвх.нас транзистори насичуються, їхній базовий струм відгалужується в колекторний ланцюг, зменшуючи перепад напруги на RK1, тому Uвых1 зростає (рис. 13). Насичення вхідних транзисторів порушує нормальний режим роботи ІМС, тому шляхом відповідного підбора параметрів схеми і напруг джерел живлення такий режим роботи вимикається.
Як видно з графіків на рис. 13, перемикальні характеристики Uвых1 і Uвых2 перетинаються в точці 3, координати якої можна визначити з рівняння Uвых1= Uвых2 На підставі цього рівняння можна показати, що перемикальні характеристики перетинаються при вхідній напрузі:
При цьому
тобто в точці перетину
Якщо опорна напруга обрана рівним середньому значенню
, тобто
те робочі точки 1 і 2 розташовуються симетрично щодо середньої точки 3 для lпр = 1 (рис. 13).
Тому що в мікросхемі ЕЗЛ транзистори працюють в активній області у всьому робочому діапазоні зміни вхідної напруги, те перешкодостійкість обмежується напругою, при якій коефіцієнт підсилення логічного елемента по відповідним виходах зростає до 1. На підставі (8) можна показати, що коефіцієнт підсилення по інвертуючому виходу стає рівним мінус одиниці
при вхідній напрузі
а по неинвертирующему виході-одиниці
1), коли вхідна напруга досягає
Коефіцієент К визначається виразом
Перешкодостійкість ІМС, яка визначається як різниця вхідних напруг у робочих струмах і при одиничному коефіцієнті підсилення, розраховується за формулами
які виходять на підставі формул, виведених вище. Помітимо, що при lпр=1 перешкодостійкість для логічної 1 і логічного 0 по входу виявляється однаковою. Зі збільшенням числа провідних транзисторів lпр симетрія ІМС по перешкодостійкості порушується; перешкодостійкість для логічної 1 стає більше перешкодостійкою для логічного 0.
При визначенні навантажувальної здатності і коефіцієнта об'єднання по входу в ИМС на перемикачах струму припустимі значення перешкодостійкості не є визначальними, як це має місце для інших типів логічних елементів. Для розглянутої групи ИМС зазначені параметри визначаються припустимим збільшенням тривалості перехідних процесів, тому що ІМС на перемикачах струму є швидкодіючими і саме цей параметр для них є визначальним.
Підвищення швидкодії елемента ЕЗЛ досягається шляхом помітного збільшення споживаної потужності. Середнє значення цієї потужності можна розрахувати по формулі
у який перший доданок
— це потужність, споживана перемикачем струму, а другий доданок
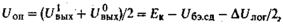
- середня потужність, споживана емітерними повторювачами. Виразивши на підставі (13) напругу Ек через Uоп,
Uлог та Uбэ.сд , одержимо:
Подальше удосконалення логічних елементів на перемикачах струму призвело до розробки ІМС емітерно-зв’язаної логіки з емітерними повторювачами на вході (скорочено ЕЕЗЛ елементи). У мікросхемі елемента ЕЗЛ (рис. 12) емітерні повторювачі вмикаються до виходів елемента для знімання інформації. При цьому перемикач струму складається з вхідних транзисторів, що використовуються для введення інформації і транзистора з опорною напругою. До виходу кожного повторювача підключають транзистори, кожний з який є вхідним елементом наступних перемикачів струму.
3. ПОСТАНОВКА ЗАДАЧІ
Згідно з раніше вказаним, існує багато мікросхем , які працюють на на емітерно-зв’язаній логіці. Для їх дослідження необхідно було розробити та виготовити експериментальний макет, на якому було б можливо проводити дослідження принципа їх роботи.
Крім того необхідно було розробити методичні вказівки щодо дослідження логічних елементів емітерно-зв’язаної логіки на цьому макеті.
















