63686 (695425), страница 2
Текст из файла (страница 2)
Анализ данного условия показывает, что переход из режима непрерывного тока в разрывный зависит только от d при неизменных параметрах схемы, таких как выходное напряжение и L.
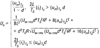
Окончательная система выражений для регулировочной характеристики выпрямителя с ККМ имеет вид:
(18)
Где
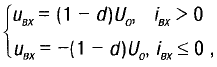
Аналогично можно получить систему выражений для коэффициента заполнения;
(19)
График зависимости d от времени в течение полупериода сетевого напряжения представлен на рис. 4а. Зависимость условия от времени и график входного напряжения приведены на рис. 4б.
Рис. 4.а График зависимости d от времени
Рис. 4.б График входного напряжения
Режим разрывного тока характерен при входных напряжениях, близких к нулю. При этом коэффициент заполнения импульсов должен быть близок к единице.
Реализация алгоритма управления высокочастотным выпрямителем с ККМ без обратной связи.
Один из важных этапов проектирования высокочастотного выпрямителя - реализация алгоритма управления силовым ключом.
Согласно выражению (1) im(t)~Uвх(t), что соответствует {iL(t)}Ts~{Um(t)}Ts, где коэффициент пропорциональности - Re.
Если на выпрямитель не возлагается задача стабилизации выходного напряжения, то Re - постоянная величина. Тогда для реализации алгоритма управления (рис.5) необходимо сравнить ток дросселя и выпрямленное мостовым выпрямителем напряжение Um, умноженное на постоянный коэффициент Кv. Полученное таким образом напряжение ошибки Ue подается на ШИМ-контроллер. При этом в качестве информации о токе дросселя используется сигнал с датчика тока с сопротивлением Rs. Коэффициент Kv характеризует параметр Rе. Рассмотрим зависимость Re и Kv. Согласно (1), iL(t)=Um(t)/Re.
Так как Re=Um(t)/iL(t) и Uref(t)=Kvum(t),
Рис. 5 Схема реализации алгоритма управления выпрямителем без стабилизации выходного напряжения
в установившемся режиме сигнал ошибки близок к нулю, следовательно, Uref(t)= iL(t)Rs
Re=Rs/Kv (20)
Если учесть (3), то можно определить Kv (при номинальных значениях выходного тока и напряжения). Однако в данном алгоритме не учитывается изменение выходного напряжения. Изменение тока нагрузки в неявной форме учитывается током iL.
Реализация алгоритма управления высокочастотным выпрямителем с ККМ с обратной связью.
Для того, чтобы учитывать изменение выходного напряжения, необходимо ввести дополнительный сигнал исоп. Так как в формировании коэффициента заполнения участвует пилообразное напряжение и напряжение, пропорциональное модулю sin(ωt), то простое суммирование сигнала, характеризующего Re, неприемлемо. Стандартным решением этой проблемы является перемножение напряжения Um и сигнала, характеризующего изменяющееся Re. Схема реализации такого алгоритма представлена на рис.6.
Аналогично выражению (20) можно определить
(21)
где Re(t)=U2вх rms/pn(t), а pn(t)-изменяющаяся мощность нагрузки.
Рис. 6 Схема реализации алгоритма управления высокочастотным выпрямителем с ККМ с обратной связью
Рис. 7 Функциональная схема выпрямителя с двумя контурами обратной связи
Алгоритм управления с умножителем и интегратором
В большинстве случаев требуется стабилизация выходного напряжения. Она необходима для выпрямителя как в составе системы распределённого питания, так и отдельного устройства. Для обеспечения стабилизации вводится второй контур обратной связи по выходному напряжению. Тогда в качестве сигнала Ucon выступает сигнал с усилителя ошибки по выходному напряжению. Функциональная схема выпрямителя с двумя контурами обратной связи показана на рис.7.
При данном алгоритме управления используется умножитель напряжения, что усложняет систему управления. Однако возможна и более простая реализация двухконтурной системы управления. Она основана на следующих соотношениях. Допустим, выпрямитель работает в режиме непрерывного тока, тогда, согласно (6),
где iвх - потребляемый ток.
Согласно (1), (1-d)U0sign(iвх)=Re·iвх
Если использовать датчик тока с сопротивлением Rs, то:
Для малых приращений можно заменить Uo на Ue - сигнал с усилителя ошибки:
(22)
Такой алгоритм может быть легко реализован с помощью цифровых или аналоговых средств. Правая часть выражения получается с датчика тока, который может быть как резистивного типа, так и токовым трансформатором. Левая часть выражения получается путем интегрирования сигнала с усилителя ошибки по периоду коммутации для получения пилообразного напряжения Ue·t/Ts.
Другое достоинство данного алгоритма - отсутствие зависимости от входного напряжения. Схема реализации данного алгоритма управления приведена на рис.8.
Рис. 8 Схема реализации алгоритма управления с умножителем и интегратором
Анализ возможных вариантов однофазных корректоров коэффициента мощности показал, что наиболее предпочтительны два варианта цепи обратной связи: с умножением и интегрированием. Вариант управления с умножением обеспечивает простую реализацию двухконтурной системы управления и может быть создан на основе цифровых или аналоговых средств. Вариант управления с интегрированием допускает простую реализацию одноконтурной системы управления.
-
Пример высокочастотного выпрямителя 07/06/2004. Высоковольтные высокочастотные мостовые выпрямители из карбидокремниевых диодов Шоттки FBS10-06SC и FBS16-06SC фирмы IXYS.
Проблема обратного восстановления диодов высоковольтных выпрямителей является очень актуальной, особенно при двуполупериодном выпрямлении сигналов с прямоугольной формой токов и напряжений. Ярким примером являются мостовые выпрямители, работающие на индуктивную нагрузку с непрерывным током - в них на время обратного восстановления при быстрой смене полярности напряжения все четыре диода оказываются в проводящем состоянии, что приводит к большим потерям, как в самих диодах, так и в трансформаторе. Практически кардинально решить проблемы обратного восстановления позволяет использование диодов Шотти на основе карбида кремния (SiC). В отличие от pn диодов, выключение pin диодов Шоттки не сопровождается процессом рассасывания заряда в n-области и ток обратного восстановления отсутствует. Существует лишь незначительный ток заряда емкости перехода. Карбид-кремниевые диоды, входящие в состав мостовых выпрямителей FBS10-06SC и FBS16-06SC, обладают уникально малыми емкостями обратно смещённых переходов, что делает их применимыми для выпрямления сигналов с частотой до единиц мегагерц даже в жестком режиме коммутации. Замена UltraFast выпрямительных диодов на аналогичные по току и напряжению карбид-кремниевые диоды Шотти позволяет снизить динамические потери в выпрямителе до 70%.
Мостовые выпрямители упакованы в высокоэффективные корпуса с изолированным теплопроводящим основанием ISOPLUS i4-PAC и малым тепловым сопротивлением.
Электрические характеристики приборов приведены в таблице.
| Наименование | Корпус | Uобр макс, В | Iпр, А | Uпр, В | Собр, пФ |
| FBS10-06SC | ISOPLUS i4 | 600 | 6,6(90°C) | 1,7 | 9 |
| FBS16-06SC | ISOPLUS i4 | 600 | 11(90°C) | 1,5 | 21 |
На рисунке показана принципиальная схема выпрямителей и внешний вид корпуса.
Литература
1. http://ru.wikipedia.org/wiki/Выпрямитель
2. http://www.terraelectronica.ru/print.php?from=1&ID=246
3. http://www.radioradar.net/articles/scientific_technical/kkm.html (Дата публикации: 28.04.2004)















