referat (703920), страница 3
Текст из файла (страница 3)
7.4. Закупки — управление работами с субподрядчиками
Данная ОКП (табл. 6) определяет процессы, связанные с оценкой, выбором и организацией работ с поставщиками (в том числе и поставщиками решений). Здесь подразумеваются следующие принципы работы.
Таблица 6 - Данная ОКП определяет процессы, связанные с оценкой, выбором и организацией работ с поставщиками - Качественная характеристика уровня зрелости
| Качественная характеристика уровня зрелости | % |
| 0. Практики передачи работ субподрядчику нет | 0 |
| 1 . Существует разовая практика работы с субподрядчиками на договорной основе, партнерских отношений нет | 20 |
| 2. Имеется практика фиксирования выполненных работ субподрядчиком, дающая возможность оценивания | 40 |
| 3. Существует систематическая практика оценки (выгодно «сделать самим или заказать субподрядчикам»), идет формирование партнерских отношений с поставщиками | 60 |
| 4. Накапливаются формализованные знания (метрики) по качеству и срокам выполнения работ поставщиками; субподрядчики полностью интегрированы в процесс создания ПО | 80 |
| 5. СУЗ автоматически осуществляет контроль выполнения субподрядчиками работ, напоминая им об отклонениях в их деятельности; знания становятся доступными и субподрядчикам | 100 |
Субподрядчик рассматривается как партнер, с которым ведутся работы на долгосрочной основе. Если субподрядчик тебя подвел, не выполнив взятые на себя обязательства, виноват не он, а ты, так как выбрал его в качестве партнера, не просчитав все риски.
Данная ОКП определяет следующие цели:
1. Генеральный подрядчик должен выбирать только качественных субподрядчиков.
2. Генеральный подрядчик и субподрядчик должны согласовать друг с другом свои обязательства.
3. Генеральный подрядчик и субподрядчик должны поддерживать постоянную связь.
4. Генеральный подрядчик должен постоянно отслеживать реальные результаты деятельности субподрядчика и сравнивать их с его обязательствами.
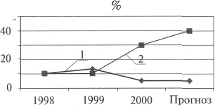
УИ в начале внедрения СММ находилось на первом уровне оценки зрелости данной ОКП (20%). В 1999 г. в УИ была внедрена система ведения заявок субподрядчикам (сначала на базе E-mail, затем на базе Интернет). Это позволило организовать коллективную работу в системе управления заявками и оценивать исполнительскую дисциплину субподрядчиков. В УИ уровень управления работами с субподрядчиками поднялся до 40%.
Уровень зрелости, %
Рис. 4. 1 - УИ; 2 - CIT
CIT в 1999 г. находилась на уровне 20% зрелости ОКП. С вводом в повседневную практику формирования заявок к субподрядчикам, а также
учета выполненных работ на базе E-mail, уровень зрелости данной ОКП оценивается в 30% (рис. 4).
7.5.3. Идентификация и прослеживаемость — обеспечение качества
Рекомендуется использовать данную ОКП наряду с методологией PSP (Personal Software Process — программное обеспечение ПК) [7], где львиная доля работ по контролю качества ПО возлагается на разработчика. По данным SEI [8] разработчик находит ошибки в 10 раз быстрее и в десять раз больше, чем тестировщик. Если выполняются действия по определению требований к ПО и по оценке критериев качества ПО, то работы по автономному тестированию (т.е. тестированию отдельных кусков ПО) считаются экономически невыгодными. Тестировщики осуществляют тестирование системы по принципу «черного ящика», т. е. осуществляют общесистемное тестирование.
Данная ОКП определяет следующие цели:
1) деятельность по обеспечению качества ПО должна планироваться;
2) должен обеспечиваться объективный контроль за строгим соответствием ПО и процессов принятым стандартам, процедурам и требованиям;
3) задействованные группы и конкретные работники должны информироваться о действиях по обеспечению качества и об их результатах;
4) вопросы несоответствия требованиям, которые невозможно разрешить в рамках проекта, должны решаться на высшем уровне компании.
УИ в начале внедрения СММ находилось выше нулевого уровня оценки зрелости данной ОКП (10%). В 1999 г. в УИ попытались внедрить учет дефектов с назначением ответственных за дефект. В реальной работе учет дефектов не использовался. Сейчас уровень обеспечения качества ПО снизился до 5%.
CIT в 1999 г. находилась на уровне 10% зрелости по данной ОКП. С вводом в повседневную практику
Уровень зрелости,
Рис. 5. 1" УИ; 2 - CIT
учета дефектов с помощью Prose уровень оценивается в 30%. Наблюдается тенденция к его повышению (рис. 5, табл. 7).
Таблица 7 - Качественная характеристика уровня зрелости контроля качества
| Качественная характеристика уровня зрелости | % |
| 0. Контроля качества ПО нет, есть повседневная практика — «лучшим контролером ПО является пользователь» | 0 |
| 1. Существует практика «полицейского контроля», с определением виновного и его «материальным наказанием» | 20 |
| 2. Существует практика тотального учета дефектов в разрезе выполненных работ и исполнителей; за выявленный дефект исполнитель не наказывается, идет стимулирование раннего обнаружения дефектов | 40 |
| 3. Существует практика регулярного измерения уровня качества ПО и планирование повышения качества | 60 |
| 4. Накапливаются формализованные знания (метрики) по причинам, вызывающим дефекты, что позволяет исполнителям самостоятельно и своевременно выявлять и исправлять дефекты | 80 |
| 5. СУЗ позволяет планировать предупреждающие действия по исключению дефектов. | 100 |
7.5.5. Консервация продукции — управление конфигурацией
Данная ОКП направлена на исключение из практики разработки ПО ситуаций, когда в момент сдачи проекта заказчику (или исправлений при сопровождении) никто из работников организации не может с уверенностью сказать, какие версии программных модулей, документации, системных библиотек являются окончательными.
При использовании субподрядчиков (когда разработка ПО осуществляется на разных площадках) для управления конфигурациями используется среда разработки, способствующая синхронизации работы. Модули, разрабатываемые на одной площадке, после закрытия в масштабе реального времени становятся доступными для использования на всех прочих площадках, независимо от степени удаления. Эта задача решается за счет перекрестных обновлений конфигураций ПО между площадками, ведущими параллельную разработку.
В ОКП «Управление конфигурацией» входят процессы, связанные с подготовкой и отсылкой версий конечным пользователям. Если последних рассматривать как партнеров, участвующих в разработке ПО и вносящих свои замечания, то обновления версий могут быть достаточно частыми. В данном случае система «Управление конфигурациями» должна стоять у конечного пользователя и быть связана с системой учета требований (схема 3).
Расширение системы управления конфигурациями на пользователя уменьшает длительность цикла исполнения заявок, повышает гибкость и однозначность понимания, чего хочет заказчик. Данная «связка» ставит более высокие требования к процессам по управлению качеством ПО.
Схема 3 - система «Управление конфигурациями»
Уровень зрелости, %
Данная ОКП ставит следующие цели:
1) деятельность по управлению конфигурациями должна планироваться;
2) находящиеся в работе ПО должны быть идентифицируемы, управляемы и доступны;
3) изменения в ПО, находящихся в работе, должны контролироваться;
4) задействованные группы и конкретные работники должны информироваться о статусе и содержании основных направлений разработки ПО.
Уровни оценки зрелости ОКП «Управление конфигурацией» даны в табл. 8.
УИ находилось на уровне 10%. В начале 1999 г. в УИ было внедрено поддержание эталонной версии, в конце 1999 г. — среда коллективной разработки «Roundtable». Но данная система не охватывала всех автономных задач, т.е. часть исполнителей в УИ находится на уровне зрелости ОКП, равном 60%, а другая — 0%. Интегральный показатель уровня зрелости ОКП - 30%.
CIT в 1999 г. находилась на уровне 20%. С вводом в повседневную практику среды коллективной разработки «Roundtable» и интеграции ее с Prose уровень зрелости оценивается в 70% (рис. 6).
Таблица 8 - Уровни оценки зрелости ОКП «Управление конфигурацией»
| Качественная характеристика уровня зрелости | % |
| 0. Нет практики ведения конфигураций, каждый исполнитель на своем компьютере имеет версии исходных файлов, и он же обновляет их у конечных пользователей | 0 |
| 1. Существует практика эталонной версии, с ответственным за сборку исходных файлов от всех исполнителей | 20 |
| 2. Существует технология ведения репозитария ПО, куда разработчики помещают последние версии исходных файлов | 40 |
| 3. Существует практика использование технологий коллективной среды разработки, где автоматически подготавливаются версии конфигураций ПО | 60 |
| 4. Накапливаются формализованные знания (метрики) по стилю и методам разработки, формируются шаблоны и сценарии тестирования, проводится регрессивное тестирование | 80 |
| 5. СУЗ автоматически оценивает программный модуль и формирует шаблоны и сценарии тестирования, автоматически синхронизирует версии на разных площадках разработки | 100 |
Рис. 6. 1-УИ; 2-CIT
Основные выводы
Зрелость процессов работы над ПО в УИ соответствует первому (начальному) уровню СММ. Есть выбросы в сторону второго уровня СММ только по двум ОКП: «Управление работ с субподрядчиками» и «Управление конфигурациями». Практика неустойчива, и УИ может в ближайшие полгода «откатиться» назад. Виден явный провал в ОКП «Обеспечение качества ПО». То состояние, в котором находится сейчас УИ, означает, что внедрение СММ не состоялось (хотя задача минимум в УИ была решена). Выделяются три основные причины этого.
I. Руководство предприятия декларативно поддерживало внедрение СММ в УИ; в своей повседневной практике не использовало методы СММ. Сработало правило: Реальная реорганизация может проводиться только сверху.
II. При внедрении СММ в УИ была выбрана сертификационная схема, т. е. следующая последовательность: «разработка комплекта документации» -> «нормирование» -> «внедрение информационных технологий» -» «начало работы персонала по СММ». Комплект документации был принят в УИ в качестве стандарта «де-юре», «де-факто» - работа велась по-старому. Таким образом, проявился принцип «двойных стандартов» . Результатом стало то, что в процессе всех аудиторских проверок (которых было очень много в рамках решения проблемы 2000 г.), руководство УИ показывало проверяющим данные документы, — информационный аудит проходил «на ура». С практической точки зрения, данные документы стоят меньше, чем бумага, на которой они напечатаны.
III. Так как средний возраст персонала УИ был больше 40 лет, обучение сотрудников шло медленно. При внедрении модели СММ применялись жесткие методы мотивации персонала. Пока высшее руководство поддерживало внедрение, темпы были приемлемы, но затем произошел откат. Причем по некоторым ОКП откатились даже ниже уровня, с которого начиналось внедрение СММ.
Исходя из оценки зрелости ОКП по итогам внедрения СММ, CIT (схема 4) ближе ко второму уровню СММ. Наблюдается отставание только по двум ОКП: «Управление работами с субподрядчиками» (связано с тем, что привлечение субподрядчиков было эпизодическим) и «Обеспечение качества ПО»















