114016 (711246), страница 2
Текст из файла (страница 2)
В добутку перейдемо до нового індексу
і властивість доведена
3. Коефіцієнти
не залежать від довжини відрізка інтегрування та підінтегральної функції
, тому вони можуть бути обчислені раз і назавжди
В залежності від вибраного параметра n отримана загальна форма квадратурних рівнянь розподіляється на випадки [6]:
1) Коли
, то застосовуєма форма квадратурних рівнянь називається - „квадратурна формула трапеції”;
2) Коли
, то застосовуєма форма квадратурних рівнянь називається - „квадратурна формула Симпсона”;
3) Коли
, формула (1.19) не застосовується, оскільки значення не визначені, тому застосовується особливий випадок „квадратурної формули прямокутників (ліві, праві, центральні) ".
2. Чисельні методи інтегрування
2.1 Метод прямокутників
Нехай є відрізок
і нам треба обчислити визначений інтеграл
(2.1 1)
за попередньо представленою загальною квадратурною формулою Н’ютона - Котеса (1.4)
(2.1 2)
де
- деякі фіксовані вузли
Найпростіший варіант інтерполяційної квадратурної формули (2.1 2) виникає, коли
[1]. У цьому випадку не можна скористатися формулою (1.20), бо коефіцієнт (1.19) при
невизначений. Тому, як і при побудові загальної інтерполяційної формули, замінимо підінтегральну функцію інтерполяційним багаточленом нульового степеня, що побудований за єдиним вузлом
.
(2.1 3)
при заміні підінтегральної функції (2.1 2) інтерполяційним поліномом нульового степеня, що побудований по єдиному вузлу
(2.1 3)
Знайдемо коефіціент
(2.1 4)
Після інтегрування маємо квадратурну „формулу прямокутника”:
,
(2.1 5)
При
її називають формулою лівих прямокутників,
При
її називають формулою правих прямокутників,
При
- центральних (або середніх) прямокутників.
Геометричне тлумачення цієї формули показано на рис 2.1
Рис.2.1 Геометричне зображення „формули прямокутників"
Оцінимо похибку
квадратурної формули (2.1 5) за умови, що
. За означенням похибки квадратурної формули (2.1 5) маємо
(2.1 6)
Функцію
запишемо у вигляді розвинення в ряд Тейлора в околі точки
[7]:
(2.1 7)
Проінтегруємо обидві частини рівності (2.1 7) по відрізку
(2.1 8)
Тепер підставимо інтеграл (2.1 8) в (2.1 6)
(2.1 9)
Тепер розглянемо конкретні варіанти вибору точки
При
(праві прямокутники):
(2.1 10)
При
(ліві прямокутники):
(2.1 11)
При
- (центральні прямокутники):
(2.1 12)
З формул (2.1 10), (2.1 11), (2.1 12) видно, що алгебраїчний степінь точності формули центральних прямокутників на 1 вище ніж лівих або правих.
Якщо довжина відрізку
велика, то формули прямокутників мають невисоку точність. У цих випадках краще користуватися сумарними формулами прямокутників. Для цього розіб‘ємо відрізок на
рівних частин з кроком
. Інтеграл шукаємо як суму інтегралів по всіх цих відрізках, тобто
(2.1 13)
На кожному відрізку
інтеграл обчислюємо, користуючись однією з квадратурних формул прямокутників. Розглянемо окремі випадки.
1. „Ліві прямокутники"
. (2.1 14)
В останній формулі (2.1 14) враховано не тільки наближені значення інтегралів за формулою (2.1 5), але й залишки за формулою (2.1 9). Тепер в правій частині цієї рівності запишемо окремо суму наближених значень інтегралів та суму залишків
(2.1 15)
Приймемо до уваги неперервності функції
на
. Нехай
тоді існує така точка
, що буде вірною рівність
Тепер з формули (2.1 15) маємо остаточно узагальнену формулу „лівих прямокутників”:
(2.1 16)
та похибку цієї формули
(2.1 17)
Геометричне зображення „формули лівих прямокутників" наведене на рисунку (2.2)
Рис.2.2 Геометричне зображення „формули лівих прямокутників"
2. Аналогічно для квадратурної формули „правих прямокутників" отримуємо узагальнену формулу
(2.1 18)
та похибку
(2.1 19)
Геометричне зображення „формули правих прямокутників" наведене на рисунку (2.3).
Рис.2.3 Геометричне зображення „формули правих прямокутників”
3. Узагальнена квадратурна формула „центральних прямокутників" запишеться у вигляді:
(2.1 20)
її залишок має вигляд
(2.1 21)
Геометричне зображення „формули центральних прямокутників" наведене на рисунку (2.4).
Рис.2.4 Геометричне зображення „формули центральних прямокутників"
2.2 Метод трапецій
Квадратурна „формула трапеції” - це виключний випадок формули Н’ютона - Котеса (1.20), коли
[1]. Квадратурна формула трапеції має вигляд:
(2.2.1)
Два коефіцієнти Котеса знаходимо, враховуючи їхні властивості
Тоді формула трапеції має вигляд
(2.2.2)
Геометричне тлумачення наведене на рис.2.5 Геометрично цю формулу отримаємо, якщо криву
замінити хордою, яка проходить через точки
та
, тоді інтеграл знаходиться як площа трапеції
.
Рис.2.5 Геометричне тлумачення „формули трапецій”
Формула (2.2.2) наближена. Визначимо похибку для квадратурної формули трапеції:
Похибка квадратурної формули (2.2.2) випливає з (1.12), якщо взяти
та
(2.2.3)
До обчислення останнього інтеграла застосуємо теорему про середнє [5].
Теорема. Нехай
- інтегровані на проміжку
функції, причому
,
на всьому проміжку не змінює знак. Тоді
де
Якщо
неперервна на
, то ця формула може бути записана у вигляді
де
Застосуємо цю теорему до інтеграла (2.2.3). За припущенням функція
є неперервною на
, тому знайдеться така точка
, що буде виконуватися рівність.
Отже,
(2.2.4)
Якщо відрізок
достатньо великий, то похибка (2.2.4) квадратурної формули трапеції, як правило, велика. Для збільшення точності розділимо відрізок інтегрування на
частин точками
, тоді
Якщо розбиття рівномірне, тобто
, то
Запишемо окремо узагальнену формулу трапеції і окремо її похибку:
(2.2.5)
(2.2.6)
Величина
-середнє арифметичне значень другої похідної в
точках відрізку
. Очевидно, що
, де
-найменше значення, а
-найбільше значення другої похідної
,
. Оскільки
неперервна на
, то в якості своїх значень на
вона приймає всі проміжні числа між
і
. Отже, існує така точка
, що
, тобто
(2.2.7)
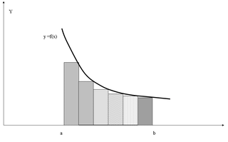
На рис (2.6) показано геометричне зображення узагальненої формули трапеції (2.2.5).
Рис.2.6 Геометричне зображення узагальненої формули трапецій
Точне значення інтеграла, тобто ліва частина наближеної рівності (2.2.5) це площа криволінійної трапеції, що обмежена зверху графіком функції
. Наближене значення інтеграла (права частина рівності (2.2.5) - це площа фігури, що зверху обмежена ламаною
(рис.2.6).
З формули (2.2.7) видно, що чим більшим є число
, тим меншою буде похибка квадратурної формули (2.2.5). Крім того, з (2.2.7) видно, що алгебраїчний степінь точності і квадратурної формули трапеції дорівнює одиниці (так же, як і формули центральних прямокутників).
2.3 Метод Симпсона
Якщо в квадратурній формулі Ньютона-Котеса (2.12) взяти
то здобудемо таку формулу [1]
(2.3.1)
За формулою (2.11) знаходимо
. Врахувавши властивості коефіцієнтів Котеса, знаходимо
.
Після підстановок знайдених коефіцієнтів Котеса в формулу (2.3.1), отримуємо квадратурну формулу, яка називається „формулою Симпсона” або „формулою парабол”:
(2.3.2)
Рис.2.7 Геометричне тлумачення „формули парабол"
Назва квадратурної формули (2.3.2) як „формула парабол" випливає з геометричного тлумачення інтеграла, якщо криву
замінити параболою, що проходить через три точки
(на рис.2.7 парабола показана пунктиром) і наближене значення інтеграла обчислювати як площу криволінійної трапеції, яка зверху обмежена графіком цієї параболи.
Знайдемо залишковий член квадратурної формули Симпсона. Для цього з наближеної рівності (2.3.2) запишемо формулу для похибки
(2.3.3)
Розкладемо функцію
у ряд Тейлора в околі точки
, припускаючи функцію
такою, що розкладання можливе [7]:
Знайдемо точне значення інтеграла:
(2.3.4)
Тепер знаходимо
(2.3.5)
Підставимо (2.3.3) і (2.3.5) у праву частину рівності (2.3.4):
Отже похибка квадратурної формули Симпсона може бути записана у вигляді
(2.3.6)
З формули (2.3.6) видно, що алгебраїчний степінь точності квадратурної формули Симпсона дорівнює трьом, тобто ця формула має підвищений степінь точності.
Формулу Симпсона також можна застосовувати не до всього відрізка інтегрування, а до окремих його частин. Для цього поділимо відрізок
на
частин рівної довжини
кожний, як показано на рисунку (2.8)
Рис.2.8 Геометричне тлумачення формули Симпсона
Візьмемо
-й подвоєний відрізок, функцію
проінтегруємо на цьому відрізку, використовуючи квадратурну формулу (2.3.1) з похибкою (2.3.5)
.
Просумувавши інтеграли за всіма подвоєними відрізками, добудемо узагальнену формулу Сімпсона
Якщо прийняти умову, що відстань між будь-якими двома сусідніми вузлами однакові і дорівнює
, то останню формулу можна переписати в більш простому вигляді
Тепер запишемо окремо узагальнену формулу Сімпсона та її похибку















