amber (710594), страница 4
Текст из файла (страница 4)
12. Ответ правилен, потому что в линейной программе индивидуализируется только темп обучения.
Переходите к рамке 13.
13. В разветвленной программе важную роль играют вопросы, на которые должен ответить учащийся. Кроудер, например, считает, что вопросы, помещенные в отдельные рамки программы, должны обеспечивать реализацию следующих функций:
1) служить проверке того, насколько учащийся усвоил материал, помещенный в данной рамке;
2) отсылать его к соответствующим корректирующим рамкам тогда, когда он не овладел содержанием основных рамок;
-
обеспечивать учащемуся возможность закрепления важнейшей информации с помощью упражнений;
-
побуждать его к сознательной и активной работе по изучению текста и тем самым исключать механическое заучивание, основанное на многократном, бессмысленном повторении одной и той же информации;
-
формировать у учащегося ценностное отношение к учебе.
Согласно Скиннеру, заполнение пробелов, имеющихся в линейной программе, не обеспечивает реализацию одной из перечисленных выше функций. О какой функции идет речь? Назовите ее номер и проверьте ответ на рамке 14.
14. Если Ваш ответ относится ко второй функции, которая сводится к тому, чтобы отослать учащегося, выбравшего на данный вопрос неверный или неполный ответ, к соответствующей корректировочной рамке, то можете закончить работу с этим фрагментом текста и перейти к рамке 1, пункт III.
При наличии другого ответа вернитесь к рамке 1 и еще раз внимательно изучите весь подраздел о разветвленной программе с самого начала.
Конец разветвленной программы
Приведем еще один пример фрагмента из пособия, построенного по принципу разветвленного программирования:
При делении степеней с одинаковыми основаниями показатель делителя вычитается из показателя делимого.
Например:
Произведи деление:
Ответы:
1) 3 (стр. 2)
2) 3 (стр. 3)
3) 3 (стр. 4)
Выбрав первый вариант, ученик открывает стр. 2 и читает:
Твой ответ 3 неверен: ты разделил показатель степени делимого на показатель степени делителя, а ведь нужно было произвести вычитание! Вернись на стр. 1, прочти еще раз правило и пример.
На стр. 3 (если выбран второй вариант ученик читает:
Твой ответ 3 неверен. Совершая деление, ты перемножил показатели степеней! Разве ты забыл, что при делении нужно показатель степени делителя вычесть из показателя степени делимого?
В примере 2 : 2 = _____?
Показатель делителя — 4, делимого — 6, поэтому нужно из 6 вычесть 4. В ответе будет — 2 . Вернись на стр. 1 и попробуй снова решить данный там пример.
Если ученик выбрал третий вариант ответа, то он на стр. 4 читает:
Твой ответ 3 верен. Ты правильно произвел вычитание показателей степени. Переходи к стр. 5 и приступай к изучению нового материала.
Смешанная программа
Разветвленное программирование, как и линейное, было подвергнуто острой критике. Прежде всего отмечалось, что оно основано на неправильном с психолого-дидактической точки зрения способе нахождения ответов учащимися. Ибо распознание верного ответа среди нескольких или нескольких десятков неполных или ошибочных и его выбор, по мнению критиков, не только не приводит к положительным результатам обучения, но и, наоборот, ослабляет эти результаты. Заставляя учеников выбирать ответы, мы вынуждаем их тем самым запоминать ответы неверные или неполные, чаще всего искусственно сконструированные авторами программы. Кроме того, ленивые или нечестолюбивые ученики, стремясь как можно быстрее управиться со своим заданием, каковым является изучение разветвленной программы, могут пойти по линии наименьшего сопротивления и попросту угадывать ответы, выбирать их методом проб и ошибок.
Возражения вызывает также характерная для кроудеровских программ организация обучения непрерывными скачками, которые приводят к тому, что учащийся не может работать систематически и без помех, поскольку непрерывное обращение к корректировочным рамкам не позволяет ему сконцентрировать внимание на главной тематической линии и, кроме того, не позволяет ему отделить действительно важное от второстепенного. При этом малосущественные подробности переплетаются с вопросами принципиального для данной темы значения, в результате чего в голове ученика складывается малооперативная мозаика из разных знаний.
И еще одно критическое замечание, на этот раз направленное как против линейных, так и против разветвленных программ. Учение представляет собой исключительно сложный вид деятельности. Именно поэтому, как утверждают противники описанных вариантов программирования, его нельзя вместить в узкие рамки «учения через письмо» или «учения через угадывание». Значительно полезнее было бы объединить в единое целое обе формы ответа учащихся и благодаря этому создать более рациональную программу, ближе к реальному механизму учения людей. Эта позиция находит свое выражение в стремлении к установлению внутренней целостности программированного обучения с обучением проблемным.
Шеффилдский метод
Стремление к объединению линейных программ с разветвленными привело к появлению так называемого смешанного программирования, которое было разработано британскими психологами из университета в Шеффилде. Для него характерны следующие особенности:
• Учебный материал делится на различные по объему части (порции, шаги). Решающими основаниями деления при этом являются: дидактическая цель, которая должна быть достигнута благодаря изучению данного фрагмента программированного текста с учетом возраста учащихся и характерных особенностей темы. Если, например, полагается, что программа должна быть для учащихся единственным источником знаний по данной теме, то она должна быть более обширной, чем в случае осуществления ею только контрольной или корректирующей функции. В программе, разрабатываемой для учащихся, младших классов, объем рамок, как правило, будет меньшим, чем в текстах для студентов. Наконец, содержательные и логические связи, существующие между отдельными блоками информации, обусловливают определенную тематически замкнутую совокупность, целостность передаваемой информации, что также оказывает влияние на объем рамок в смешанной программе.
• Учащийся дает ответы как путем их выбора, так и в ходе заполнения пробелов, имеющихся в тексте. Основным фактором, определяющим, какая из рассмотренных возможностей будет реализована автором программы (т. е. выбор ответа или заполнение пробелов), является дидактическая цель, которой он стремится достичь. Например, скиннеровский принцип подбора ответа используется главным образом в корректировочных рамках, чтобы облегчить учащимся безошибочное овладение материалом, с которым они сталкиваются повторно. Кроудеровский принцип выбора ответа используется в так называемых основных рамках, которые заключают наиболее важную информацию.
• Учащийся не может перейти к следующей рамке программы, пока хорошо не овладеет содержанием предыдущей. Это положение является общим для всех вариантов дидактического программирования, однако в смешанном программировании ему придается особое значение, поскольку авторы смешанных программ предвидят возможность не только индивидуальной, но и групповой работы с программированным текстом. Успех последнего по мнению авторов, еще более зависим от строгого соблюдения рассматриваемого положения, чем успех работы индивидуальной.
• Содержание отдельных рамок дифференцируется применительно к способностям, проявляемым учениками, а также к степени их продвинутости в учебе по данному предмету. С учетом этого положения смешанная программа ближе к разветвленной, в которой, как мы помним, индивидуализации подвержено и содержание, и темп учения.
• В смешанном программировании, как в линейном и разветвленном, действует принцип дифференциации трудности и прочности знаний, приобретаемых учащимися. В тех разновидностях смешанного программирования, которые мы называем блочным, противопоставляя их шеффилдскому программированию, особое внимание уделяется принципу оперативности знаний учащихся, а также объединению в обучении теории с практикой.
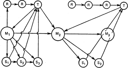
Структура смешанной программы в шеффилдском варианте графически изображена на рисунке 3.
Шеффилдская версия смешанной программы в отличие от программ, описанных выше, до настоящего времени не вызывала особых возражений. Причиной тому может оказаться тот факт, что эта программа сравнительно мало распространена и ее достоинства и недостатки еще не выявлены в ходе серьезных эмпирических исследований.
Рис. 3. Схема смешанной программы. М— информация (знания и основные умения); S-корректирующая информация, связанная с содержанием основной информации- R — коррек- тирующая информация, не связанная непосредственно с основной информацией; Т — вопросы, касающиеся содержания основной информации.
• ЗБ • Закрепляющий блок
| Смешанная программа (шеффилдский вариант)
| линейной; разветвленной построения |
| 3, Величина шагов в шеффилдской программе (различна, одинакова) | различна |
| 4. В смешанной программе (.., вариант) индивидуализации подлежит (темп учения, содержание обучения, темп и содержание обучения) | шеффилдский темп и содержание обучения |
5. Настоящая программа представляет пример линейной (переходите к рамке 6), разветвленной (рамка 7), смешанной программы в шеффилдском варианте (рамка 8).
6. Ваш ответ: «Изучаю линейную программу». Но ведь вы даете ответы не только путем их подбора, но и с помощью их распознавания. Вернитесь к рамке 5, заново прочтите ее и найдите правильный ответ.
7. Ваш ответ: «Изучаю разветвленную программу». Но разве можно считать первую рамку типичной для разветвленной программы?
Вернитесь к рамке 5 и найдите правильный ответ.
8, Ответ: «Изучаю смешанную программу в шеффилдском варчинтг». Очень хорошо. Переходите к рамке 9.
| 9. Линейную, ... и ... (шеффилдский вариант) программы критикуют за то, что они не учат учащихся разрешать проблемы. Конец шеффилдской программы | разветвленную; смешанную |
Блочный метод
Основу блочного метода смешанного программирования, называемого также варшавским, составляют следующие положения:
• Классическое программированное обучение, образованное концепциями Скиннера и Кроудера, может использоваться в образовании исключительно как дополнительный метод, один из многих, но не единственный. Оно особенно эффективно для ознакомления учащихся с пассивными знаниями, овладение которыми требует от них главным образом запоминания. Кроме того, им можно пользоваться при закреплении знаний, а также при контроле и оценке степени овладения ими.
. • Тексты, программируемые с помощью линейного, разветвленного и шеффилдского методов, могут оказаться полезными для борьбы с отставанием учащихся в учебе, для устранения пробелов, возникших в изучаемом ими материале.
• Классические программы, построенные главным образом согласно бихевиористской схеме С — Р (стимул _ реакция), не позволяют развивать самостоятельное, критическое мышление учащихся даже в области тех дисциплин, которые, как, например, математика и грамматика, особенно пригодны для программирования.
Справедливость перечисленных выше положений была проверена в ходе эмпирических исследований, результаты которых частично опубликованы.
Из третьего положения, содержание которого касается проблемы, имеющей
Рис. 4. Схема блочного программирования
фундаментальное значение для школы, следует вывод, что этим текстам следует придать такую форму, чтобы, пользуясь ими, можно было в максимальной мере формировать и развивать самостоятельное мышление учащихся. В связи с этим нужно предпринять попытку замены классических программ программой более гибкой и всесторонней, учитывающей разнообразие действий, определяющих процесс учения, программой, которая бы обеспечила учащимся выполнение разнообразных интеллектуальных операций и оперативное использование приобретаемых знаний при решении определенных задач.
Представляется, что этим требованиям может удовлетворить программа, структура которой соответствует схеме, приведенной на рис. 4















