73050-1 (704800)
Текст из файла
Обучаемая система поддержки коллективного решения группы независимых экспертов
Леонид Соломонович Файнзильберг
Предложено решающее правило, позволяющее оценивать состояние объекта в условиях противоречивой информации, полученной от группы независимых экспертов (алгоритмов). Для использования правила достаточно иметь информацию об априорных вероятностях классов и условных вероятностях ошибок экспертов. Описана архитектура системы, в которой наряду с формированием коллективного решения обеспечивается уточнение вероятностных характеристик, фигурирующих в решающем правиле.
Введение.
В различных областях приложения (техника, экономика, медицина и т.п.) профессиональная деятельность человека связана с принятием решений, которые сводятся к выбору оптимального варианта из множества альтернатив [1,2]. Для повышения эффективности принимаемых решений часто используется информация, полученная от группы экспертов [3-5]. В этом случае возникает необходимость формирования коллективного решения на основе “интеграции” частных решений членов группы. Типичным примером подобного коллектива является медицинский консилиум, принимающий окончательное решение на основании учета частных решений отдельных специалистов [6]. Идея коллективного решения получила также известность не только для группы людей, но и для совокупности формальных алгоритмов [7-19].
Известны различные подходы к интеграции частных решений. В одних случаях предлагается использовать метод голосования (majority vote method) [9,10] или ранжирования (label ranking method) [11, 12]. В других – использовать схемы, основанные на усреднении или линейной комбинации апостериорных вероятностей, которые оцениваются отдельными классификаторами [13,14], либо использовать алгоритмы нечетких правил (fuzzy rules) [15]. Развиваются также подходы, основанные на выделении в пространстве наблюдений локальных областей, в каждой из которых только один из частных классификаторов “компетентен” принимать решение [16,17].
Все эти работы имеют несомненный теоретический интерес и позволяют обосновать выбор той или иной схемы интеграции, если частные решения принимаются на основе формальных правил. В то же время довольно часто на практике эксперты принимают свои решения неформально, полагаясь на свой предшествующий опыт и интуицию.
Разумеется, в этих практически важных случаях также требуется обоснованный подход к интеграции частных решений экспертов. Например, какое окончательное решение должно быть принято, если в результате независимого обследования часть специалистов (экспертов) признала пациента здоровым, а другая часть – больным?
Можно привести и другие не менее актуальные примеры необходимости принятия коллективных решений в условиях ограниченной априорной информации о том, каким образом эксперты принимают свои частные решения.
В настоящей статье развивается один из возможных подходов к решению таких задач, предложенный в [18].
Постановка задачи.
Пусть некоторый объект Z может находиться в одном из М возможных состояний (классов) V1 ,...,VM с известными априорными вероятностями P(V1), ..., P(VM),
. Ясно, что если не располагать какой либо дополнительной информацией, то состояние Z всегда следует относить к классу, имеющему наибольшую априорную вероятность. В этом случае величина
P0 =1- max{P(V1),...,P(VM)}, (1)
определяет минимальную вероятность ошибочной классификации.
Предположим теперь, что имеется N экспертов (алгоритмов) A1,…, AN, которые независимо один от другого принимают решения δj о состоянии Z в виде индикаторных функций
δi = k, если Ai решает в пользу Vk, i =1,…,N, k = 1,…, M. (2)
Будем характеризовать “квалификации” экспертов условными вероятностями ошибочных решений P(A1/Vk),...,P(AN/Vk), (k=1,…,M), которые считаются известными для всех N экспертов на основании предыдущего опыта. При этом, естественно допустить, что
P(Ai/Vk) < P0 для всех i = 1,…, N, k=1,…, M (3)
Ставится задача на основе имеющейся априорной информации по частным решениям независимых экспертов сформировать коллективное решение D =D(δ1, …, δN) о принадлежности Z к одному из M возможных классов (рис. 1).
Модель коллективного решения. Легко видно, что в общем случае число возможных комбинаций частных решений равно
, причем только в M случаях эти решения будут согласованными (когда все эксперты принимают решения в пользу одного класса), а в остальных случаях решения противоречивы.
Пусть в результате обследования объекта получена некоторая комбинация S частных решений δ1, …, δN в форме (2). Обозначим Im - множества номеров экспертов, принявших решение в пользу m-го класса (m = 1,…,M). Очевидно, что Ii Ij = для любых i, j = 1,...,M и I1 ... IM ={1,...,N}.
Для минимизации средней вероятности ошибки коллективного решения D =D(δ1, …, δN) на множестве
возможных комбинаций частных решений будем для каждой фиксированной комбинации
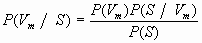
принимать окончательное решение в пользу того из классов, который имеет наибольшую апостериорную вероятность:
(4)
где
.
По определению условная вероятность P(S / Vm) есть ни что иное как вероятность того, что в ситуации, когда имеет место класс Vm , эксперты, номера которых принадлежат множеству Im, приняли правильные решения, а остальные ошиблись. Поскольку мы предполагаем, что решения экспертов независимы, то по формуле произведения вероятностей
. (5)
На основании условия (4) с учетом (5) заключаем, что в ситуации
окончательное (коллективное) решение следует принимать согласно правилу
. (6)
Для иллюстрации принятия коллективного решения по правилу (6) рассмотрим модельный пример.
Модельный пример.
Пусть некоторый объект может находиться в одном из трех классов, образующих полную группу случайных событий с априорными вероятностями P(V1) = 0.7, P(V2)=0.08 и P(V3) = 0.22. Состояние объекта оценивается 5 независимыми экспертами. Вероятности ошибок экспертов и возможная комбинация принятых ими частных решений представлены в таблице 1.
Таблица 1.
| Эксперт | Вероятности ошибок | Частные решения | |||
| P(Ai /V1) | P(Ai /V2) | P(Ai /V3) | i | ||
| A1 | 0,04 |
| 0,03 | 1 = 1 | |
| A2 | 0,01 | 0,03 | 0,02 | 2 = 3 | |
| A3 | 0,03 | 0,05 | 0,01 | 3 = 2 | |
| A4 | 0,02 | 0,02 | 0,06 | 4 = 2 | |
| A5 | 0,01 | 0,05 | 0,04 | 5 = 3 | |
Легко видно, что в данном случае частные решения экспертов противоречивы, причем І1={1}, І2={3,4}, І3={2,5}. Для принятия коллективного решения вычислим следующие величины
= 4,03·10-8,
= 1,12·10-6,
= 3,73·10-6.
Поскольку третья из найденных величин максимальна, то, на основании правила (6), принимаем окончательное решение в пользу класса V3.
Частный случай коллективного решения. Рассмотрим одну из типичных задач медицинской диагностики. Требуется отнести обследуемого пациента Z к одному из двух классов: V1 – болен, V2 – здоров на основании результатов двум диагностических тестов A1, A2. При этом будем считать известными априорные вероятности P(V1), P(V2), а эффективность каждого теста, как это принято в медицинской диагностике [19], характеризовать двумя показателями: чувствительностью Qi = 1- P(Ai /V1), где вероятность P(Ai /V1) ошибочного отнесения больного пациента к здоровому и специфичностью Wi = 1- P(Ai /V2), где вероятность P(Ai /V2) ошибочного отнесения здорового пациента к больному.
Ясно, что в результате тестирования возможны четыре комбинации частных решений:
S11: δ1 = 1, δ2 = 1;
S12: δ1 = 1, δ2 = 2;
S21: δ1 = 2, δ2 = 1;
S22: δ1 = 2, δ2 = 2.
Легко видно, что в ситуациях S12 и S21 частные решения противоречивы. Для принятия коллективного решения воспользуемся правилом (6). При этом в ситуации S12, когда A1 признал Z больным, а A2 - здоровым, окончательный диагноз следует ставить согласно схеме:
(7)
где λ = P(V2)/P(V1) – отношение априорных вероятностей здоровых и больных пациентов.
В ситуации же S21, когда A1 признал Z здоровым, а A2 – больным, окончательный диагноз следует ставить согласно схеме:
(8)
Заметим, что для принятия коллективного решения по правилам (6) –(8) требуется весьма ограниченная априорная информация, которая может быть получена на основании предыдущего опыта. При этом совершенно не требуется знать, как именно эксперты принимают частные решения – используя формальный или эвристический алгоритм, либо просто полагаясь на свою интуицию.
В то же время мы сделали одно важное допущение о том, что решения экспертов независимы, которое, естественно, должно быть обоснованно. На практике достаточно веским обоснованием такого допущения может служить знания о том, что частные решения принимаются по статистически независимым данным.
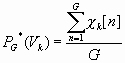
Оценка вероятностных характеристик. Вполне понятно, что при решении практических задач точные значения вероятностных характеристик, фигурирующих в правилах (6)-(8), чаще всего неизвестны. Однако при достаточном объеме наблюдений вероятности P(Vk) и P(Ai / Vk) могут быть оценены соответствующими частотами:
(9)
(10)
где Gk – число появлений k-го класса (k = 1,…M) в выборке из G наблюдений, а Eki – число ошибочных решений i-го эксперта (i = 1,…, N) при анализе ситуаций, когда объект Z принадлежит k-му классу.
Рассмотрим схему оценки частот (9),(10), которая удобна для практического применения и может быть положена в основу системы поддержки принятия коллективного решения. Предположим, что для каждого из G наблюдений известна точная принадлежность Z к одному из возможных классов, выраженная в виде указаний “учителя” y[1], y[2], … , y[G], где y[n]
. Запишем частоту появления k-го класса, оцененную согласно (9), в виде
(11)
Характеристики
Тип файла документ
Документы такого типа открываются такими программами, как Microsoft Office Word на компьютерах Windows, Apple Pages на компьютерах Mac, Open Office - бесплатная альтернатива на различных платформах, в том числе Linux. Наиболее простым и современным решением будут Google документы, так как открываются онлайн без скачивания прямо в браузере на любой платформе. Существуют российские качественные аналоги, например от Яндекса.
Будьте внимательны на мобильных устройствах, так как там используются упрощённый функционал даже в официальном приложении от Microsoft, поэтому для просмотра скачивайте PDF-версию. А если нужно редактировать файл, то используйте оригинальный файл.
Файлы такого типа обычно разбиты на страницы, а текст может быть форматированным (жирный, курсив, выбор шрифта, таблицы и т.п.), а также в него можно добавлять изображения. Формат идеально подходит для рефератов, докладов и РПЗ курсовых проектов, которые необходимо распечатать. Кстати перед печатью также сохраняйте файл в PDF, так как принтер может начудить со шрифтами.
















