123071 (717088)
Текст из файла
Министерство науки и образования РФ
Казанский государственный архитектурно-строительный университет
Кафедра Теплогазоснабжения и вентиляции
Реферат
по дисциплине «Метрология, стандартизация и сертификация»
на тему:
Дифференциальные и интегральные функции распределения
Казань 2010 г.
Содержание
Введение
Глава 1. Вероятностное описание результатов и погрешностей
Глава 2. Числовые параметры законов распределения. Центр распределения. Моменты распределений
Глава 3. Оценка результата измерения
Глава 4. Характеристики нормального распределения
Заключение
Список использованной литературы
Введение
Измерения – один из важнейших путей познания природы человеком. Они играют огромную роль в современном обществе. Наука, техника и промышленность не могут существовать без них. Каждую секунду в мире производятся многие миллиарды измерительных операций, результаты которых используются для обеспечения надлежащего качества и технического уровня выпускаемой продукции, обеспечения безопасной и безаварийной работы транспорта, для медицинских и экологических диагнозов и других важных целей. Практически нет ни одной сферы деятельности человека, где бы интенсивно не использовались результаты измерений, испытаний и контроля.
Поэтому следует говорить об измерительных технологиях, понимаемых как последовательность действий, направленных на получение измерительной информации требуемого качества.
Другой фактор, подтверждающий важность измерений, – их значимость. Основой любой формы управления, анализа, прогнозирования, планирования контроля или регулирования является достоверная исходная информация, которая может быть получена только путем измерения требуемых физических величин, параметров и показателей. Естественно, что только высокая и гарантированная точность результатов измерений обеспечивает правильность принимаемых решений.
Задача, которая ставится перед метрологом, желающим приблизиться к истинному значению измеряемой величины и оценить вероятность определенного отклонения в единичном опыте или в серии измерений, состоит в отыскании закона распределения вероятности получения определенного результата от какого-либо аргумента, связанного с отклонением результата от истинного значения. Наиболее универсальным способом достижения этой цели является отыскание интегральных и дифференциальных функций распределения вероятности.
Глава 1. Вероятностное описание результатов и погрешностей
Если при повторных измерениях одной и той же физической величины, проведенных с одинаковой тщательностью и в одинаковых условиях получаемые результаты, отличаются друг от друга, то это свидетельствует о наличии случайных погрешностей. Случайные погрешности являются результатом одновременного воздействия на измеряемую величину многих случайных возмущений. Предсказать результат наблюдения или исправить его введением поправки невозможно. Можно лишь с определенной долей уверенности утверждать, что истинное значение измеряемой величины находится в пределах разброса результатов наблюдений от xmin до xmax, где xmin, xmax – соответственно, нижняя и верхняя границы разброса.
Однако остается неясным, какова вероятность появления того или иного значения погрешности, какое из множества лежащих в этой области значений величины принять за результат измерения и какими показателями охарактеризовать случайную погрешность результата. Для ответа на эти вопросы требуется принципиально иной, чем при анализе систематических погрешностей, подход. Подход этот основывается на рассмотрении результатов наблюдений, результатов измерений и случайных погрешностей как случайных величин. Методы теории вероятностей и математической статистики позволяют установить вероятностные (статистические) закономерности появления случайных погрешностей и на основании этих закономерностей дать количественные оценки результата измерения и его случайной погрешности.
Для характеристики свойств случайной величины в теории вероятностей используют понятие закона распределения вероятностей случайной величины. Различают две формы описания закона распределения: интегральную и дифференциальную. В метрологии преимущественно используется дифференциальная форма – закон распределения плотности вероятностей случайной величины.
Рассмотрим формирование дифференциального закона на примере измерений с многократными наблюдениями. Пусть произведено n последовательных наблюдений одной и той же величины x и получена группа наблюдений x1, x2, x,..., xn. Каждое из значений xi содержит ту или иную случайную погрешность. Расположим результаты наблюдений в порядке их возрастания, от xmin до xmax и найдем размах ряда L = xmax − xmin. Разделив размах ряда на k равных интервалов Δl = L / k, подсчитаем количество наблюдений nk, попадающих в каждый интервал. Оптимальное число интервалов определяют по формуле Стерджесса k = 1÷3,3 lg n. Изобразим полученные результаты графически, нанеся на ось абсцисс значения физической величины и обозначив границы интервалов, а на ось ординат – относительную частоту попаданий nk / n. Построив на диаграмме прямоугольники, основанием которых является ширина интервалов, а высотой nk / n, получим гистограмму, дающую представление о плотности распределения результатов наблюдений в данном опыте.
На рис. 1 показана полученная в одном из опытов гистограмма, построенная на основании результатов 100 наблюдений, сгруппированных в таблице 1.
Таблица 1
В данном опыте в первый и последующие интервалы попадает соответственно 0,06; 0,12; 0,18; 0,25; 0,17; 0,14 и 0,08 от общего количества наблюдений; при этом, очевидно, что сумма этих чисел равна единице.
Рис. 1. Гистограмма
Если распределение случайной величины х статистически устойчиво, то можно ожидать, что при повторных сериях наблюдений той же величины, в тех же условиях, относительные частоты попаданий в каждый интервал будут близки к первоначальным. Это означает, что построив гистограмму один раз, при последующих сериях наблюдений можно с определенной долей уверенности заранее предсказать распределение результатов наблюдений по интервалам. Приняв общую площадь, ограниченную контуром гистограммы и осью абсцисс, за единицу, S0 =1, относительную частоту попаданий результатов наблюдений в тот или иной интервал можно определить как отношение площади соответствующего прямоугольника шириной Δl к общей площади.
При бесконечном увеличении числа наблюдений n→ ∞ и бесконечном уменьшении ширины интервалов Δl →0, ступенчатая кривая, огибающая гистограмму, перейдет в плавную кривую f (x) (рис. 2), называемую кривой плотности распределения вероятностей случайной величины, а уравнение, описывающее ее, – дифференциальным законом распределения. Кривая плотности распределения вероятностей всегда неотрицательна и подчинена условию нормирования в виде
Рис. 2. Кривая плотности распределения вероятностей
Закон распределения дает полную информацию о свойствах случайной величины и позволяет ответить на поставленные вопросы о результате измерения и его случайной погрешности. Если известен дифференциальный закон распределения f (x), то вероятность Ρ попадания случайной величины х в интервал от x1 до x2 можно записать в следующем виде
Графически эта вероятность выражается отношением площади, лежащей под кривой f (x) в интервале от x1 до x2 к общей площади, ограниченной кривой распределения. Следовательно, рассмотренное выше условие нормирования означает, что вероятность попадания величины х в интервал [− ∞; + ∞] равна единице, т.е. представляет собой достоверное событие. Вероятность этого события называется функцией распределения случайной величины и обозначается F(x). Функцию распределения F(x) иногда называют также интегральной функцией распределения. В терминах интегральной функции распределения имеем
P {x1 ≤ x ≤ x2} = F (x1)− F (x2),
т.е. вероятность попадания результата наблюдений или случайной погрешности в заданный интервал равна разности значений функции распределения на границах этого интервала.
Рис. 3. Интегральная (а) и дифференциальная (б) функции распределения случайной величины
Интегральной функцией распределения F(x) называют функцию, каждое значение которой для каждого х является вероятностью события, заключающегося в том, что случайная величина xi в i -м опыте принимает значение, меньшее х. График интегральной функции распределения показан на рис. 3, а. Она имеет следующие свойства:
− неотрицательная, т.е. F(x) ≥ 0;
− неубывающая, т.е. f (x2) ≥ F(x1), если x2 ≥ x1;
− диапазон ее изменения: от 0 до 1, т.е. F(−∞) = 0; F(+∞) = 1;
− вероятность нахождения случайной величины х в диапазоне от x1 до
x2: P{x1 < x < x2}= F(x2) − F(x1).
Запишем функцию распределения через плотность:
Площадь, ограниченная кривой распределения, лежащая левее точки x (х
– текущая переменная) (рис. 4), отнесенная к общей площади, есть не что иное, как интегральная функция распределения F(x) = P{xi < x}.
Рис. 4. Кривая плотности распределения вероятностей (дифференциальная функция распределения случайной величины)
Плотность распределения вероятностей f (x) называют
дифференциальной функцией распределения:
Пример распределения дискретной случайной величины приведен на рис. 5.
Рис. 5. Распределение дискретной случайной величины
Глава 2. Числовые параметры законов распределения. Центр распределения. Моменты распределений
Функция распределения является самым универсальным способом описания поведения результатов измерений и случайных погрешностей. Однако для их определения необходимо проведение весьма длительных и кропотливых исследований и вычислений. В большинстве случаев бывает достаточно охарактеризовать случайные величины специальными параметрами, основными из которых являются:
− центр распределения;
− начальные и центральные моменты и производные от них коэффициенты – математическое ожидание (МО), среднее квадратическое отклонение (СКО), эксцесс, контрэксцесс и коэффициент асимметрии.
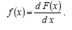
Координата центра распределения Xц определяет положение случайной величины на числовой оси и может быть найдена несколькими способами. Наиболее фундаментальным является определение центра по принципу симметрии вероятностей, т.е. нахождение такой точки XM на оси х, слева и справа от которой вероятности появления различных значений случайных погрешностей равны между собой и составляют P1 = P2 = 0,5:
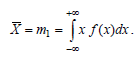
Точка XM называется медианой, или 50%-ным квантилем. Для его нахождения у распределения случайной величины должен существовать только нулевой начальный момент. Координата Хц может быть определена и как центр тяжести распределения, т.е. как математическое ожидание случайной величины. Это такая точка X, относительно которой опрокидывающий момент геометрической фигуры, огибающей которой является кривая f (x), равен нулю:
У некоторых распределений, например, у распределения Коши, не существует МО, так как определяющий его интеграл расходится.
При симметричной кривой плотности распределения вероятностей f (x) оценкой центра распределения может служить абсцисса моды распределения, т.е. координата максимума плотности распределения Xm. Однако есть распределения, у которых не существует моды, например, равномерное. Распределения с одним максимумом называются одномодальными, с двумя – двухмодальные. Те распределения, у которых в средней части расположен не максимум, а минимум, называются антимодальными.
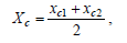
Для двухмодальных распределений применяется оценка центра в виде центра сгибов:
Характеристики
Тип файла документ
Документы такого типа открываются такими программами, как Microsoft Office Word на компьютерах Windows, Apple Pages на компьютерах Mac, Open Office - бесплатная альтернатива на различных платформах, в том числе Linux. Наиболее простым и современным решением будут Google документы, так как открываются онлайн без скачивания прямо в браузере на любой платформе. Существуют российские качественные аналоги, например от Яндекса.
Будьте внимательны на мобильных устройствах, так как там используются упрощённый функционал даже в официальном приложении от Microsoft, поэтому для просмотра скачивайте PDF-версию. А если нужно редактировать файл, то используйте оригинальный файл.
Файлы такого типа обычно разбиты на страницы, а текст может быть форматированным (жирный, курсив, выбор шрифта, таблицы и т.п.), а также в него можно добавлять изображения. Формат идеально подходит для рефератов, докладов и РПЗ курсовых проектов, которые необходимо распечатать. Кстати перед печатью также сохраняйте файл в PDF, так как принтер может начудить со шрифтами.















