147144 (691774), страница 7
Текст из файла (страница 7)
де /лп - коефіцієнт тертя в парі носик тягового електродвигуна - траверсу підвіски. Бічна хитавиця i-ї рами вагона
(18)
Нижче приведені рівняння коливань колісно-моторного блоку стосовно першої колісної пари.
Повздовжні коливання колісно-моторного блоку
(19)
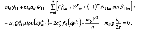
Поперечні коливання колісно-моторного блоку
(20)
де тб - маса колісно-моторного блоку; тд - маса тягового двигуна. Вертикальні коливання колісно-моторного блоку
(21)
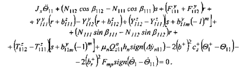
де Рст - статичне навантаження від колісної пари на рейки. Виляння колісний-моторного блоку
де а - відстань від осі колеса до центру мас колісний-моторного блоку.
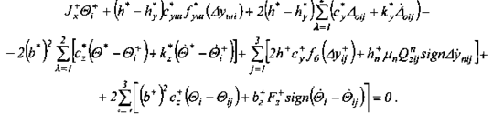
Поворот лівого колеса колісної пари
де J j - момент інерції лівого колеса з частиною осі і центром зубчатого колеса тягового редуктора;
ск - крутильна (кутова) жорсткість ділянки осі між зубчатим колесом і правим колесом колісної пари;
Мв - нелінійний пружний момент, що діє при відносному повороті лівого колеса і вінця зубчатого колеса. Поворот правого колеса колісної пари
(25)
Поворот вінця зубчатого колеса
(26).
Висновки
1. Встановлення оптимальної твердості поверхні катання колеса є складним завданням, вирішення якого повинне здійснюватися системно, з обліком, різних параметрів.
2. Твердість поверхні катання коліс в даний час обмежена величиною .
3. Напруга локалізована в межах малої області колеса і рейки. Розмір області порівняємо з розміром плями контакту.
4. Повздовжні зусилля, що виникають при різних режимах гальмування, є одним з основних показників, що враховуються в тягових розрахунках і розрахунках на міцність потягів.
5. Розроблена і підтверджена практикою експлуатації методика для оцінки повздовжніх динамічних зусиль і гальмівних шляхів у вантажних потягах і показаний вплив характеристик гальм на динаміку потягу.
6. Математична модель руху поїзда є необхідною і невід’ємною часткою розвитку сучасної транспортної системи.
Література
-
Лисицын А.Л., Мугинштейн Л.А., Терещенко В.П. Поезда повышенного веса и длины. Опыт, проблемы, возможности // Железнодорожный
-
П. Динамика торможения тяжеловесных поездов. М.: Транспорт, 1977. 151 с.
-
Ступин Д.А., Беляев В.И. Разработка российского эластомерного поглощающего аппарата для автосцепного устройства грузовых вагонов // Вестник ВНИИЖТ. 1998. № 6. С. 29...31.
-
Исследование динамики поезда с гидрогазовыми поглощающими аппаратами ГА-500 / С.В. Вершинский, П.Т. Гребенюк, Г.В. Костин, А.Д. Кочнов, Ю.М. Черкашин / Сб. науч. тр. ВНИИЖТ. Вып. 649. М.: Транспорт, 1982. С. 49...65.
-
Баранов Л.А. Потенциальная оценка пропускной способности железнодорожной линии по системам обеспечения безопасности // JYЖЕЛ: «The 7th International scientific conference of railway experts». Yugoslavia, Vrnjacka Banja: 2000. Р. 43...49.
-
Расчет и оптимизация координатного сближения поездов метрополитена / Л.А. Баранов, А.А. Моисеев, В.М. Абрамов, В.Н. Полоцкий // Вестник ВНИИЖТ. 1992. № 6. С. 24...28.
-
Шур Е.А. К вопросу об оптимальном соотношении твердости рельсов и колес //Современные проблемы взаимодействия подвижного состава и пути: Материалы научно-практической конференции/ ВНИИЖТ. – М., 2003. с. 87 – 93.
-
Бартенева Л.И. Технология лубрикации боковой поверхности рельсов передвижными рельсосмазывателями – комплексное решение проблемы износа в контакте гребень колеса – рельс //Современные проблемы взаимодействия подвижного состава и пути: Материалы научно-практической конференции/ ВНИИЖТ. – М., 2003. с. 114 – 122.















