122823 (717035)
Текст из файла
Федеральное агентство по образованию
ГОУ ВПО «Уральский государственный технический университет - УПИ
имени первого Президента России Б.Н. Ельцина»
Нижнетагильский технологический институт (филиал)
Факультет вечерний технологический
Контроль качества продукции
РЕФЕРАТ
тема: Акустические методы контроля качества продукции
| Преподаватель М.А. Якимов | |
| Студент гр.4518 ММО Д.И. Красиков |
Н. Тагил
2008
ВВЕДЕНИЕ
Одним из действенных резервов повышения качества и надежности продукции машиностроения и других отраслей является не разрушающий контроль.
Наибольшее развитие за последнее время получила ультразвуковая дефектоскопия. По сравнению с другими методами неразрушающего контроля она обладает важными преимуществами: высокой чувствительностью к наиболее опасным дефектам типа трещин и непроваров, большой производительностью, возможностью вести контроль непосредственно на рабочих местах без нарушения технологического процесса, низкой стоимостью контроля.
Ультразвуковые методы контроля позволяют получить информацию о дефектах, расположенных на значительной глубине в различных материалах, изделиях и сварных соединениях. Автоматизация ультразвукового контроля не только повышает производительность труда, но и позволяет получить объективную картину качества изделия или сварного соединения, подобную рентгенограмме.
Методы ультразвуковой дефектоскопии стали основными в различных отраслях народного хозяйства: в энергетике, тяжелом и химическом машиностроении, на железнодорожном транспорте, в судостроении.
1. ФИЗИЧЕСКИЕ ОСНОВЫ УЛЬТРАЗВУКОВОЙ ДЕФЕКТОСКОПИИ
Природа и получение ультразвуковых колебаний.
Упругие механические колебания, распространяющиеся в воздухе, воспринимают обычно как звуки. Это — акустические колебания. Если их частота более 20000 Гц (20 кГц), т. е. выше порога слышимости для человеческого уха, то такие колебания называют ультразвуковыми (УЗК). В дефектоскопии наиболее часто используют диапазон частот 0,5—10 МГц (1 МГц=106 Гц).
Упругие колебания могут быть возбуждены в твердых, жидких и газообразных средах. При этом колебательное движение возбужденных частиц благодаря наличию упругих сил между ними вызывает распространение упругой УЗ-волны, сопровождаемое переносом энергии.
Для получения УЗ-колебаннй применяют пьезоэлектрические, магнитострикционные, электромагнитно-акустические (ЭМА) и другие преобразователи. Наибольшее распространение получили пьезоэлектрические преобразователи, изготовленные из пьезокерамических материалов или из монокристалла кварца. На поверхности пьезопластины наносят тонкие слои серебра, служащие электродами. При подаче на пьезопластину электрического напряжения она изменяет свою толщину вследствие так называемого обратного пьезоэлектрического эффекта. Если напряжение знакопеременно, то пластина колеблется в такт этим изменениям, создавая в окружающей среде упругие колебания. При этом пластина работает как излучатель. И наоборот, если пьезоэлектрическая пластина воспринимает импульс давления (отраженная УЗ-волна), то на ее поверхности вследствие прямого пьезоэлектрического эффекта появляются электрические заряды, величина которых может быть измерена. В этом случае пьезопластина работает как приемник.
Процесс распространения ультразвука в пространстве является волновым. Граница, отделяющая колеблющиеся частицы среды от частиц, еще не начавших колебаться, называется фронтом волны. Упругие волны характеризуются скоростью распространения С, длиной волны λ и частотой колебаний f. При этом под длиной волны понимается расстояние между ближайшими частицами, колеблющимися одинаковым образом (в одинаковой фазе). Число волн, проходящих через данную точку пространства в каждую секунду, определяет частоту УЗ-колебаннй. Длина волны связана со скоростью ее распространения соотношением
λ= C/f
Следует отличать скорость волны С от скорости колебания частиц v. Скорость С — физическая константа среды и зависит от ее свойств. Поэтому, применяя формулу в виде C = fλ или f = C/λ важно помнить, что нельзя изменить скорость волны С за счет частоты f (или длины волны λ). Длину волны λ в любой среде можно изменить только путем изменения частоты f возбуждаемых колебаний.
Типы и скорость ультразвуковых волн.
В зависимости от направления колебания частиц различают несколько типов волн. Если частицы среды колеблются вдоль распространения волны, то такие волны (рис. 1,а) называются продольными (волнами растяжения-сжатия). В случае, если частицы среды колеблются перпендикулярно к направлению распространения волны, то это волны (рис. 1,б) — поперечные (волны сдвига). Поперечные волны могут возникать лишь в среде, обладающей сопротивлением сдвига. Поэтому в жидкой и газообразной средах образуются только продольные волны. В твердой среде могут возникать как продольные, так и поперечные волны.
Рисунок 1. Типы упругих волн: а – продольные; б – поперечные; в – поверхностные; г – пластиночные. Стрелками показано направление смещения частиц среды
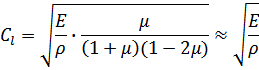
Скорость Сl продольных волн в среде плотностью ρ определяется модулем нормальной упругости Е и коэффициентом Пуассона μ. Учитывая, что G=Ј/2(l + ft) можно определить отношение скоростей поперечных и продольных волн:
Скорость Сt скорость поперечных волн в среде плотностью ρ
Поскольку для металлов μ≈0,3 то Ct/Cl=0,55
Кроме поперечных и продольных волн, в твердых телах могут быть возбуждены волны других типов. Вдоль свободной поверхности тела могут распространяться поверхностные волны (волны Рэлея). Они являются комбинацией поперечных и продольных волн. Плоскость поляризации у них, т. е. плоскость, в которой колеблются частицы среды, перпендикулярна к поверхности. Глубина распространения этих волн в теле примерно равна длине волны, а скорость составляет CRE=0,9Ct (рис. 1,в).
В тонких листах или в изделиях, толщина которых соизмерима с длиной волны, распространяются пластиночные волны (волны Лэмба). Они занимают всю толщину пластины (рис. 1,г).
В плакирующих слоях биметаллических листов могут распространяться поверхностные волны с горизонтальной поляризацией (волны Лява).
Распространение ультразвука.
Пространство, в котором распространяются УЗ-волны, называют ультразвуковым полем. УЗ-волна в направлении своего движения несет определенную энергию. Количество энергии, переносимое УЗ-волной за 1 с через 1 см2 площади, перпендикулярной к направлению распространения, называется интенсивностью ультразвука I. Для плоской волны при амплитуде смещения А:
Произведение скорости С ультразвука на плотность ρ среды называется удельным акустическим сопротивлением. Значения Z=ρC (С дано для продольной волны), характеризующие акустические свойства материалов.
Затухание УЗ-колебаний происходит по экспоненциальному закону
А=А0exp(-δr),
где А0-амплитуда зондирующего импульса; δ - коэффициент затухания, см-1.
Поскольку интенсивность ультразвука равна квадрату амплитуды, то снижение интенсивности вследствие затухания описывается формулой
I=I0exp(-2δr).
На практике нет необходимости определять амплитуду А или интенсивность волны I в абсолютных единицах, а достаточно найти величину их относительного ослабления. Тогда для выражения относительной величины I/I0=A2/A02 используют специальные единицы — децибелы.
Число децибел:
N=101gI/I0=201gA/A0 .
Пользуясь шкалой децибел (рис. 2), легко установить, например, что если отношение амплитуд посланного отраженного от несплошности сигнала А/А0=2, то lg2 ≈ 0,3, что соответствует N=-6 дБ и т. п. Эта шкала очень удобна в дефектоскопической практике, поскольку амплитуды могут изменяться на 2—3 порядка — в 10; 100 и 1000 раз, а в децибелах это составит соответственно 20, 40 и 60 дБ, т. е. значения одного порядка.
Рисунок 2. Номограмма перевода относительных единиц в децибелы
Свойства ультразвука.
Как показано на рис. 3, УЗ-колебания от генератора-излучателя ИП распространяются в материале изделия. При наличии дефекта Д образуется отраженное поле. За дефектом при его значительных размерах (>>λ) имеется акустическая тень. Регистрируя с помощью приемника-преобразователя П1 ослабление УЗ-волны или с помощью преобразователя П2 (или ИП) эхо, т. е. отраженную УЗ-волну, можно судить о наличии дефектов в материале. Это является основой двух наиболее распространенных методов УЗ-контроля: теневого и эхо-метода.
Рисунок 3. Схема УЗ-контроля материала: Д – дефект; ИП – излучатель и приемник (совмещенная схема); П1 – приемник в теневом методе; П2 – приемник в эхо методе
Наиболее важные дефектоскопические свойства УЗК: направленность УЗК, ближняя и дальняя зоны преобразователей, отражение УЗК от несплошностей, затухание, трансформация УЗК.
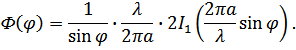
Направленность УЗК. При излучении пьезоэлементом (рис. 4, а) импульса УЗК в среде возникает УЗ-поле, которое имеет вполне определенные пространственные границы. Угол расхождения φР зависит от соотношения длины волны и диаметра излучателя 2а:
φp≈arcsin0,61λ/a=0,61C/(af)=1,22λ/(2a).
Д
ля малых углов sinφp≈φp. Как видно из выражения, направленность УЗ-поля тем выше (угол φp меньше), чем больше произведение аf.
Рисунок 4. Структура ультразвукового поля излучателя: а - акустическое поле; б – изменение интенсивности вдоль луча; в – диаграмма направленности
Направленность УЗ-поля удобно представлять в виде графика в полярных координатах, называемого диаграммой направленности (рис. 4, в). Диаграмма характеризует угловую зависимость Ф (φ) амплитуды поля в дальней зоне. Полярный угол φ отсчитывают от полярной оси, совпадающей с направлением излучения максимальной амплитуды.
Диаграмму направленности прямого преобразователя выражают через цилиндрическую функцию Бесселя (первого рода и первого порядка):
Анализ этого выражения показывает, что с увеличением аλ или af направленность поля возрастает. При аλ>0,6 в диаграмме, кроме основного, возникают боковые лепестки. Однако в них обычно сосредоточена малая часть (до 20 %) излучаемой энергии.
Ближняя и дальняя зоны. Приведенная выше формула показывает направленность УЗ-пучка в так называемой дальней зоне или зоне Фраунгофера. В ближней зоне, называемой зоной Френеля, амплитуда поля осциллирует (изменяется) как вдоль оси (рис. 4,б), так и по сечению пучка, а УЗ-волна при этом распространяется почти без расхождения.
Протяженность ближней зоны r0 для цилиндрического излучателя
r0=a2/λ= a2f/C
Из формулы видно, что увеличение диаметра излучателя, сужая направленность пучка, увеличивает ближнюю зону преобразователя.
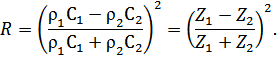
Отражение от несплошностей. Это свойство УЗ-волн служит основой для их использования в эхо-импульсном методе дефектоскопии материалов. При падении волны на поверхность раздела двух сред в общем случае часть энергии проходит во вторую среду, а часть отражается и первую. Если УЗ-волна перпендикулярна к границе двух сред, то проходящая и отраженная волны будут такого же типа, что и падающая. Коэффициент отражения R как отношение интенсивностей отраженной и падающей волн зависит от соотношения удельных акустических сопротивлений Z1=ρ1C1 и Z2=ρ2C2 первой и второй сред:
Характеристики
Тип файла документ
Документы такого типа открываются такими программами, как Microsoft Office Word на компьютерах Windows, Apple Pages на компьютерах Mac, Open Office - бесплатная альтернатива на различных платформах, в том числе Linux. Наиболее простым и современным решением будут Google документы, так как открываются онлайн без скачивания прямо в браузере на любой платформе. Существуют российские качественные аналоги, например от Яндекса.
Будьте внимательны на мобильных устройствах, так как там используются упрощённый функционал даже в официальном приложении от Microsoft, поэтому для просмотра скачивайте PDF-версию. А если нужно редактировать файл, то используйте оригинальный файл.
Файлы такого типа обычно разбиты на страницы, а текст может быть форматированным (жирный, курсив, выбор шрифта, таблицы и т.п.), а также в него можно добавлять изображения. Формат идеально подходит для рефератов, докладов и РПЗ курсовых проектов, которые необходимо распечатать. Кстати перед печатью также сохраняйте файл в PDF, так как принтер может начудить со шрифтами.
















