111971 (710718), страница 3
Текст из файла (страница 3)
∆f = f(x0+∆х) – f(x0)
откуда
f(x) = f(x0+∆х) = f(x0) ∆f
Обратите внимание: при фиксированном x0 приращение ∆f есть функция от ∆х.
∆f называют также приращением зависимой переменной и обозначают через ∆у для функции y = f(x).
Пример: Дан куб с ребром а. Выразим погрешность ∆V, допущенную при вычислении объема этого куба, если погрешность при измерении длины ребра равна ∆х. По определению приращения х = a + ∆x, тогда
Рассмотрим график функции y = f(x). Геометрический смысл приращений ∆х и ∆f (приращение ∆f обозначают также ∆у) можно понять, рассмотрев рисунок 80.
Прямую l, проходящую через любые две точки графика функции l, называют секущей к графику f. Угловой коэффициент k секущей, проходящей через точки (х0; y0) и (х; у), равен
.
Его удобно выразить через приращения ∆х и ∆у.
(Напомним, что угловой коэффициент прямой y = kx+b равен тангенсу угла а, который эта прямая образует с осью абсцисс.)
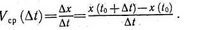
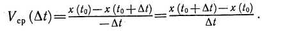
С помощью введенных обозначений приращений удобно также выражать среднюю скорость движения за промежуток времени [t0;t0+∆t]. Если точка движется по прямой и известна ее координата х(t), то
Эта формула верна и для ∆t<0 (для промежутка [t0 + ∆t; t0]). В самом деле, в этом случае перемещение точки равно х (t0) — x(t0 + ∆x); длительность промежутка времени равна —∆t, и, следовательно,
Аналогично выражение
называют средней скоростью изменения функции на промежутке с концами x0 и x0+∆х.
Первообразная и интеграл
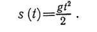
Вспомним пример из механики. Если в начальный момент времени t = 0 скорость тела равна 0, т. е. u (0) = 0, то при свободном падении тело к моменту времени t пройдет путь
Формула (1) была найдена Галилеем экспериментально. Дифференцированием находим скорость:
(2)
Второе дифференцирование дает ускорение:
т. е. ускорение постоянно.
Более типично для механики иное положение: известно ускорение точки a(t) (в нашем случае оно постоянно), требуется найти закон изменения скорости u (t), а также найти координату s (t). Иными словами, по заданной производной u′(t), равной a (t), надо найти u (t), а затем по производной s′(t), равной u (t), найти s (t).
Для решения таких задач служит операция интегрирования, обратная операции дифференцирования.
Определение. Функция F называется первообразной для функции f на заданном промежутке, если для всех х из этого промежутка
F'(x)=f(x).
Показательная и логарифмическая функции
1. Определение корня. С понятием квадратного корня из числа, а вы уже знакомы: это такое число, квадрат которого равен а. Аналогично определяется корень п-й степени из числа а, где п — произвольное натуральное число.
Определение. Корнем п-й степени из числа а называется такое число, п-я степень которого равна а.
Пример 1. Корень третьей степени из числа 27 равен 3, так как З3 = 27. Числа 2 и - 2 являются корнями шестой степени из числа 64, поскольку 26 = 64 и (- 2)6 = 64.
Согласно данному определению корень п-я степени из числа а — это решение уравнения хп = а. Число корней этого уравнения зависит от п и а. Рассмотрим функцию f (х) = хп. Как известно, на промежутке [0; ∞) эта функция при любом п возрастает и принимает все значения из промежутка [0; ∞). По теореме о корне уравнение хп = а для любого а
[0; оо) имеет неотрицательный корень и притом только один. Его называют арифметическим корнем п-й степени из числа an обозначают
; число п называется показателем корня, а само число а — подкоренным выражением. Знак корня √ называют также радикалом.
Определение. Арифметическим корнем п-й степени из числа а называют неотрицательное число, п-я степень которого равна а.
При четных п функция f(x) = xn четна. Отсюда следует, что если а>0, то уравнение хп = а, кроме корня х1 =
, имеет также корень х2 = -
,. Если а = 0, то корень один: х = 0; если а<0, то это уравнение корней не имеет, поскольку четная степень любого числа неотрицательна.
Итак, при четном п существуют два корня п-й степени из любого положительного числа а; корень п-й степени из числа 0 равен нулю; корней -четной степени из отрицательных чисел не существует.
При нечетных значениях п функция f(x) = xn возрастает на всей числовой прямой; ее область значений — множество всех действительных чисел. Применяя теорему о корне, находим, что уравнение хп — а имеет один корень при любом а и, в частности, при а<0. Этот корень для любого значения а (в том числе и а отрицательного) обозначают
Итак, при нечетном п существует корень п-й степени из любого числа а и притом только один.
Для корней нечетной степени справедливо равенство
В самом деле,
т.е. число —
есть корень n-й степени из — а. Но такой корень при нечетном п единственный. Следовательно,
Равенство
(при нечетном п) позволяет выразить корень нечетной степени из отрицательного числа через арифметический корень той же степени. Например,
.
Замечание. Для любого действительного х
Замечание. Удобно считать, что корень первой степени из числа а равен а. Как вы уже знаете, корень второй степени из числа называют квадратным корнем, а показатель 2 корня при записи опускают (например, корень квадратный из 7 обозначают просто
) Корень третьей степени называют кубическим корнем.
2. Основные свойства корней. Напомним известные вам свойства арифметических корней л-й степени.
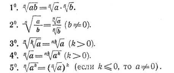
Для любого натурального п, целого k и любых неотрицательных чисел а и b выполнены равенства:
Докажем свойство 10. По определению
— это такое неотрицательное число, п-я степень которого равна ab. Число
·
неотрицательно. Поэтому достаточно проверить справедливость равенства (
·
)п=ab которое вытекает из свойств степени с натуральным показателем и определения корня n-й степени: (
·
)п=(
)n(
)n=ab
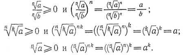
Аналогично доказываются следующие три свойства:
Докажем теперь свойство 50. Заметим, что n-я степень числа (
)k равна ak:
По определению арифметического корня (
)k=
k (так как
).















