123120 (717109)
Текст из файла
Реферат
на тему:
Закономірності виміру головних показників роботи тракторів в експлуатації
Зміст
1. Закономірності виміру головних показників роботи тракторів в експлуатації
2. Зміни показників надійності тракторів і їхніх складових в експлуатації
2.1 Характеристика станів і формування експлуатаційних несправностей
2.2 Закономірності зношування основних з'єднань і гранично-допустимі стани
2.3 Зміна показників безвідмовності комплектуючих виробів тракторів
2.4 Зміна показників довговічності складових частин тракторів
2.5 Зміна показників ремонтопридатності тракторів
2.6 Значення оціночних показників характеристик ремонтопридатності вузлів, агрегатів і систем трактора
2.7 Зовнішні ознаки типових відмов і їхні можливі причини
1. Закономірності виміру головних показників роботи тракторів в експлуатації
За тривалий період експлуатації тракторів, зокрема такої його складової частини як двигун, характеризується певною зміною стабільності потужностних і економічних показників. Динаміка зміни цих показників у процесі експлуатації двигунів має певну закономірність, що проявляється практично незалежно від періоду випуску двигунів.
Слід зазначити, що моторними заводами разом з науково-дослідними організаціями постійно ведуться розробки по створенню нових ефективних конструктивних рішень двигунів, а такі по модернізації й удосконалюванню існуючих I конструкцій. Прикладом може бути проведення робіт з підвищення технічного рівня двигуна Д-240 (модифікація моделі 1411/12,5), установлюваного на одному з найпоширеніших в агропромисловому комплексі тракторі МТЗ - 80/82.
Ступінь фактичного підвищення технічного рівня двигунів Д-240 і наявна закономірність зміни параметрів добре ілюструються при порівняльному аналізі двох партій двигунів (по 6 шт. у кожній партії) за наробіток 8000 мотогодин (перша партія) і 9000 мотогодин (друга партія), експлуатованих (випробовуваних) на тракторах МТЗ-80/32 у південній зоні України. Причому за результатами випробувань першої партії двигунів Мінським моторним заводом і ОФ НАТИ були розроблені заходи, спрямовані на підвищення їхньої надійності. Ці заходи реалізовані I на двигунах другої партії, установлених на тракторах МТЗ-80/82,1 пріцюючих в ідентичних умовах.
Як відомо, технічний рівень тракторних двигунів оцінюється комплексом показників, у числі яких поряд з потужно-економічними показниками й показники безвідмовності. Як оцінний показник безвідмовності прийнятий середнє число відмов на один двигун.
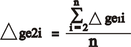
Для оцінки ступеня зміни економічності двигунів використають коефіцієнти, що характеризують середні значення зміни питомої витрати палива
де, ∆ ge1i=|gen1i - get1i| - абсолютна величина відхилення питомої витрати палива двигунів першої партії при i-тім наробітку, j - порядковий номер двигуна, п. - кількість двигунів, gen1i - питома витрата палива двигунів першої партії до проведення операцій TO-3 при i - тому наробітку, get1i - питома витрата палива двигунів першої партії після проведення операцій ТЕ-3 при i - тому наробітку.
Аналогічно
тільки для двигунів другої партії.
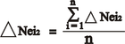
Для оцінки потужностних показників використають коефіцієнти, що характеризують середні значення зміни потужності двигуна
де Nei1 = |Neni1 - Neti1| - абсолютна величина відхилення потужності двигунів першої партії в i - тім інтервалі наробітку;
Nei1 - потужність двигуна першої партії до проведення ТЕ-3 при i - тому наробітку;
Neti1 - потужність двигуна першої партії після проведення ТЕ-3 при i - тому наробітку.
Аналогічно
для двигунів другої партії.
Для оцінки ступеня поліпшення показників, що характеризують зміну питомої витрати палива, у кожному інтервалі наробітку використається коефіцієнт Q gei, обумовлений з відношення
а для оцінки ступеня поліпшення показників, що характеризують зміну потужності в кожному інтервалі наробітку, використається коефіцієнт QNei, обумовлений з відношення
Трактори із установленими на них двигунами обох партій I використалися на однакових видах робіт і приблизно в однаковому I обсязі (табл.1).
З таблиці видно, що частка транспортних робіт для тракторів першої партії склала - 47,2%, а для другого - 49,1%; суцільної культивації - 9,3 і 9,4% відповідно, міжрядної обробки - 3,5 і 12,2%, збирання кукурудзи на силос і зерно - 15 і 16,8%, імітації тягового завантаження (з баластовими завантажувальними пристроями при відсутності корисних робіт) - 11,9 і 4,1%.
Результати випробувань показали, що впровадження комплексу конструкторсько-технологічних заходів на двигунах другої партії забезпечило зниження середнього числа відмов у порівнянні I із двигунами першої партії в цілому в 1,3 рази {табл.1) у тому числі: по системі змащення в 2,35 рази, по головці циліндрів в 2,28 рази, по кривошипно-шатунному механізмі в 1,53 рази. Незначне зниження числі відмов по системі охолодження пояснюється тим, що встановлені на двигунах другої партії ущільнення водяних насосів типу "ВАЗ" не впали очікуваного ефекту через те, що система охолодження в експлуатації заповнювалася не антифризом, а водою.
Таблиця 1. Порівняльні дані по безвідмовності двигунів Д - 240
| Складові частини й системи двигуна | Середнє число відмов (% від їхньої загальної кількості) | |
| Перша партія | Друга партія | |
| Головка циліндрів | 15,5 | 6,8 |
| Блок циліндрів і кривошипно-шатунний механізм | 10,4 | 6,8 |
| Система живлення | 10,2 | 16,9 |
| Система змащення | 12,0 | 5,1 |
| Система охолодження | 51,9 | 41,4 |
| РАЗОМ: | 100,0% | 77,0% |
Впровадження паливного насоса 4УТНМ повністю виключило такі відмови як поломки пружин регулятора й насосних секцій, руйнування підшипників кулачкового вела. Разом з тим, необхідно продовжити роботи з підвищення довговічності стопорних гвинтів тол - I нагелів, прокладок насосних секцій, а також паливопроведення малого тиску. Впровадження захисних кілець із фторопласта на окантовках гільзових отворів прокладки головки блоку повністю виключив випадки прогоряння й прориву прокладок, стійки валика коромисел підвищеної твердості з додатковим кріпленням, шайби пружини клапанної збільшеної товщини дозволили знизити число I відмов по головці циліндрів в 2,29 рази. Впровадження поршнів з нерезистової вставкою під верхнє кільце, верхнього компресійного кільця із хромовим покриттям і бочкообразной формою робочої поверхні, других і третього компресійних кілець "хвилинного" типу й маслоз’ємні кільці коробчатого типу зі спіральним розширником, вкладишів з біметалу із трикомпонентним прироботочним покриттям, кришки коркового типу, маслозаливної горловини й ряду інших заходів знизило середнє число відмов по блоці циліндрів і кривошипно-шатунному механізму в 1,54 рази. Комплекс конструкторсько-технологічних заходів, впроваджений на другій партії двигунів повністю виключив відмови деталей гільзо-поршневої групи протягом заданого ресурсу, а число відмов деталей клапанного механізму знизив на 6055. Значно (в 2,4 рази) знизився вихід з ладу ременів вентилятора. Установка маслозаливної горловини із кришкою коркового типу забезпечила надійність фіксації кришки й виключила підтікання масла. Підвищилася надійність моноциклона зі зміненою фіксацією ковпака. У такий спосіб впровадження заходів знизило загальне число відмов по двигуні на 23%, у тому числі: на 7,1% по I групі складності, на 23,8% по 2 групі складності й на 33,3% по 3 групі складності. Наробіток на відмову підвищилася на 32,4%, у тому числі по I групі складності на 20,9%, по 2 групі - на 48% і по 3 групі складності на 68,8$. Більше інтенсивне зростання наробітку на відмову в порівнянні зі зниженням загального числа відмов пояснюється тим, що число відмов по першій партії двигунів враховано за період випробувань в обсязі 8000 мотогодин, а другий за 9000 мотогодин.
Заходи, впроваджені на двигунах другої партії, мали своєю метою зниження трудомісткості технічного обслуговування, поліпшення потужно-економічних показників, зниження витрати масла на вигар.
Таблиця 2. Зайнятість тракторів МТЗ - 80/82 по видах робіт (в%)
| Найменування робіт | Перша партія | Друга партія |
| Транспортні роботи | 47,2 | 49,1 |
| Сівба | 5,1 | 5,6 |
| Суцільна культивація | 9,3 | 9,4 |
| Міжрядна обробка | 3,5 | 12,2 |
| Дискування й лущення | 2,2 | 0,2 |
| Збирання кукурудзи на зерно | 6,2 | 6,4 |
| Збирання силосних культур | 8,8 | 10,4 |
| Прикочування ґрунту | 1,6 | 0,6 |
| Роздача кормів | 0,3 | 0,2 |
| Оранка | 0,6 | 0,8 |
| Дослідницькі роботи | 0,5 | 0,4 |
| Імітація | 11,9 | 4,1 |
| Обкатування | 1,1 | 0,4 |
| Інші роботи | 1,7 | 0,2 |
Зокрема, на цих двигунах (як і в цілому на тракторах) впроваджена нова система технічного обслуговування, що передбачає проведення ТО-Э із заміною масла в картері двигуна через 500 годин роботи, а не через 240, як це прийнято для серійних тракторів (табл.3), що дозволяє заощаджувати щорічно до 40 кг масла МІГ на кожний трактор.
Характеристики
Тип файла документ
Документы такого типа открываются такими программами, как Microsoft Office Word на компьютерах Windows, Apple Pages на компьютерах Mac, Open Office - бесплатная альтернатива на различных платформах, в том числе Linux. Наиболее простым и современным решением будут Google документы, так как открываются онлайн без скачивания прямо в браузере на любой платформе. Существуют российские качественные аналоги, например от Яндекса.
Будьте внимательны на мобильных устройствах, так как там используются упрощённый функционал даже в официальном приложении от Microsoft, поэтому для просмотра скачивайте PDF-версию. А если нужно редактировать файл, то используйте оригинальный файл.
Файлы такого типа обычно разбиты на страницы, а текст может быть форматированным (жирный, курсив, выбор шрифта, таблицы и т.п.), а также в него можно добавлять изображения. Формат идеально подходит для рефератов, докладов и РПЗ курсовых проектов, которые необходимо распечатать. Кстати перед печатью также сохраняйте файл в PDF, так как принтер может начудить со шрифтами.















