63686 (695425)
Текст из файла
Омский Государственный Колледж Управления и Профессиональных Технологий
Реферат
на тему:
Высокочастотные выпрямители
Выполнил: студент группы ТО-31
Панечкин А.Е.
Омск, 2010
Оглавление
-
Выпрямители. Классификация
-
Назначение и применение
-
Характеристики
-
Высокочастотные выпрямители
-
Пример высокочастотного выпрямителя
-
Литература
1. Выпрямители. Назначение и применение
Выпрямитель электрического тока — преобразователь электрической энергии; механическое, электровакуумное, полупроводниковое или другое устройство, предназначенное для преобразования переменного входного электрического тока в постоянный выходной электрический ток.
Большинство выпрямителей создаёт не постоянные, а пульсирующие однонаправленные напряжение и ток, для сглаживания пульсаций которых применяют фильтры.
Выпрямители классифицируют по следующим признакам:
-
по виду переключателя выпрямляемого тока:
-
механические синхронные с щёточно-коллекторным коммутатором тока (применяются в коллекторных генераторах постоянного тока, в механических выпрямителях при производстве алюминия)
-
механические синхронные с контактным переключателем (выпрямителем) тока
-
с электронной управляемой коммутацией тока (например, тиристорные);
-
с электронной пассивной коммутацией тока (например, диодные);
-
по мощности:
-
силовые выпрямители (в силовой электронике, в энергетике)
-
выпрямители сигналов (в радиоэлектронике и автоматике)
-
по степени использования полупериодов переменного напряжения:
-
однополупериодные — пропускают в нагрузку только одну полуволну. Преимущество — минимум вентильных элементов. Недостаток — нагрузка трансформатора существенно зависит от фазы, из-за чего возникают дополнительные гармоники на выводах трансформатора.
-
двухполупериодные — пропускают в нагрузку обе полуволны.
-
неполноволновые — не полностью используют синусоидальные полуволны.
-
полноволновые — полностью используют синусоидальные полуволны.
-
по схеме выпрямления — мостовые, с умножением напряжения, трансформаторные, с гальванической развязкой, бестрансформаторные и т. д.
-
по количеству используемых фаз — однофазные, двухфазные, трёхфазные и многофазные
-
по типу электронного вентиля — полупроводниковые диодные, полупроводниковые тиристорные, ламповые диодные (кенотронные), газотронные, игнитронные, электрохимические и т. д.
-
по управляемости — неуправляемые (диодные), управляемые (тиристорные).
-
по количеству каналов — одноканальные, многоканальные.
-
по величине выпрямленного напряжения — низковольтные (до 100В), средневольтовые (от 100 до 1000В), высоковольтные (свыше 1000В).
-
по назначению — сварочный, для питания микроэлектронной схемы, для питания ламповых анодных цепей, для гальваники и пр.
-
по степени полноты мостов — полномостовые, полумостовые, четвертьмостовые.
-
по наличию устройств стабилизации — стабилизированные, нестабилизированные.
-
по управлению выходными параметрами — регулируемые, нерегулируемые.
-
по индикации выходных параметров — без индикации, с индикацией (аналоговой, цифровой).
-
по способу соединения — параллельные, последовательные, параллельно-последовательные.
-
по способу объединения — раздельные, объединённые звёздами, объединённые кольцами.
-
по частоте выпрямляемого тока — низкочастотные, среднечастотные, высокочастотные.
-
Назначение и применение
Выпрямители обычно используются там, где нужно преобразовать переменный ток в постоянный ток.
Применение выпрямителей:
-
Блоки питания аппаратуры
-
Блоки питания промышленной и бытовой радио- и электроаппаратуры (в т.ч. так называемые адаптеры (англ. AC-DC adaptor)).
-
Блоки питания бортовой радиоэлектронной аппаратуры транспортных средств.
-
Выпрямители электросиловых установок
-
Выпрямители питания главных двигателей постоянного тока автономных транспортных средств и буровых станков.
-
Преобразователи бортового электроснабжения постоянного тока автономных транспортных средств: автотракторной, железнодорожной, водной, авиационной и другой техники.
-
Сварочные аппараты
Сюда относятся выпрямительные установки для:
-
железнодорожной тяги
-
городского электротранспорта
-
электролиза (производство алюминия, хлора, едкого натра и др.)
-
питания приводов прокатных станов
-
возбуждения генераторов электростанций
-
Вентильные блоки преобразовательных подстанций систем энергоснабжения
-
Для питания главных двигателей постоянного тока прокатных станов, кранов и другой техники
-
Энергоснабжение заводов осуществляется электросетью переменного тока, но для приводов прокатных станов и других агрегатов выгоднее использовать двигатели постоянного тока по той же причине, что и для двигателей транспортных средств.
-
Для гальванических ванн (электролизёров) для получения цветных металлов и стали, нанесения металлических покрытий и гальванопластики.
-
Установки электростатической очистки промышленных газов (электростатический фильтр)
-
Установки очистки и обессоливания воды
-
Для электроснабжения контактных сетей электротранспорта постоянного тока (трамвай, троллейбус, электровоз, метро)
-
Для несинхронной связи энергосистем переменного тока
-
Для дальней передачи электроэнергии постоянным током
-
Выпрямители высокочастотных колебаний
В составе ректенн:
-
в перспективных системах сбора энергии окружающих шумовых электромагнитных сигналов.
-
в перспективных системах беспроводной передачи электроэнергии.
-
Характеристики
Характеристики выпрямителей:
-
Номинальное выходное напряжение постоянного тока и допустимый диапазон его изменения;
-
Номинальный ток нагрузки;
-
Диапазон эффективного входного напряжения переменного тока (например 220 В ± 10%);
-
Допустимая выходная пульсация, её амплитудно-частотные характеристики;
-
Нагрузочная характеристика.
-
Эквивалентное внутреннее комплексное (в первом приближении активное) сопротивление.
-
Коэффициент использования габаритной мощности трансформатора.
-
Высокочастотные выпрямители
Классическим решением проблемы улучшения гармонического состава потребляемого тока может служить применение входных фильтров. Однако, так как частота питающей сети достаточно мала, массогабаритные показатели фильтров будут большими. Для их снижения необходимо увеличить рабочую частоту, для чего в схему вводят силовой ключ (S), управляемый по определенному закону (рис. 1). В результате дроссель фильтра может выполнять две функции: фильтровать выходное напряжение и обеспечивать необходимую форму потребляемого тока. Когда ключ закрыт, энергия передается в нагрузку, и при этом дроссель выполняет функцию фильтра. Когда же ключ открыт, сеть работает на дроссель. Поскольку время открытого состояния достаточно мало, ток через дроссель изменяется незначительно. Если при этом обеспечить определенный закон управления ключом, то ток через дроссель можно максимально приблизить к форме сетевого напряжения. Такой выпрямитель является повышающим. Силовой ключ должен быть двунаправленным.
Рис. 1 Выпрямитель с ККМ с входным дросселем
Наиболее широкое применение нашли схемы выпрямителя в сочетании с DC/DC-преобразователем, где преобразователь работает как корректор мощности. При этом наибольшее распространение получил повышающий преобразователь. Схема такого выпрямителя с обычным однонаправленным ключом приведена на рис.2. Принцип его работы аналогичен действию выпрямителя, показанного на рис. 1.
Рис. 2 Выпрямитель с DC/DC преобразователем
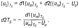
Вывод основных соотношений для режима непрерывного тока в дросселе. Форма тока идеального выпрямителя должна быть такой же, как у входного напряжения. Следовательно, необходимо, чтобы в любой момент времени потребляемый ток соответствовал выражению:
(1)
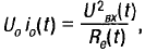
где Rе - эквивалентное сопротивление выпрямителя. Мощность, которая передается нагрузке, т.е. мощность, "выделяемая" на Re, равна
где {Rе} - среднее значение.
Эта мощность регулируется путем изменения Re. Идеальный выпрямитель не должен содержать внутренних источников потерь и аккумуляторов энергии. Таким образом, мгновенная мощность определяется как
(2)
Для идеального выпрямителя
где Uo, I0 - соответственно выходное напряжение и ток нагрузки. Если нагрузка имеет резистивный характер, то
(3)
Любой преобразователь принято характеризовать коэффициентом передачи М, который зависит от коэффициента заполнения импульсов. Для выпрямителя с ККМ в качестве коэффициента передачи берется коэффициент передачи DC/DC-преобразователя. Таким образом, если входное напряжение составляет uвх(t)=Uвхsin(ωt), а напряжение после мостового выпрямителя –
(4)
Из этого выражения следует, чтобы избежать искажений потребляемого тока около пересечения входным напряжением нуля, необходимо, чтобы коэффициент M(t) мог достигать значения бесконечности.
Для повышающего преобразователя в составе выпрямителя с ККМ, работающего в режиме непрерывного тока дросселя, имеет место соотношение:
(5)
где d(t) - коэффициент заполнения импульсов для силового ключа.
Поэтому
(6)
Пульсации тока дросселя (потребляемого тока) в течение периода коммутации силового ключа (Ts) составляют
(7)
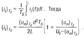
Среднее значение относительно Ts тока дросселя равно
(8)
В любой момент времени должно выполняться условие режима непрерывного тока в дросселе:
(9)
Используя выражения (7) и (8), получим: d(t)<2L/Re·Ts
Тогда, подставив выражение для d{t) в (6), получим:
(10)
Вывод основных соотношений для режима разрывного тока в дросселе.
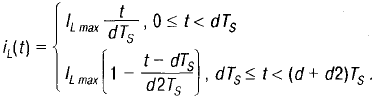
Рассмотрим работу выпрямителя в режиме разрывного тока в дросселе, который имеет место, когда um(t) близко к нулю. На рис.3 представлена диаграмма тока дросселя в этом режиме.
Рис. 3 Диаграмма тока дросселя в режиме разрывного тока
Согласно равенству нулю вольт-секундного баланса напряжения на дросселе относительно периода Ts длительность интервала d2Ts составляет
(11)
При этом необходимо учесть, что d1 = d. Максимальный ток дросселя определяется выражением
(12)
Найдем средний (относительно Ts) ток дросселя. В течение каждого интервала времени его величина определяется выражениями
Среднее значение тока относительно периода Ts может быть представлено как
(13)
определим регулировочную характеристику в режиме разрывного тока в дросселе. Согласно выражению (3), которое имеет место в любом режиме тока в дросселе,
(14)
Так как Re={Um}Ts/{iL}Ts
(15)
Подставив это выражение в (13), получим:
(16)
Найдем условие, при котором происходит переход из режима непрерывного тока в режим разрывного тока. Подставив в условие (9) выражение для пульсаций тока (7) и регулировочную характеристику (16), получим:
С учетом того, что 1-{Um}Ts/U0=d и выражения (15) это условие можно записать в следующем виде:
(17)
Характеристики
Тип файла документ
Документы такого типа открываются такими программами, как Microsoft Office Word на компьютерах Windows, Apple Pages на компьютерах Mac, Open Office - бесплатная альтернатива на различных платформах, в том числе Linux. Наиболее простым и современным решением будут Google документы, так как открываются онлайн без скачивания прямо в браузере на любой платформе. Существуют российские качественные аналоги, например от Яндекса.
Будьте внимательны на мобильных устройствах, так как там используются упрощённый функционал даже в официальном приложении от Microsoft, поэтому для просмотра скачивайте PDF-версию. А если нужно редактировать файл, то используйте оригинальный файл.
Файлы такого типа обычно разбиты на страницы, а текст может быть форматированным (жирный, курсив, выбор шрифта, таблицы и т.п.), а также в него можно добавлять изображения. Формат идеально подходит для рефератов, докладов и РПЗ курсовых проектов, которые необходимо распечатать. Кстати перед печатью также сохраняйте файл в PDF, так как принтер может начудить со шрифтами.















