240-2446 (721928)
Текст из файла
13
Министерство общего и профессионального образования РФ
-------------------------------------------------------------------------------------------------------
Новгородский Государственный Университет
им. Ярослава Мудрого
кафедра ФТТиМ
Контроль параметров АЦП
Реферат по дисциплине:
Испытания изделий электронной техники.
Выполнил:
Студент группы 4031
_______Галинко В.Ю.
«___»_____________1999
Проверил:
Преподаватель каф. ФТТиМ
_______Крутяков.Л.Н.
«___»_____________1999
Новгород
1999
Содержание
Введение | 3 |
1. Основные структуры ИМС АЦП | 4 |
2. Характеристики ИМС АЦП | 7 |
3. Контроль статических параметров ИМС АЦП | 13 |
4. Контроль динамических параметров ИМС АЦП | 19 |
Список использованных источников | 23 |
Введение
Цифро-аналоговые и аналого-цифровые преобразователи АЦП находят .широкое применение в различных областях современной науки и техники. Они являются неотъемлемой составной частью цифровых измерительных приборов, систем преобразования и отображения информации, программируемых источников питания, индикаторов на электронно-лучевых трубках, радиолокационных систем, установок для контроля элементов и микросхем, а также важными компонентами различных автоматических систем контроля и управления, устройств ввода—вывода информации ЭВМ. На их основе строят преобразователи и генераторы практически любых функций, цифроуправляемые аналоговые регистрирующие устройства, корреляторы, анализаторы спектра и т. д. Велики перспективы использования быстродействующих преобразователей в телеметрии и телевидении. Несомненно, серийный выпуск малогабаритных и относительно дешевых АЦП еще более усилит тенденцию проникновения метода дискретно-непрерывного преобразования в сферу науки и техники. Одним из стимулов развития цифро-аналоговых и аналого-цифровых преобразователей в интегральном исполнении в последнее время является широкое распространение микропроцессоров и методов цифровой обработки данных. В свою очередь потребность в АЦП стимулирует их разработку и производство с новыми, более совершенными характеристиками. В настоящее время применяют три вида технологии производства АЦП: модульную, гибридную и полупроводниковую. При этом доля производства полупроводниковых интегральных схем (ИМС ЦАП и ИМС АЦП) в общем объеме их выпуска непрерывно возрастает и в недалеком будущем, по-видимому, в модульном и гибридном исполнениях будут выпускаться лишь сверхточные и сверхбыстродействующие преобразователи с достаточно большой рассеиваемой мощностью.
В данной главе рассматриваются основные структуры, характеристики и методы контроля интегральных микросхем АЦП.
1 Основные структуры ИМС АЦП
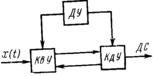
Рис. 1. Обобщенная структурная схема АЦП
Обобщенная структурная схема АЦП (рис.1) представляет собой дискретизирующее устройство ДУ, тактирующее работу квантующего КвУ и кодирующего КдУ устройств. На вход квантующего устройства поступает преобразуемый сигнал x(t), а с выхода кодирующего устройства снимается дискретный сигнал ДС, который для АЦП в интегральном исполнении обыччно имеет форму двоичного параллельного кода. В результате равномерного квантования мгновенное значение xi непрерывной величины x(t) представляется в виде конечного числа п ступеней квантования Δх:
Xi=nΔx=x ±Δk,
где Δk - погрешность квантования, обусловленная тем, что преобразуемая величина х может содержать нецелое число п ступеней квантования Δх.
Максимально возможная погрешность квантования (погрешность дискретности) определяется ступенью квантования, т. е.
Δkmax= Δx
Для известного диапазона xmax максимально возможное число дискретных значений преобразуемого сигнала х (включая х==0)
nmax=(xmax/ Δx+1)
При этом, как правило, погрешность квантования не должна превышать общую погрешность преобразования.
Следовательно, если известно значение допустимой относительной погрешности преобразования γmaх, то при определении ступени квантования необходимо учитывать соотношение
Δx ≤ (γmaх /100)*xmax
Кроме того, следует учитывать, что АЦП обладают определенным порогом чувствительности Хп.ч, т. е. способностью вызывать изменение выходной информации преобразователя при воздействии на его вход наименьшего значения преобразуемого сигнала. Поэтому значение Δx должно превышать Хп.ч и удовлетворять неравенству
Хп.ч < Δx ≤ (γmaх /100)*xmax
Реализацию обобщенной структуры можно осуществить различными способами, которые рассмотрены ниже. Независимо от способа построения АЦП всем им присуща методическая погрешность, обусловленная погрешностью квантования Δx.
В зависимости от области применения АЦП их основные характеристики (точность, разрешающая способность, быстродействие) могут существенно отличаться. При использовании АЦП в измерительных устройствах главную роль играет точность преобразования, а быстродействие этих устройств ограничено реальной скоростью регистрации результата измерения. При использовании АЦП в качестве устройства ввода измерительной информации в ЭВМ от него требуется быстродействие в большей степени.
Широкое применение АЦП в различных областях науки и техники явилось предпосылкой создания разных структур АЦП, каждая из которых позволяет решить определенные задачи, предъявляемые к АЦП в каждом конкретном случае. Из всего многообразия существующих методов аналого-цифрового преобразования в интегральной технологии нашли применение в основном три:
1) метод прямого (параллельного) преобразования;
2) метод последовательного приближения (поразрядного уравновешивания);
3) метод интегрирования.
Каждый из этих методов позволяет добиться наилучших параметров (быстродействия, разрешающей способности, помехоустойчивости и т. д.). Потребность в АЦП с оптимальными параметрами или с отдельными экстремальными параметрами обусловила появление структур преобразователей, использующих комбинацию перечисленных методов. Рассмотрим структурные схемы АЦП, нашедших наибольшее распространение в интегральной технологии.
В АЦП с параллельным преобразованием входной сигнал прикладывается одновременно ко входам всех компараторов. В каждом компараторе он сравнивается с опорным сигналом, значение которого эквивалентно определенной кодовой комбинации. Опорный сигнал снимается с узлов резистивного делителя, питаемого от источника опорного напряжения. Число возможных кодовых комбинаций (а следовательно, число компараторов) равно 2m—1, где т—число разрядов АЦП. АЦП прямого преобразования обладают самым высоким быстродействием среди других типов АЦП, определяемым быстродействием компараторов и задержками в логическом дешифраторе. Недостатком их является необходимость в большом количестве компараторов. Так, для 8-разрядного АЦП требуется 255 компараторов. Это затрудняет реализацию многоразрядных (свыше 6—8-го разрядов) АЦП в интегральном исполнении. Кроме того, точность преобразования ограничивается точностью и стабильностью каждого компаратора и резистивного делителя. Тем не менее на основе данного принципа строят наиболее быстродействующие АЦП со временем преобразования в пределах десятков и даже единиц наносекунд, но ограниченной разрядности (не более шести разрядов).
АЦП последовательного приближения имеет несколько меньшее быстродействие, но существенно большую разрядность (разрешающую способность). В нем используется только один компаратор, максимальное число срабатываний которого за один цикл измерения не превышает числа разрядов преобразователя. Суть такого метода преобразования заключается в последовательном сравнении входного преобразуемого напряжения Us с выходным напряжением образцового ЦАП, изменяющимся по закону последовательного приближения до момента наступления их равенства (с погрешностью дискретности). Входной сигнал Ux с помощью аналогового компаратора КН сравнивается с выходным сигналом образцового ЦАП, который управляется в свою очередь регистром последовательного приближения РгПП. При запуске схемы РгПП устанавливается генератором Г в исходное состояние. При этом на выходе ЦАП формируется напряжение, соответствующее половине диапазона преобразования, что обеспечивается включением его старшего разряда 100 ... 0. Если Us меньше выходного напряжения ЦАП, то старший разряд выключается, включается второй по старшинству разряд (на входе ЦАП код 0100...0), что соответствует 'формированию на выходе ЦАП напряжения, равного половине предыдущего. В случае если Их превышает это напряжение, то дополнительно включается третий разряд (на входе ЦАП код 0110...0), что приводит к увеличению выходного напряжения ЦАП в 1,5 раза. При этом выходное напряжение ЦАП вновь сравнивается с напряжением Ux и т. д. Описанная процедура повторяется т раз (где m—число разрядов АЦП). В итоге на выходе ЦАП формируется напряжение, отличающееся от входного преобразуемого напряжения Ux не более чем на единицу младшего разряда ЦАП. Результат преобразования напряжения Ux в его цифровой эквивалент—параллельный двоичный код Nx—снимается с выхода РгПП. Очевидно, погрешность преобразования и быстродействие такого устройства определяются в основном параметрами ЦАП (разрешающей способностью, линейностью, быстродействием) и компаратора (порогом чувствительности, быстродействием). Преимуществом рассмотренной схемы является возможность построения многоразрядных (до 12 разрядов и выше) преобразователей сравнительно высокого быстродействия (время 'преобразования 'порядка нескольких сот наносекунд). На основе метода последовательного приближения реализована и серийно выпускается ИМС 12-разрядного АЦП К572ПВ1 с временем преобразования 100 мкс.
Наиболее простыми по структуре среди интегрирующих преобразователей являются АЦП с преобразованием напряжения в частоту, построенные на базе интегрирующего усилителя и аналогового компаратора. Погрешность их преобразования определяется нестабильностью порога срабатывания компаратора и постоянной времени интегратора. Более высокими метрологическими характеристиками обладают АЦП, реализованные по принципу двойного интегрирования (например, ИМС, 11-разрядного АЦП К572ПВ2), поскольку при этом практически удается исключить влияние на погрешность преобразования нестабильности порога срабатывания компаратора и постоянной времени интегратора.
Анализ описанных методов преобразования и структурных схем АЦП позволяет сделать вывод, что наибольшим быстродействием обладают АЦП прямого преобразования, однако их разрядность невысока. АЦП поразрядного уравновешивания, обладая средним быстродействием, дают возможность получить достаточно высокую разрешающую способность. Но помехозащищенность тех и других преобразователей невысока. АЦП интегрирующего типа, обладая наименьшим быстродействием, обеспечивают наибольшую помехозащищенность и точность преобразования.
2. Характеристики ИМС АЦП
Основными параметрами, характеризующими ИМС АЦП, являются разрешающая способность, нелинейность, коэффициент преобразования, погрешность полной шкалы, смещение нуля, абсолютная погрешность, дифференциальная нелинейность, монотонность, время преобразования.
Разрешающая способность определяется числом дискретных значений выходного сигнала преобразователя, составляющих его предел преобразования. Чем больше число дискретных значений, тем выше разрешающая способность преобразователя. Двоичный m-разрядный преобразователь имеет 2m дискретных значений, а его разрешающая способность равна 1/2m. В преобразователях различают наименьший и наибольший значащие разряды. В двоичной системе кодирования наименьший значащий разряд — это разряд, имеющий наименьший вес. Вес младшего разряда определяет разрешающую способность. Наибольший значащий разряд соответствует наибольшему весу. В двоичной системе кодирования наибольший значащий разряд имеет вес 1/2 номинального значения максимально возможного выходного сигнала при всех включенных разрядах (полной шкалы преобразования).
Характеристики
Тип файла документ
Документы такого типа открываются такими программами, как Microsoft Office Word на компьютерах Windows, Apple Pages на компьютерах Mac, Open Office - бесплатная альтернатива на различных платформах, в том числе Linux. Наиболее простым и современным решением будут Google документы, так как открываются онлайн без скачивания прямо в браузере на любой платформе. Существуют российские качественные аналоги, например от Яндекса.
Будьте внимательны на мобильных устройствах, так как там используются упрощённый функционал даже в официальном приложении от Microsoft, поэтому для просмотра скачивайте PDF-версию. А если нужно редактировать файл, то используйте оригинальный файл.
Файлы такого типа обычно разбиты на страницы, а текст может быть форматированным (жирный, курсив, выбор шрифта, таблицы и т.п.), а также в него можно добавлять изображения. Формат идеально подходит для рефератов, докладов и РПЗ курсовых проектов, которые необходимо распечатать. Кстати перед печатью также сохраняйте файл в PDF, так как принтер может начудить со шрифтами.














