amber (710594), страница 3
Текст из файла (страница 3)
Покажем еще один пример фрагмента из пособия, построенного по линейному признаку:
Например: | |
| 2. Реши следующие примеры: | |
| 3. При делении степеней с одинаковыми основаниями показатель делителя вычитается из показателя делимого. Например: | |
|
Разветвленная программа
Не все принципы программирования, предложенные Скиннером, пользуются повсеместным признанием среди научных работников, специализирующихся в области программированного обучения.
Критике был подвергнут, прежде всего, принцип «безошибочного прочтения текста». Сидней JL Пресси из Огайо, а также Норман А. Кроудер из Чикаго, например, считают, что не следует исключать возможность ошибок, допускаемых учащимися в процессе учения, ибо эти ошибки можно использовать для рационализации этого процесса, придав им статус контроля его качества и превратив их в средство, позволяющее обнаружить те вопросы, которые учащийся не понял или которыми он еще не овладел.
Возражения и критические замечания выдвигаются и в отношении скиннеровского требования атомизации учебного материала, его деления на «микроинформации». Ученик, которого обрекают на продвижение к цели исключительно мелкими шажками и вследствие этого лишают возможности достигнуть цели скачком, быстро утомляется и впадает в скуку, что неблагоприятно сказывается на результатах учения. Принцип малых шагов, по мнению критиков, имеет еще ту плохую сторону, что он не позволяет индивидуализировать содержание обучения, приспосабливая к возможности отдельных учащихся лишь темп этого процесса.
Острой критике был подвергнут, наконец, постулат скиннеровского линейного программирования о конструировании ответа учащимися. Авторы этих критических замечаний, и прежде всего Н. А. Кроудер, считают, что по сравнению с заполнением имеющихся в тексте пробелов более эффективно распознание ответа, его выбор. Учащийся, выбравший правильный ответ среди нескольких неверных или неполных, затрачивает, по мнению Кроудера, больше интеллектуальных усилий и более самостоятелен в своей работе, чем тот, кто «учится через письмо», лишь подбирая ответы, «подсказанные» ему автором программы.
Эти и подобные критические замечания, высказанные в отношении концепции Скиннера, привели к возникновению так называемого разветвленного программирования. Этот вид программирования — по крайней мере по замыслу его автора Н. А. Кроудера — должен был освободиться от недостатков, приписываемых линейному программированию Скиннера.
Разветвленное программирование непосредственно выводится из тестов знаний, а точнее — из тех вариантов таких тестов, которые опираются на тесты выбора. Ему присуще много черт, общих с сократическим методом наведения учащихся на правильные ответы после предварительного исключения ложных или неполных. Основу разветвленного программирования образуют следующие теоретические положения:
• Учебный материал следует делить на части (порции, шаги), размеры которых соответствуют объему минимальных подтем традиционных текстов, ибо ученик должен иметь возможность осознать цель, которой он должен достигнуть в ходе учения, а это может обеспечить только обширный текст, не разбитый на искусственно отделенные друг от друга «клочки информации».
• После каждой дозы информации должен следовать вопрос, ставящий учащегося перед необходимостью самостоятельного выбора правильного ответа среди нескольких ошибочных или неполных. При этом вопросы, о которых идет речь, должны обеспечить реализацию следующих дидактических функций:
— служить проверке того, насколько хорошо учащийся понял и овладел материалом, помещенным в данной рамке программы;
— отослать к соответствующим корректировочным рамкам в случае неверного указания правильного ответа, помещенного в тексте;
— обеспечить учащимся возможность закрепления важнейших знаний путем выполнения соответствующих упражнений;
— заставить учащегося активно работать с текстом и тем самым исключить механическое запоминание, основанное на многократном бессмысленном повторении одного и того же содержания;
— сформировать у учащегося ценностное отношение к учебе, развивая его интерес к изучаемому предмету, и приучить его к контролю и оценке собственных результатов.
• Непосредственно после указания ответа, избранного учащимся, необходима проверка правильности его выбора. В связи с этим программа должна информировать учащегося о результате каждого выбора, а в случае ошибки отсылать его к исходному пункту с целью повторной попытки выбора правильного ответа или к соответствующей корректирующей рамке, объясняющей причины ошибки.
• Путь через разветвленную программу должен быть дифференцирован в отношении проявляемых учащимися способностей. Лучшие ученики, продвинутые в учебе, должны пользоваться более короткой дорогой, чем их сравнительно слабые товарищи, которых нужно отсылать к корректирующим рамкам для восполнения пробелов в их знаниях, а также для совершенствования их недостаточно отработанных умений.
• Уровень сложности охваченного программой учебного материала должен возрастать, причем принцип «от простого к сложному» действует при подготовке как вопросов, так и связанных с ними ответов.
• Содержание корректирующих рамок следует определять на основе тщательного анализа ошибок, допускаемых в области отдельных учебных предметов учениками определенных классов.
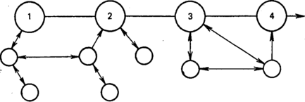
• Суждения, понятия, законы, принципы и т. п., входящие в содержание разветвленной программы, должны быть представлены в разных контекстах содержательно между собой связанных рамками текста, причем в корректирующих рамках следует приводить примеры, целью которых является всестороннее выявление содержания каждого обобщения. Структура разветвленной программы показана на рис. 2. Из представленной схемы следует, что самым коротким путем продвигаются учащиеся, которые правильно отвеча--ют на вопросы, содержащиеся в основных рамках (1, 2, 3 и т.д.). В свою очередь, остальные учащиеся отсылаются к корректирующим рамкам, где они получают дополнительную информацию, позволяющую им устранить ошибки, допущенные в ходе учения по программе. Многочисленные разветвления, показанные на схеме, обосновывают название программы — разветвленная.
Рис. 2. Схема разветвленной программы
• ЗБ • Закрепляющий блок
Кроудеровская программа разветвленная
1. По мнению Н. А. Кроудера, автора разветвленной программы, успех учения зависит не столько от «безошибочного марша прохождения текста «мелкими шагами», сколько от глубокого и всестороннего анализа содержания, которым должен сознательно овладеть учащийся. Такой анализ возможен тогда, когда учащийся:
1) имеет дело с большими, чем в линейной программе, дозами информации (шагами программы);
2) выбирает правильный ответ на включенные в программу вопросы среди нескольких неполных или даже ошибочных ответов;
3) и случае выбора (узнавания) правильного ответа переходит к следующему шагу программы или возвращается к исходному пункту и заново изучает содержание данной рамки, если на заданные в ней вопросы он отвечает неверно.
I. Шаги в разветвленной программе: а) по размеру такие же, как и в линейной (см. рамку 2); б) более мелкие, чем в линейной программе (рамка 3); в) более крупные, чем в линейной программе (рамка 4).
II. Изучение разветвленной программы предполагает нахождение ответа путем:
а) распознания (рамка 5); б) конструирования (рамка 6).
III. В разветвленной программе (действует, не действует) принцип предупреждения ошибок.
При ответе «действует» переходите к рамке 7, в противном случае — к изучению смешанной программы .
2. Ответ: «В разветвленной программе размер шагов такой же, как и в линейной».
Неправильно, потому что, согласно Кроудеру, глубокий и всесторонний анализ изучаемого учащимся текста требует создания шагов (рамок) со значительно большим запасом информации, чем тот, с которым мы сталкиваемся в отдельных рамках линейной программы.
Вернитесь к рамке 1, прочтите ее заново и выберите правильный ответ.
3. Ответ: «В разветвленной программе шаги более мелкие, чем в линейной».
Неверно, так как шаги, из которых образуются линейные программы, в целом складываются только из одного предложения. Именно поэтому их содержание определяется понятием «микроинформация». Каждый шаг разветвленной программы (рамка) содержит более одного предложения. Вернитесь к рамке 1, прочтите ее еще раз и выберите правильный ответ.
4. Ответ: «Шаги в разветвленной программе более крупные, чем в линейной».
Очень хорошо. Шаги, из которых складывается разветвленная программа, не только «крупнее», но и содержат больший объем информации. Переходите к рамке 1, пункт II.
5
. Хорошо; в разветвленной программе индивидуализируется не только темп, но и содержание обучения. Это происходит оттого, что учащиеся, которые правильно отвечают на помещенные в рамках вопросы, идут к цели более коротким путем. Те же, кто допускает ошибки, должны заново возвращаться к уже изученным рамкам, чтобы еще раз ознакомиться с их содержанием, понять причины допущенной ошибки и выбрать правильный ответ. Учащиеся, допускающие ошибки, изучают дополнительно так называемые корректирующие рамки, в результате чего идут к цели не прямым, а кружным путем.
1. Учащийся, изучающий разветвленную программу, приходит к цели кратчайшим путем, потому что:
а) сразу же распознает правильные ответы (переходите к рамке II); б) допускает ошибки (рамка 8). II. В линейной программе индивидуализируется: а) темп учения (рамка 12); б) содержание учения (рамка 9); в) темп и содержание учения (рамка 10).
6
. Ваш ответ: «Изучая разветвленный текст, мы подбираем ответы». Неверно, потому что подбор ответа заключается во вписывании отсутствующих слов в места пробелов, находящихся в тексте. Такой способ ответа не типичен для разветвленной программы.
Вернитесь к рамке 1, снова внимательно ознакомьтесь с ее содержанием и выберите правильный ответ на вопрос, помещенный в пункте II.
7. Ваш ответ: «В разветвленной программе действует принцип предупреждения ошибок».
Неправильно. Этот принцип очень жестко соблюдается не в разветвленной, а в линейной программе. Потому-то Скиннер и рекомендовал деление учебного материала на «микроинформации», чтобы заранее исключить возможность совершения ошибки при изучении текста. Кроу-дер.же считает, что учащийся может допускать ошибки в ходе изучения программы, важно лишь, чтобы его последний ответ на помещенный в рамке вопрос был правильным, потому что от этого зависит переход к следующей рамке. Вернитесь к рамке 1 и выберите правильный ответ.
8, Ваш ответ: «В разветвленной программе учащийся приходит к цели кратчайшим путем, так как совершает ошибки».
Но ведь в таких случаях он должен их исправить, а это требует его направления к одной из корректировочных рамок, что удлиняет его путь учения. Вернитесь к рамке 5 (пункт II) и выберите правильный ответ.
9. Ваш ответ: «В линейной программе индивидуализируется содержание учения».
Неверно. Индивидуализация содержания обучения является признаком разветвленной, а не линейной программы. Нельзя индивидуализировать содержание учения, когда каждый ученик изучает идентичную совокупность рамок программы.
Вернитесь к рамке 5, еще раз внимательно изучите ее содержании и выберите правильный ответ.
10. Ответ: «В линейной программе индивидуализируется темп и содержание учения».
Ответ ошибочен. Познакомьтесь с содержанием рамки 9, а затем переходите к рамке 13.
11. Хороший ответ, В разветвленной программе учащийся действительно приходит к цели кратчайшим путем тогда, когда не допускает ошибок.
Переходите к рамке 13.











