109068 (707873), страница 2

Файл №707873 109068 (Обобщенный принцип наименьшего действия) 2 страница109068 (707873) страница 22016-08-01СтудИзба
Просмтор этого файла доступен только зарегистрированным пользователям. Но у нас супер быстрая регистрация: достаточно только электронной почты!

Текст из файла (страница 2)

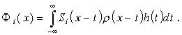
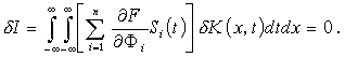
Теперь, чтобы получить необходимое условие экстремума, надо исключить произвольную функцию из вариации функционала d I. В классическом вариационном исчислении это делается с помощью интегрирования по частям, которое в данном случае неприменимо. Полагая, что к вариации d I применима теорема Фубини [8], одним из условий применимости которой может быть суммируемость произведений

изменим в формуле (2.3) порядок интегрирования [10, 11]

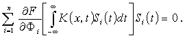
(2.4)

Используя основную лемму вариационного исчисления в формулировке Л.Янга [7], получим аналог уравнения Эйлера для функционалов с континуально многозначным или разрывным интегрантом, зависящих от линейных интегральных операторов, действующих на экстремаль,

(2.5)

Следствие. Если воспользоваться фильтрующим свойством d -функции и ее производных, и обозначить ядра операторов (2.1) через Ki(x,t)=d (i)(x-t), то уравнение (2.5) примет вид уравнения Эйлера

(2.6)

простейшей вариационной задачи [12], но для функционалов с континуально многозначным или разрывным интегрантом

(2.7)

зависящих от искомой функции h(t) и ее производных h(i)(t).

Пример. Задача Дидоны с канавой. В распоряжении царевны имеется веревка заданной длины L, которой следует ограничить участок побережья, причем береговая черта представляется линией x=0 на плоскости Оtx (Рис.2). При этом надо найти кривую длины L, лежащую в полуплоскости , соединяющую точки (-1,0) и (1,0), такую что площадь между кривой и осью t максимальна.

Стремясь иметь для примера негладкий интегрант, Кларк модифицировал [3, с.178] задачу Дидоны следующим образом. Он полагает, что для некоторого a >0 земля в области x>a худшего качества и доход с нее составляет только половину дохода с земли в области x

Рис.2. Участок Дидоны с канавой

Доход Д с огороженного участка, ограниченного кривой x(t), равен

(П.1)

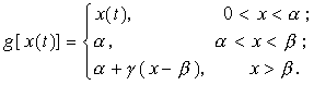
где gn[x(t)] = {x(t), если ; (x+a )/2, если } .Следует максимизировать значение дохода Д (интеграла (П.1)) при наличии ограничений

(П.2)

. (П.3)

Далее Кларк использует методы негладкого анализа для решения модифицированной задачи Дидоны. Применение этих методов ограничивается негладкими интегрантами и абсолютно непрерывными экстремалями.

Для частичной иллюстрации возможностей предложенного нами метода решения задач с разрывным интегрантом будем полагать, что участок Дидоны параллельно береговой линии пересекает канава шириной b -a . Один берег канавы проходит по линии x(t)=a ., а другой - по линии x(t)=b . Участок канавы, ограниченный берегами и веревкой (рис.2), никакого дохода не приносит, и интегрант выглядит так:

(П.4)

Веревка ограничивает канаву, пересекая ее, но разорвать веревку Дидона не может, поэтому изопериметрическое условие (П.3) остается в силе. Требуется максимизировать доход с участка, расположенного по берегам канавы, ограниченного береговой линией и веревкой.

Представим g[x(t)] с помощью единичной функции включения (1.2) в виде

В уравнение Эйлера простейшей вариационной задачи (2.6) входят производные интегранта по x и по . Вычислим эту производную

Производя сокращения и учитывая свойства d -функции [7], находим

или

(П.5)

С учетом изопериметрического условия (П.3), получим дифференциальное уравнение для экстремали

(П.6)

где l - неопределенный пока множитель Лагранжа [7].

Уравнение (П.6) при и ограничениях (П.2) имеет интегралом окружность

(П.7)

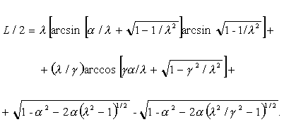
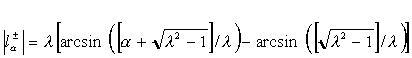
где C = ¦ (l 2 /a2-1)1/2, симметрично расположенную относительно оси Оx (рис.2). Выразим длину веревки Дидоны через параметры задачи a , b , g и неизвестный коэффициент l .

В горизонтальной полосе 0 и центр соответствующей окружности располагается ниже оси Оt (иначе интегральные дуги окажутся вне вертикальной полосы -1 дуги получим

(П.8)

При x>b и при отыскании максимума функционала (П.1) в случае g >1 (или g <1) центр окружности, содержащей интегральную дугу , будет расположен выше (или ниже) оси Оt. Для длины дуги получим

(П.9)

В полосе a и интегральная линия имеет вид отрезков прямой , соединяющей концы дуг и с концами дуги . При разных значениях параметра g может быть разная ориентировка этих отрезков. В частности, они могут быть параллельны оси Оy ( )или наклонены. Длина отрезка определяется выражением

или

Заметим, что при a =b и лишь при g =1, т.е. требования "стыковки" или даже "сопряжения" дуг и , наложенные в [3] при , не вытекают из условия задачи, несмотря на неразрывность веревки.

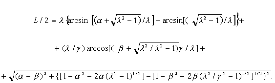
Окончательно получим

или (П.10)

При a = b получаем

При a = b и a = 1 получается длина дуги в классической задаче [12] Дидоны

Или

(П.11)

3. Вариационная задача поиска оптимального оператора

Кроме приведенной в разделе 2 постановки вариационной задачи, сформулируем задачу поиска ядра оптимального оператора F i , действующего на заданные функции Si, и доставляющего экстремум функционалу с разрывным интегрантом F. Такие задачи могут, например встречаться при нахождении распределения плотности заряда в частице.

Пусть существует функционал I с разрывным интегрантом F

(3.1)

В случае конечных пределов интегрирования в (3.1) функционал I всегда можно выразить через интеграл с бесконечными пределами с помощью функции (1.2) включения H(x). В формуле (3.1) символами F i(x) обозначены линейные интегральные операторы

(3.2)

с искомым ядром K(x,t), действующим на заданные функции , .

Частные решение

Установим интересное свойство множества экстремалей. Для этого представим ядро в виде произведения

(3.3)

где , - выбранная из некоторого множества произвольная функция, на которую умножаются входные процессы Si (t); , - разностное ядро, которое требуется найти из условия экстремума функционала I. Подставив (3.3) в (3.2), получим

(3.4)

Используем свойство свертки и приведем оператор (3.4) к виду

(3.5)

Частная оптимизационная задача для функционала (3.1), зависящего от линейного интегрального оператора с ядром (3.3), свелась к задаче для функционала (3.1), зависящего от интегральных операторов (3.5) с разностными ядрами Ki (x,t)=Si (x-t)r (x-t). Решение этой задачи получено в разделе 2. Частным необходимым условием экстремума функционала I на основе раздела 2 является уравнение

(3.6)

Поскольку функции Si (x-t) заданы из условий задачи, а функция r (x-t) выбирается произвольно, то каждой из выбранных r (x-t) соответствует оптимальная h(t), т.е. даже при представлении ядра K(x,t) в виде произведения (3.3) единственного решения сформулированной задачи не существует.

Никаких ограничений на непрерывность ядер K(x,t) при выводе частных необходимых условий экстремума не накладывалось, поэтому и функции r (x-t), и функции h(t) могут быть разрывными или d -функцией и ее производными. Следовательно, на основании теоремы [13] о мощности множества функций действительного переменного можно сделать вывод о том, что множества частных и, тем более, общих необходимых условий экстремума имеют мощность больше мощности континуума.

В связи с тем, что задача (3.1), (3.2) счетного множества решений не имеет, решением в данном случае можно назвать конструктивное описание подмножества функций K(x,t), доставляющих экстремум функционалу I, причем мощность множества K больше мощности континуума.

Общая задача

Рассмотрим общую задачу (3.1), (3.2). Будем ее решать как вариационную. Для этого введем однопараметрическое семейство кривых - функций двух переменных K(x,t)=K(x,t) + a d K(x,t), где d K(x,t) - произвольная функция двух переменных, a - малый параметр K(x,t) вместо K(x,t) в операторы (3.2), операторы (3.2) в функционал (3.1), дифференцируя (3.1) по параметру a , получим вариацию d I

(3.7)

Полагая, что к вариации (3.7) применима теорема Фубини, изменим порядок интегрирования и суммирования и положим вариацию dI равной нулю

(3.8)

Применяя к вариации (3.8) основную лемму вариационного исчисления в формулировке Л.Янга [7], получим необходимое условие экстремума функционала (3.1), зависящего от оператора (3.2),

(3.9)

Если интегрант функционала (3.1) не является линейным, частные производные интегранта всегда содержат сам оператор (3.2), а уравнение (3.9) является нелинейным двумерным интегральным уравнением, когда искомая функция K(x,t) двух независимых переменных входит под знак интеграла. Свойства уравнений типа (3.9) пока исследованы мало. Только если функционал I - квадратичный, уравнение (3.9) - линейное двумерное интегральное уравнение, некоторые свойства которых сведены в монографии [11].

Список литературы

[1] Фейнмановские лекции по физике, Том 6, М.: Мир, 1977.

[2] КашиновВ.В. Физическая мысль России, N 1/2, (1999), с.127.

[3] КларкФ. Оптимизация и негладкий анализ: Пер. с англ. / Под ред. В.И.Благодатских, М.: Наука, 1988.

[4] СмоляноваМ.О. Непрерывно дифференцируемая разрывная функция на пространстве D // Известия РАН. Серия математическая. Том 59.5, (1995), с.197-202.

[5] БатухтинВ.Д., МайбородаЛ.А. Разрывные экстремальные задачи, СПб.: Гиппократ, 1995.

[6] АнтосикП., МикусинскийЯ., СикорскийР. Теория обобщенных функций (Секвенциальный подход). - М.: Мир, 1976.

[7] ЯнгЛ. Лекции по вариационному исчислению и оптимальному управлению. - М.: Мир, 1974.

[8] КолмогоровА.Н., ФоминС.В. Элементы теории функций и функционального анализа. - М.: Наука, 1981.

[9] МышкисА.Д. Лекции по высшей математике. - М.: Наука, 1973. с.186-188.

[10] КашиновВ.В. Необходимые условия оптимальности в некоторых задачах управления и фильтрации // Кибернетика. 6, 1972, с.148-149.

[11] ПахолковГ.А., КашиновВ.В., ПономаренкоБ.В. Вариационный метод синтеза сигналов и фильтров. - М.: Радио и связь, 1981.

[12] КрасновМ.Л., МакаренкоГ.И., КиселевА.И. Вариационное исчисление. - М.: Наука, 1973.

[13] МакаровИ.П. Дополнительные главы математического анализа. - М.: Просвещение, 1968.

Характеристики

Тип файла
Документ
Размер
4,19 Mb
Тип материала
Учебное заведение
Неизвестно

Список файлов реферата

Свежие статьи
Популярно сейчас
Почему делать на заказ в разы дороже, чем купить готовую учебную работу на СтудИзбе? Наши учебные работы продаются каждый год, тогда как большинство заказов выполняются с нуля. Найдите подходящий учебный материал на СтудИзбе!
Ответы на популярные вопросы
Да! Наши авторы собирают и выкладывают те работы, которые сдаются в Вашем учебном заведении ежегодно и уже проверены преподавателями.
Да! У нас любой человек может выложить любую учебную работу и зарабатывать на её продажах! Но каждый учебный материал публикуется только после тщательной проверки администрацией.
Вернём деньги! А если быть более точными, то автору даётся немного времени на исправление, а если не исправит или выйдет время, то вернём деньги в полном объёме!
Да! На равне с готовыми студенческими работами у нас продаются услуги. Цены на услуги видны сразу, то есть Вам нужно только указать параметры и сразу можно оплачивать.
Отзывы студентов
Ставлю 10/10
Все нравится, очень удобный сайт, помогает в учебе. Кроме этого, можно заработать самому, выставляя готовые учебные материалы на продажу здесь. Рейтинги и отзывы на преподавателей очень помогают сориентироваться в начале нового семестра. Спасибо за такую функцию. Ставлю максимальную оценку.
Лучшая платформа для успешной сдачи сессии
Познакомился со СтудИзбой благодаря своему другу, очень нравится интерфейс, количество доступных файлов, цена, в общем, все прекрасно. Даже сам продаю какие-то свои работы.
Студизба ван лав ❤
Очень офигенный сайт для студентов. Много полезных учебных материалов. Пользуюсь студизбой с октября 2021 года. Серьёзных нареканий нет. Хотелось бы, что бы ввели подписочную модель и сделали материалы дешевле 300 рублей в рамках подписки бесплатными.
Отличный сайт
Лично меня всё устраивает - и покупка, и продажа; и цены, и возможность предпросмотра куска файла, и обилие бесплатных файлов (в подборках по авторам, читай, ВУЗам и факультетам). Есть определённые баги, но всё решаемо, да и администраторы реагируют в течение суток.
Маленький отзыв о большом помощнике!
Студизба спасает в те моменты, когда сроки горят, а работ накопилось достаточно. Довольно удобный сайт с простой навигацией и огромным количеством материалов.
Студ. Изба как крупнейший сборник работ для студентов
Тут дофига бывает всего полезного. Печально, что бывают предметы по которым даже одного бесплатного решения нет, но это скорее вопрос к студентам. В остальном всё здорово.
Спасательный островок
Если уже не успеваешь разобраться или застрял на каком-то задание поможет тебе быстро и недорого решить твою проблему.
Всё и так отлично
Всё очень удобно. Особенно круто, что есть система бонусов и можно выводить остатки денег. Очень много качественных бесплатных файлов.
Отзыв о системе "Студизба"
Отличная платформа для распространения работ, востребованных студентами. Хорошо налаженная и качественная работа сайта, огромная база заданий и аудитория.
Отличный помощник
Отличный сайт с кучей полезных файлов, позволяющий найти много методичек / учебников / отзывов о вузах и преподователях.
Отлично помогает студентам в любой момент для решения трудных и незамедлительных задач
Хотелось бы больше конкретной информации о преподавателях. А так в принципе хороший сайт, всегда им пользуюсь и ни разу не было желания прекратить. Хороший сайт для помощи студентам, удобный и приятный интерфейс. Из недостатков можно выделить только отсутствия небольшого количества файлов.
Спасибо за шикарный сайт
Великолепный сайт на котором студент за не большие деньги может найти помощь с дз, проектами курсовыми, лабораторными, а также узнать отзывы на преподавателей и бесплатно скачать пособия.
Популярные преподаватели
Добавляйте материалы
и зарабатывайте!
Продажи идут автоматически
7271
Авторов
на СтудИзбе
244
Средний доход
с одного платного файла
Обучение Подробнее