123071 (717088), страница 2
Текст из файла (страница 2)
где xc1, xc2 – сгибы, т.е. абсциссы точек, в которых распределение достигает максимумов.
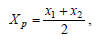
Для ограниченных распределений применяется оценка в виде центра размаха:
где x1, x2 – первый и последний члены вариационного ряда, соответствующего распределению.
При выборе оценки центра распределения необходимо учитывать ее чувствительность к наличию промахов в обрабатываемой совокупности данных. Исключительно чувствительны к наличию промахов: оценка в виде центра размаха Xp (определяется по наблюдениям, наиболее удаленным от центра, каковыми и являются промахи); оценка в виде среднего арифметического (ослабляется лишь из n раз). Защищенными от влияния промахов являются квантильные оценки: медиана XM и центр сгибов Xc, поскольку они не зависят от координат промахов.
При статистической обработке данных важно использовать наиболее эффективные, т.е. имеющие минимальную дисперсию, оценки центра распределения, так как погрешность в определении Xц влечет за собой неправильную оценку СКО, границ доверительного интервала, эксцесса и т.д.
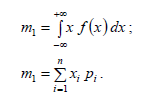
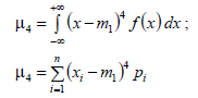
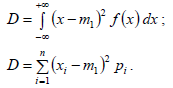
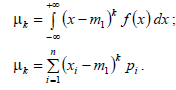
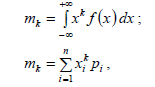
Все моменты представляют собой некоторые средние значения, причем, если усредняются величины, отсчитываемые от начала координат, моменты называются начальными, а если от центра распределения – то центральными.
Начальные моменты k-го порядка определяются формулами
где pi – вероятность появления дискретной величины. Здесь и ниже первая формула относится к непрерывным, а вторая к дискретным случайным величинам. Из начальных моментов наибольший интерес представляет математическое ожидание МО случайной величины (k = 1):
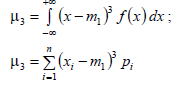
Центральные моменты k-го порядка рассчитываются по формулам
Из центральных моментов особенно важную роль играет второй момент (k=2), дисперсия случайной величины D
Дисперсия случайной величины характеризует рассеяние отдельных ее значений. Дисперсия имеет размерность квадрата случайной величины и выражает как бы мощность рассеяния относительно постоянной составляющей. Однако чаще пользуются положительным корнем квадратным из дисперсии – средним квадратическим отклонением (СКО) σ = D, которое имеет размерность самой случайной величины.
Третий центральный момент
служит характеристикой асимметрии, или скошенности распределения. С его использованием вводится коэффициент асимметрии υ = μ3 / σ³. Для нормального распределения коэффициент асимметрии равен нулю. Вид законов распределения при различных значениях коэффициента асимметрии приведен на рис. 6, а.
Четвертый центральный момент
служит для характеристики плосковершинности или островершинности распределения. Эти свойства описываются с помощью эксцесса ε = μ 4 / σ4.
Его значения лежат в диапазоне от 1 до ∞. Для нормального распределения ε = 3. Вид дифференциальной функции распределения при различных значениях эксцесса показан на рис. 6, б.
Рис. 6. Вид дифференциальной функции распределения при различных значениях коэффициента асимметрии (а) и эксцесса (б)
Дадим более строгое определение постоянной систематической и случайной погрешностей.
Систематической постоянной погрешностью называется отклонение математического ожидания результатов наблюдений от истинного значения измеряемой величины:
Θ = m1 −Q,
а случайной погрешностью – разность между результатом единичного наблюдения и математическим ожиданием результатов:
Δx = xi − m1.
В этих обозначениях истинное значение измеряемой величины составляет
Q = xi − Θ − Δx.
Глава 3. Оценка результата измерения
На практике все результаты измерений и случайные погрешности являются величинами дискретными, т.е. величинами xi, возможные значения которых отделимы друг от друга и поддаются счету. При использовании дискретных случайных величин возникает задача нахождения точечных оценок параметров, их функций распределения на основании выборок – ряда значений xi, принимаемых случайной величиной x в n независимых опытах. Используемая выборка должна быть репрезентативной (представительной), т.е. должна достаточно хорошо представлять пропорции генеральной совокупности.
Оценка параметра называется точечной, если она выражается одним числом. Задача нахождения точечных оценок – частный случай статистической задачи нахождения оценок параметров функции распределения случайной величины на основании выборки.
К оценкам, получаемым по статистическим данным, предъявляются требования состоятельности, несмещенности и эффективности. Оценка называется состоятельной, если при увеличении числа наблюдений она стремится к истинному значению оцениваемой величины.
Оценка называется несмещенной, если ее математическое ожидание равно истинному значению оцениваемой величины. В том случае, когда можно найти несколько несмещенных оценок, лучшей из них считается та, которая имеет наименьшую дисперсию. Чем меньше дисперсия оценки, тем более эффективной считают эту оценку.
Точечной оценкой математического ожидания МО результата измерений является среднее арифметическое значение измеряемой величины
При любом законе распределения оно является состоятельной и несмещенной оценкой, а также наиболее эффективной по критерию наименьших квадратов.
Точечная оценка дисперсии, определяемая по формуле
является несмещенной и состоятельной.
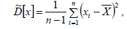
Оценка среднего квадратического отклонения СКО
Полученные оценки МО и СКО являются случайными величинами. Это проявляется в том, что при повторении несколько раз серий из n наблюдений каждый раз будут получаться различные оценки X и σ. Рассеяние этих оценок целесообразно оценивать СКО Sx. Оценка СКО среднего арифметического значения
Полученные оценки позволяют записать итог измерений в виде
Интервал, определяемый правой частью этого равенства, с некоторой вероятностью «накрывает» истинное значение Q измеряемой величины. Однако точечные оценки ничего не говорят о значении этой вероятности.
Рассмотренные точечные оценки параметров распределения дают оценку в виде числа, наиболее близкого к значению неизвестного параметра. Такие оценки используют только при большом числе измерений. Чем меньше объем выборки, тем легче допустить ошибку при выборе параметра.
Способы нахождения оценок результата зависят от вида функции распределения и от имеющихся соглашений по этому вопросу, регламентируемых в рамках законодательной метрологии.
Распределения погрешностей результатов наблюдений, как правило, являются симметричными относительно центра распределения, поэтому истинное значение измеряемой величины может быть определено как координата центра рассеивания Xц, т.е. центра симметрии распределения случайной погрешности (при условии, что систематическая погрешность исключена). Отсюда следует принятое в метрологии правило оценивания случайной погрешности в виде интервала, симметричного относительно результата измерения (Xц ± Δx).
В практике измерений встречаются различные формы кривых распределения случайных величин, целесообразно классифицировать их следующим образом:
− трапецеидальные, например, равномерное, треугольное (Симпсона);
− экспоненциальные, например, распределение Лапласа, распределение Гаусса (нормальное);
− семейство распределений Стьюдента (предельное распределение семейства законов Стьюдента – распределение Коши);
− двухмодальные, например, дискретное двузначное распределение, арксинусоидальное распределение, остро- и кругло-вершинные двухмодальные распределения.
Однако чаще всего имеют дело с нормальным и равномерным распределением плотности вероятностей.
Учитывая многовариантность подходов к выбору оценок и в целях обеспечения единства измерений, правила обработки результатов наблюдений обычно регламентируются нормативно-техническими документами (стандартами, методическими указаниями, инструкциями). Так, в стандарте на методы обработки результатов прямых измерений с многократными наблюдениями указывается, что приведенные в нем методы обработки установлены для результатов наблюдений, принадлежащих нормальному распределению.
Глава 4. Характеристики нормального распределения
Нормальное распределение плотности вероятности или распределение Гаусса (рис. 7) характеризуется тем, что, согласно центральной предельной теореме теории вероятностей, такое распределение имеет сумма бесконечно большого числа бесконечно малых случайных возмущений с любыми распределениями.
Рис. 7. Кривые нормального распределения
Применительно к измерениям это означает, что нормальное распределение случайных погрешностей возникает тогда, когда на результат измерения действует множество случайных возмущений, ни одно из которых не является преобладающим. Практически, суммарное воздействие даже сравнительно небольшого числа возмущений приводит к закону распределения результатов и погрешностей измерений, близкому к нормальному.
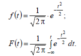
В аналитической форме нормальный закон распределения выражается формулой
где х – случайная величина; mx – математическое ожидание случайной величины; σ – среднее квадратическое отклонение (СКО); е=2,71828 – основание натурального логарифма; π = 3,14159. Перенеся начало координат в центр распределения mx, и откладывая по оси абсцисс погрешность
Δx = x − mx, получим кривую нормального распределения погрешностей
Для группы из n наблюдений, распределённых по нормальному закону
Рассмотрим несколько свойств нормального распределения погрешностей.
Кривая нормального распределения погрешностей симметрична относительно оси ординат. Это означает, что погрешности, одинаковые по величине, но противоположные по знаку, имеют одинаковую плотность вероятностей, т.е. при большом числе наблюдений встречаются одинаково часто. Математическое ожидание случайной погрешности равно нулю.
Из характера кривой следует, что при нормальном законе распределения малые погрешности будут встречаться чаще, чем большие. Так, вероятность появления погрешностей, укладывающихся в интервал от 0 до Δx1 (рис. 7), характеризуемая площадью S1, будет значительно больше, чем вероятность появления погрешностей в интервале от Δx2 до Δx3 (площадь S2). На рис. 8 изображены кривые нормального распределения с различными средними квадратическими отклонениями, причем σ1 > σ2 > σ3.
Рис. 4.8. Рассеяние результатов наблюдений
Сравнивая кривые между собой можно убедиться, что чем меньше СКО, тем меньше рассеяние результатов наблюдений и тем больше вероятность того, что большинство случайных погрешностей в них будет мало.
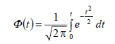
Естественно заключить, что качество измерений тем выше, чем меньше СКО случайных погрешностей. Если вместо случайной величины ввести так называемую нормированную случайную величину
то она также будет распределена по нормальному закону с центром распределения mx, абсцисса которого mx = 0, а σ =1. Поэтому формулу, определяющую плотность вероятности, а также формулу функции распределения величины t можно записать так:
Определенный интеграл с переменным верхним пределом, имеющий вид
и определяющий значение площади под кривой плотности вероятности, называют функцией Лапласа.
















