64022 (695528), страница 2
Текст из файла (страница 2)
(12)
(13)
Формули (12) і (13) являють неперіодичний сигнал
, заданий на нескінченному інтервалі, відповідно в частотній і часовій областях. Функція
характеризує спектральний склад сигналу
і називається спектральною щільністю сигналу
. Така назва викликана тим, що для неперіодичного сигналу частотний інтервал між суміжними гармоніками прагне до нуля, і перетворення (13) є розкладанням сигналу на суму нескінченної кількості гармонік, амплітуди яких нескінченно малі.
Вираз (12) дозволяє перейти від спектральної щільності до сигналу, а вираз (13) – від сигналу до спектральної щільності. Для вирішення різних задач операції над періодичними сигналами часто замінюють операціями над частотними спектрами. Це дає можливість досліджувати властивості сигналів не тільки в часовій області, аналізуючи безпосередньо сигнал
, але і в частотній, оперуючи спектральною щільністю.
4. Імпульсна і частотна характеристики безперервної системи
Імпульсною характеристикою системи називається функція h(x), що являє реакцію системи на вхідний сигнал, заданий дельта-функцією:
(14)
Знання h(х) дозволяє вирішити будь-яку задачу про проходження детермінованого сигналу через лінійну систему.
Для дослідження лінійних систем у частотній області використовують частотну характеристику H(j). Частотна H(j) і імпульсна h(х) характеристики лінійної системи пов’язані між собою парою перетворень Фур’є:
(15)
(16)
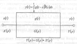
Частотна характеристика має просту інтерпретацію – вона являє коефіцієнт передачі гармонійного сигналу з частотою із входу лінійної системи на її вихід (рис.9).
Рисунок 9 – Система в частотній області
У загальному випадку H(j) має комплексні значення і пов'язує спектральні щільності вхідного і вихідного сигналів простою залежністю:
. (17)
Відповідно до теореми згортки перетворення Фур'є від двох згорнутих функцій дорівнює добуткові їхніх фур'є-перетворень:
(18)
Це перемножування в частотній області відповідає фільтрації вхідної функції передатною функцією. Поняття фільтрації в техніці обробки зображень часто застосовується і в просторовій області.
Таким чином, система, поводження якої описане в часовій (просторовій) області, може бути описана і в частотній області (рис. 10).
Рисунок 10 – Система в частотно-просторовій і просторовій областях
Перехід до дискретних систем. Під час обробки зображень функція
піддається дискретизації шляхом формування послідовності дискретних відліків
. Тому необхідно ввести поняття дискретної системи. У цьому випадку результат перетворень також дискретний, як в просторовій, так і в частотно-просторовій області.
Перехід до дискретного опису може бути зроблений у такий спосіб:
1. Покладемо, що
дискретизується растром, при цьому
— цілочисельні перемінні
, що описують дискретні координати в області зображення.
-
Подамо процес дискретизації символічно:
(19)
Введемо
— цілочисельні перемінні, індекси дискретних спектральних компонентів у частотно-просторовій області;
-
Введене раніше поняття перетворення Фур'є можна поширити і на дискретні системи. Тоді дискретне перетворення Фур'є (ДПФ) записується як
(20)
Зворотне ДПФ:
(21)
Цю відповідність можна позначити символічно:
(22)
Размещено на Allbest.ru
















