105077 (706937), страница 3
Текст из файла (страница 3)
Применение принципа «точно вовремя» повышает производительность труда и улучшает качество продукции. Результаты работы делаются более наглядными на каждом рабочем месте, что повышает ответственность работников и их заинтересованность в конечном результате.
Принцип «точно вовремя» наряду с производственной сферой применяется также в области торговли, организации сбыта продукции, снабжения предприятий, особенно закупок сырья и материалов.
Важно отметить, что принцип «точно вовремя», как и многие другие японские достижения, может быть применен не только в Японии (как пытаются представить некоторые наши «теоретики»), но в любой стране с развитой промышленностью. Об этом, в частности, свидетельствует опыт США – страны, активно и целеустремленно использующей японские нововведения.
3. Расчеты эффективного менеджмента
менеджмент эффективность расчет
Здесь в качестве примеров расчетов эффективного менеджмента будут рассмотрены:
расчеты дохода, прибыли и рентабельности;
расчеты коэффициентов эффективности деятельности фирмы;
расчеты оптимального использования ресурсов.
Расчеты дохода, прибыльности и рентабельности
Доход предприятия – это финансовые поступления от всех видов его деятельности: выручка от операций по реализации продукции, работ и услуг, средства от реализации основных фондов (помещений, оборудования) и иного имущества предприятия, средства от внереализационных операций (доходы от долевого участия в деятельности других предприятий, сдачи имущества в аренду, дивиденды по акциям).
Прибыль (или чистый доход) предприятия – это разница между доходом (соответствующими финансовыми поступлениями) и затратами (расходами) на их получение:
ПР = Д – З (1)
Прибыль предприятия облагается одним из главных налогов – налогом на прибыль. Разность между прибылью и налогом на прибыль называют чистой прибылью:
ЧПР = ПР-НПР (2)
Прибыль, соответствующая бухгалтерским расчетам на определенную дату, называется балансовой прибылью.
Суммарный доход (суммарная прибыль) от операций по реализации продукции, работ или услуг (Дри), реализации основных фондов и иного имущества (Доф) и внереализационных операций (Двро) называется валовым доходом (валовой прибылью):
ВД = Дри + Доф + Двро; (3а)
ВПР = ПРри + ПРоф + ПРвро (3б)
Прибыль от реализации продукции, работ или услуг рассчитывается как разность между соответствующей выручкой и затратами (расходами) на производство и реализацию продукции (работ, услуг):
ПРри = Ври - Зри. (4)
Перечень затрат, включаемых в себестоимость продукции (себестоимость услуг), определяется правительством и включает расходы на использование в процессе производства природных ресурсов, сырья, материалов, топлива, энергии, основных фондов, трудовых ресурсов, а также дополнительные расходы на подготовку и освоение новых видов продукции, работ или услуг.
Прибыль от реализации основных фондов и иного имущества предприятия представляет собой разность между их продажной ценой (ПЦ) и первоначальной (ПС) либо остаточной (ОС) стоимостью, с учетом инфляции
Прибыль от внереализационных операций представляет собой разность между доходами от долевого участия в деятельности других предприятий, сдачи имущества в аренду, дивидендов по акциям, а также другими доходами, не связанными с производством продукции и ее реализацией, и затратами (расходами) по этим операциям:
ПРвро = Двро- Звро (5)
Важнейшим показателем эффективности единовременных и текущих затрат предприятия является рентабельность (процентный капитал). Рентабельность представляет собой отношение прибыли к единовременным либо текущим затратам, благодаря которым она была получена.
Различают рентабельность производства и рентабельность продукции (работ или услуг).
Рентабельность производства характеризует результативность использования имущества предприятия. Она представляет собой процентное отношение годовой прибыли (или чистой прибыли) к авансируемому капиталу. Авансированный капитал (АК) – это сумма среднегодовой стоимости основных фондов (ОФ) и оборотных средств (ОС).
С помощью данного показателя можно определить срок, в течение которого авансированный капитал будет возвращен полностью. Так, если Рпроизв = 25 %, то это означает, что полный оборот капитала произойдет через 4 года
Рентабельность продукции, работ или услуг характеризует результативность текущих затрат предприятия. Она представляет собой процентное отношение прибыли к себестоимости продукции (работ или услуг) – затраты на ее производство и реализацию.
Данный показатель дает возможность определить целесообразность производства отдельных видов продукции, работ или услуг.
ПРИМЕРЫ НА РАСЧЕТЫ ДОХОДА, ПРИБЫЛИ И РЕНТАБЕЛЬНОСТИ
1. Выручка (доход) от реализации продукции составила 100 000 д. ед. Материальные затраты - 50 000 д. ед., накладные расходы – 10 000 д. ед., затраты на заработную плату - 10 000 д. ед.
Необходимо рассчитать: 1) прибыль, 2) налог на прибыль (35 %), 3) чистую прибыль.
Решение
1. Общие затраты составляют:
З = 50 000 + 10 000 + 10 000 = 70 000 д. ед.
По формуле (5):
ПР = 100 000 - 70 000 д. ед. = 30 000 д. ед.
2. Налог на прибыль составляет:
НПР = 35 % от 30 000 = 10 500 д. ед.
3. По формуле (2):
ЧПР = 30 000 - 10 500 = 19 500 д. ед.
2. Продажная цена основных фондов равна 100 000 д. ед. Первоначальная стоимость основных фондов – 10 000 д. ед. Процент износа основных фондов за год – 10 %. Срок использования основных фондов - 4 года. Индекс инфляции - 10.
Необходимо рассчитать: 1) прибыль от реализации основных фондов, 2) налог на прибыль (35 %), 3) чистую прибыль.
Решение
1. По формуле (5):
По формуле (16.56):
ПРоф = 100 000 - 6000 х 10 = 40 000 д. ед.
2. Налог на прибыль составляет:
3. По формуле (2):
ЧПР = 40 000 - 14 000 = 26 000 д. ед.
3. Выручка от продажи продукции составила 100 млн руб. Торговые издержки - 20 млн руб., оплата труда рабочих предприятия 25 млн руб., материальные затраты – 10 млн руб., накладные расходы – 5 млн руб.
Необходимо рассчитать: 1) прибыль, 2) рентабельность продукции.
Решение
1. Общие затраты составляют:
З = 20 + 25 + 10 + 5 = 60 млн руб.
По формуле (16.4):
ПР= 100 - 60 = 40 млн руб.
2. По формуле (4):
Расчеты коэффициентов эффективности деятельности фирмы
В качестве примеров коэффициентов (показателей) эффективности деятельности фирмы рассмотрим следующие:
1. Срок выплат по счетам.
2. Запасы в дневной стоимости реализованных товаров.
3. Срок счетов кредиторов в днях закупки.
4. Основной капитал как процент продажи.
Три первых коэффициента рассчитываются в днях, четвертый – в процентах.
Расчеты коэффициентов эффективности
за 1-й год деятельности предприятия
Аналогичным путем рассчитываются коэффициенты эффективности за 2-й и 3-й годы деятельности предприятия (табл. 1).
Таблица 1
| Коэффициенты эффективности | l-й год | 2-й год | 3-й год |
| 1. Срок выплат по счетам (в днях) | 33,3 | 30,9 | 26,9 |
| 2. Запасы в дневной стоимости реализованных товаров (в днях) | 83,2 | 94,6 | 86,7 |
| 3. Срок счетов кредиторов в днях закупки (в днях) | 36,6 | 35,3 | 27,0 |
| 4. Основной капитал как процент продажи (в %) | 5,5 | 4,0 | 2,9 |
Анализ коэффициентов эффективности позволяет сделать следующие выводы:
1. Срок выплат по счетам показывает, какое число дней в году фирма за свою работу не получала денег, торгуя в кредит (выплаты по счетам соответствуют продаже в кредит). Это соответствует времени ожидания оплаты с момента продажи. Соотнесение данного показателя со сроками продажи показывает, выдерживаются ли установленные сроки кредита. Это дает основание к регулированию кредитных отношений с покупателями. Следует помнить, что чем больше этот показатель, тем больше требуется фирме денег и тем большую выгоду получает покупатель, использующий за это время деньги фирмы. С другой стороны, лишая покупателя кредита, мы рискуем сократить число желающих купить товар. Поэтому нужно находить для данного коэффициента оптимальное значение.
2. Запасы в дневной стоимости реализованных товаров характеризуют возможность их реализации в будущем. Поэтому их соотносят со стоимостью реализованных товаров. Этот коэффициент показывает, как быстро товар проходит через фирму – от дня получения до дня продажи. Рост данного показателя свидетельствует об избыточности запасов, а также их устаревании. Чем выше этот показатель, тем больше сумма замороженных в запасах средств, тем больше расходы на хранение и обновление товаров. Вместе с тем определенное количество запасов требуется для того, чтобы быть готовым удовлетворить покупателя. Следовательно, данный показатель должен носить оптимальный характер.
Иногда для определения скорости прохождения товаров через фирму используют еще один дополнительный показатель – коэффициент оборачиваемости товаров, который равен:
Этот показатель для 1, 2 и 3-го годов деятельности предприятия равен соответственно 4,4 раза, 3,8 раза, 4,2 раза. Результаты сделанного с его помощью анализа скорости прохождения товара через фирму совпадают с теми, которые дает коэффициент «Запасы в дневной стоимости товара».
3. Срок счетов кредиторов в днях закупки характеризует покупку товаров в кредит. Он показывает, сколько дней требовалось фирме, чтобы оплатить товар, купленный в долг. Это дает возможность сделать выводы о степени зависимости предприятия от торгового кредита. Если данный показатель больше определенной величины (она дается практикой), это может означать, что кредитор вот-вот прекратит поставки или потребует немедленной выплаты долгов. Пострадает и репутация фирмы. С другой стороны, выплачивая кредиты раньше этого срока, фирма также сокращает свои возможности.
Для контроля и регулирования платежей удобен следующий порядок соглашений об оплате поставок, действующий во многих странах. Поставщик предлагает срок поставок и их оплаты в следующей форме: «1/7, чистый 30», что означает скидку в 1 % при оплате в течение недели при конечном сроке оплаты в 30 дней. Поскольку ставка процентов торгового кредита значительно выше, чем 1 % (она может быть и 15–20 %), то подобная скидка всегда выгодна фирме. Рассматриваемый коэффициент может оказаться весьма полезным для подобных расчетов. Он позволит сопоставить состояние кредитных расчетов на предприятии с предложениями поставщиков о скидке, учитывая при этом и действующий банковский процент (возможности предприятия получить ссуду в банке для расчетов с поставщиками).
4. Основной капитал как процент продажи свидетельствует о том, сколь успешно используются основные фонды предприятия (рентабельность).
Расчеты оптимального использования ресурсов. Успешность решения подавляющего большинства экономических задач зависит от наилучшего, наивыгоднейшего способа использования ресурсов. В процессе экономической деятельности приходится распределять такие важные ресурсы, как деньги, товары, сырье, оборудование, рабочую силу и др. И от того, как будут распределяться эти, как правило ограниченные, ресурсы, зависит конечный результат деятельности, бизнеса.
Суть методов оптимизации заключается в том, что исходя из наличия определенных ресурсов выбирается такой способ их использования (распределения), при котором обеспечивается максимум (или минимум) интересующего нас показателя. При этом учитываются определенные ограничения, налагаемые на использование ресурсов условиями экономической ситуации.
В качестве методов оптимизации в экономике находят применение все основные разделы математического программирования (планирования): линейное, нелинейное и динамическое.
Линейное программирование (планирование) – математический метод отыскивания максимума или минимума линейной функции при наличии ограничений в виде линейных неравенств или уравнений. (Линейное здесь означает, что на графике функции изображаются в виде прямых линий, обозначающих 1-е степени соответствующих величин.)
Максимизируемая (минимизируемая) функция представляет собой принятый критерий эффективности решения задачи, соответствующий поставленной цели. Она носит название целевой функции.
Ограничения характеризуют имеющиеся возможности решения задачи.
Существо решения задач линейного программирования заключается в нахождении условий, обращающих целевую функцию в минимум или максимум.
Решение, удовлетворяющее условиям задачи и соответствующее намеченной цели, называется оптимальным планом.
Линейное программирование (планирование) служит для выбора наилучшего плана распределения ограниченных однородных ресурсов в целях решения поставленной задачи.
В общем виде постановка задачи линейного программирования заключается в следующем.
Условия задачи представляются с помощью системы линейных уравнений или неравенств, выражающих ограничения, налагаемые на использование имеющихся ресурсов.
где Xj – искомые величины, содержащие решение поставленной задачи;
aij и bi – известные постоянные величины, характеризующие условия задачи.
Условия задачи (ограничения) могут быть заданы также в виде неравенств. В этих случаях можно привести систему линейных ограничений к виду (16.10), вводя в каждое линейное ограничение дополнительные неотрицательные неизвестные:
Целевая установка оптимизации заключается в том, чтобы свести ожидаемые при решении данной задачи издержки предприятий к минимуму.
Требуется обратить в минимум величину
где сj – показатель, характеризующий издержки предприятий.
Пусть т – общее число различных видов ресурсов, которыми располагает собственник, а п – число типов предприятий, между которыми эти ресурсы должны быть распределены. При этом известно, какое количество однородных ресурсов различного вида (i = 1, 2,... т) может быть реализовано на каждом из предприятий данного типа (j = 1, 2,... п), а также общее количество ресурсов данного вида (bi). Известно также относительное значение издержек на каждом из предприятий (cj).
Задача заключается в том, чтобы наилучшим (оптимальным) образом распределить имеющиеся ресурсы по предприятиям, т. е. найти неизвестные величины xj, требуемые для этого количества предприятий данного типа.
ПРИМЕР. Собственник располагает четырьмя видами ресурсов (m = 4). Это, например, денежные средства, производственные помещения, оборудование, сырье. Ресурсы необходимо распределить между шестью предприятиями (п = 6). Предприятия различаются по экономическим условиям деятельности: месту расположения, системе налогообложения, стоимости энергии, оплате труда и т. д., в связи с чем имеют разные издержки производства. Относительные уровни издержек заданы табл. 2.
Таблица 2
Относительные уровни издержек на предприятиях
| Предприятия | 1 | 2 | 3 | 4 | 5 | 6 |
| Издержки | 0,4 | 0,5 | 0,2 | 0,8 | 0,6 | 0,3 |
Распределение ресурсов по предприятиям сопряжено с необходимостью учета ряда ограничений, которые могут быть описаны системой четырех уравнений с шестью неизвестными, аналогичной системе:
Смысл первого уравнения в нашем примере в том, что ресурс вида 1, общий ресурс которого составляет 16 единиц, может размещаться в количестве четырех единиц на предприятии первого типа и одной единицы – на предприятии четвертого типа. Аналогично раскрывается смысл второго и последующих уравнений. Последнее условие говорит о том, что число предприятий не может быть отрицательным.
Необходимо определить, какое количество предприятий каждого типа следует иметь, чтобы общие издержки были минимальными.
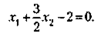
Рис. 1. График оптимального распределения ресурсов
В нашем примере, когда п - т = 2, каждое из ограничительных линейных уравнений, а также линейная функция могут быть представлены геометрически в двухмерном пространстве (на плоскости).
Чтобы представить ограничения и целевую функцию на графике, необходимо выразить все известные через независимые величины. Например, x1 и х2, соответствующие координатным осям, относительно которых будет производиться построение (рис. 1).
Каждому из неравенств на графике рис. 1 соответствует полуплоскость, в пределах которой находятся все допускаемые данным неравенством значения переменной величины xj (j = 1, 2,..., 6). Так, неравенству x1 0 соответствует полуплоскость вправо от оси х2 (граница ее заштрихована). Неравенству x3 = 8x1 + 12х2 - 16 0 соответствует полуплоскость вправо и вверх от линии граничного значения данного неравенства (при х3 = 0). Уравнение этой линии:
Таким же образом можно построить границы, определяемые другими уравнениями.
Неравенствам соответствует некоторая область – шестиугольник ABCDEF, образованный границами упомянутых выше полуплоскостей. Эта область может быть названа областью допустимых планов, поскольку любая точка в ее пределах отвечает требованиям наложенных ограничений.
Из всех допустимых планов нас интересует оптимальный план, при котором функция цели у достигает минимума.
Целевой функции соответствует семейство параллельных прямых. Рассмотрим одну из них, проходящую через начало координат, что будет иметь место при у = 22,8. При этом x2 = 3x1.
Интересующая нас прямая у = 22,8, как видно на рис. 16.1, имеет наклон вправо от оси х2. Задаваясь различными значениями у, получим семейство прямых линий, параллельных прямой у = 22,8, проходящей через точку 0. При этом чем меньше будет значение у, тем, очевидно, правее будет располагаться соответствующая прямая.
Поскольку мы добиваемся минимального значения у, то нас будет интересовать прямая, расположенная в наибольшем удалении вправо от прямой у = 22,8 и проходящая через многоугольник ABCDEF, – прямая ymin.
Единственной точкой, соответствующей оптимальному плану, будет та вершина многоугольника ABCDEF, которая одновременно принадлежит области допустимых планов и отвечает требованию минимизации целевой функции у, - вершина С. Из уравнения прямой ЕС, проходящей через точку С, следует, что х1 = 4. Из уравнения прямой DC, проходящей через ту же точку, следует, что x2 = 0.
Подставляя полученные значения x1 = 4 и x2 = 0 в уравнения, определим величины остальных переменных, составляющих оптимальный план:
Таким образом, оптимальный план будет следующим:
Линейная форма (величина издержек) при этом будет минимальной:
На практике встречается ряд задач, аналогичных рассмотренному примеру, но требующих максимизации целевой функции (например, величины дохода или прибыли).
При решении этих задач целевая функция рассчитывается по формуле:
где у* – целевая функция, подлежащая максимизации. Отличие заключается в том, что знаки перед всеми постоянными коэффициентами меняются на обратные
Библиографический список
1. Управление в гибком производстве (в соавт.).– М.: Радио и связь, 2010.-126 с.
2. Основы математического программирования. – М.: ВОК, 2006.-89 с.
3. Автоматизация управления (в соавт.). – М.: Радио и связь, 2009. – 262 с.
4. Основы исследования операций. – М.: ВОК, 2007.-316 с.
5. Разработка систем управления (в соавт.). – М.: ЛИМТУ, 2009.-83 с.
6. Введение в теорию выработки решений (в соавт.). - М: В-дат, 2008.- 39 с.
7. Основы теории игр и статистических решений (в сб.). - М.: ВОК, 2006. - 91 с.
8. Справочник по исследованию операций (в соавт.). - М.: В-дат, 2008. - 361 с.
9. Уроки бизнеса. – СПб.: Образование, 2008. – 190 с.
10. Принятие решений в услових неполной информации. - М.: ЛИМТУ 2007.
Размещено на Allbest.ru
















