143678 (727103), страница 4
Текст из файла (страница 4)
Относительные величины динамики:
Эксплуатационные тонно-километры брутто вагонов в отчёте по сравнению с базисом уменьшились на 13,11% за счёт значительного снижения тонно-километров тары на 23,95% и снижения тонно-километров нетто на 3,63%. Уменьшение тонно-километров брутто является отрицательным фактором и негативно сказывается на результате работы дороги в целом. Однако тонно-км тары снизились в большей степени, чем тонно-км нетто, что оценивается как положительный фактор в работе дороги.
6,2 Анализ динамики локомотиво-километров линейного пробега поездных локомотивов
Формула определения:
Относительные величины динамики:
Локомотиво-километры поездных грузовых локомотивов линейного пробега в отчётном периоде по сравнению с базисным увеличились незначительно на 0,52%, что обусловлено ростом локомотиво-километров поездных грузовых локомотивов во главе поезда на 0,44%, снижением локомотиво-километров поездных грузовых локомотивов в двойной тяге на 1,9%, , а также ростом величины локомотиво-километров поездных грузовых локомотивов в одиночном следовании, в подталкивании и вторым локомотивов по системе многих единиц на 1,42%, 0,76% и 3,42% соответственно.
Динамику данного показателя нельзя назвать положительной, т.к. рост локомотиво-километров вспомогательного линейного пробега превышает рост локомотиво-километров во главе поездов, в подталкивании и в одиночном следовании.
6,3 Анализ динамики локомотиво-суток поездных грузовых локомотивов
Формула определения:
Относительные величины динамики:
Локомотиво-сутки поездных грузовых локомотивов возросли на 0,57% вследствие снижения локомотиво-суток поездных грузовых локомотивов на промежуточных станциях, оборотных депо и основном депо на 4,22%, 10,13% и 2,84% соответственно. А также вследствие роста локомотиво-суток поездных грузовых локомотивов на станциях оборотного депо на 4,39%, на станциях основного депо на 2,41%, а также на перегонах и станциях смены локомотивной бригады на 1,96% и 2,79%.
Рост количества локомотиво-суток поездных грузовых локомотивов отрицательно отразилось на работе железной дороги.
7 Определение величин и динамики качественных показателей грузовых поездов и поездных грузовых локомотивов
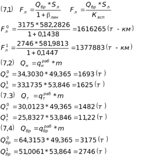
По данным ТАБЛИЦЫ 5,1 определяем величину качественных показателей использования грузовых поездов, поездных грузовых локомотивов и на основании этого заполняем ТАБЛИЦУ 7,1 «Качественные показатели использования грузовых поездов и поездных грузовых локомотивов».
В соответствии с ТАБЛИЦЕЙ 7,1 необходимо проверить правильность расчёта качественных показателей по следующим формулам взаимосвязи:
Все проверки дают правильные результаты.
ТАБЛИЦА 7.1
| Качественные показатели использования грузовых поездов и поездных локомотивов | ||||||
| № | Наименование показателя | Формула | Величина показателя | Проверка | Относит | |
| ноябрь | ||||||
| базис | отчет | |||||
| 1 | 2 | 3 | 4 | 5 | 6 | 7 |
| 1 | Среднесут производительность поездного грузового локомотива, т/км брутто | Fл | 1 616 265 | 1 377 883 | (7,1) | 0,8525 |
| 2 | Средний вес грузового поезда |
|
|
|
|
|
| нетто | Qн | 1 693,377 | 1 624,725 | (7,2) | 0,9595 | |
| тары | Qт | 1 481,567 | 1 085,495 | (7,3) | 0,7327 | |
| брутто | Qбр | 3 174,945 | 2 710,220 | (7,4) | 0,8536 | |
| 3 | Коэф веса поезда нетто к весу поезда брутто, доля | Кн/бр | 0,5334 | 0,5995 |
| 1,1240 |
| 4 | Коэф веса поезда тары к весу поезда брутто, доля | Кт/бр | 0,4666 | 0,4005 |
| 0,8583 |
| 5 | Коэф вспомогательного линейного пробега локомотивов к пробегу во главе поездов, доля |
| 0,1438 | 0,1447 |
| 1,0063 |
| 6 | Коэф линейного пробега локомотивов к пробегу во главе поездов, доля | Квсп | 1,1438 | 1,1447 | (7,6) | 1,0008 |
| 7 | Ср числен вагонов в грузовом поезде, ваг | m | 49,3653 | 53,8462 |
| 1,0908 |
| 8 | Ср скорость движения поездного локомотива, км\ч |
|
|
|
|
|
| техническая | V'тех | 50,5090 | 49,7851 |
| 0,9857 | |
| участковая | V'уч | 42,7792 | 42,5556 |
| 0,9948 | |
| 9 | Ср скорость движения грузового поезда, км/ч |
|
|
|
|
|
| техническая | Vтех | 50,4747 | 49,7594 |
| 0,9858 | |
| участковая | Vуч | 42,3254 | 42,1577 |
| 0,9960 | |
| 10 | Среднесут пробег поездного грузового локомотива, км/сут | Sл | 582,2826 | 581,9813 | (7,7) | 0,9995 |
| в том числе |
|
|
|
|
| |
| в поездах | Sпл | 538,7364 | 538,0687 |
| 0,9988 | |
| в одиночном следовании | Sодл | 43,5462 | 43,9126 |
| 1,0084 | |
| 11 | Относительная величины структуры бюджета времени поездных грузовых локомотивов, доля |
| 1,0 | 1,0 | (7,10) |
|
| на перегонах | yпер | 0,4803 | 0,4871 |
| 1,0140 | |
| на промежуточных станциях | yпр ст | 0,0868 | 0,0827 |
| 0,9534 | |
| на станциях смены локомотивной бригады | yсм | 0,0517 | 0,0531 |
| 1,0257 | |
| на станциях оборотного депо | yст об | 0,1433 | 0,1487 |
| 1,0379 | |
| в оборотных депо | yоб | 0,0809 | 0,0735 |
| 0,9085 | |
| на станциях основного депо | yст осн | 0,0773 | 0,0800 |
| 1,0350 | |
| в основных депо | yосн | 0,0652 | 0,0630 |
| 0,9660 | |
8 Анализ динамики качественных показателей использования грузовых поездов и поездных грузовых локомотивов
П
еред анализом динамики качественных показателей использования грузовых поездов и поездных грузовых локомотивов приведём систему взаимосвязи качественных показателей использования грузовых поездов и поездных грузовых локомотивов:
8,1 Анализ динамики среднесуточной производительности поездного грузового локомотива
Формулы взаимосвязи:
Относительные величины динамики:
















