147144 (691774), страница 4
Текст из файла (страница 4)
Таким чином, встановлення оптимальної твердості поверхні катання колеса є складним завданням, рішення якого повинне здійснюватися системно з обліком, різних параметрів, а величина твердості поверхні катання коліс на сьогоднішній час обмежена величиною
.
Розробка ефективних методів зниження ступеня зносу залежить від наявності методик дослідження, оцінки параметрів контактної взаємодії пари “колесо – рейка” за допомогою чисельних методів.
Завдання контакту кочення двох пружних тіл, що мають однакові характеристики пружності, як для колеса і рейки, може бути представлене роздільно у вигляді нормального і тангенціального завдань. Мета першого завдання полягає у визначенні розміру і форми площадки контакту, а також розподіли нормальної контактної напруги. Результати вирішення нормальної задачі використовуються для знаходження рішення тангенціальною, такою, що полягає в знаходженні розподілу дотичної напруги і моменту в зонах зчеплення і прослизання контактної площадки.
Г. Герц дав перше надійне математичне рішення нормальної задачі. Відстань між недеформованими тілами може бути знайдена геометрично, якщо відомі радіуси кривизни тіл в точці контакту. Пружні властивості колеса і рейки, що описуються коефіцієнтом Пуассона
і модулем пружності, вважаються однаковими. Якщо тіла навантажені нормальною силою, з'являється зона контакту еліптичної форми з великою напіввіссю у напрямі подовжньої осі рейки представленою на Рис.6.
Рис.6 - Розподіл нормальної герцевської напруги на площадці контакту
Максимальна контактна напруга
може бути розрахована по формулі:
(1)
де
еквівалентний радіус, залежний від характерних радіусів взаємодіючих тіл (колеса і рейка) в місці контакту.
Таким чином, нормальна напруга на поверхнях катання рейки і колеса залежить від навантаження від колеса на рейку, радіусів поверхонь катання колеса і рейки, властивостей взаємодіючих матеріалів.
Слід мати на увазі, що контактна теорія Герца справедлива при наступних допущеннях:
контактуючі поверхні однорідні і ізотропні;
сили тертя в зоні контакту не діють;
розмір контактної площадки малий в порівнянні з розмірами контактуючих тіл і характерними радіусами кривизни недеформованих поверхонь;
для контактного завдання використано вирішення лінійного пружного напівпростору;
контактуючі поверхні гладкі.
При русі екіпажу положення колісної пари по відношенню до рейок істотно міняється, приводячи до виникнення різних поєднань контактних зон колеса і рейки.
Навіть за умови постійного осьового навантаження нормальна напруга істотно мінятиметься внаслідок відмінності в радіусах кривизни контактуючих поверхонь цих зон.
Якщо в області контакту має місце один радіус кривизни поверхні, можна використовувати рішення Герца. Якщо в області контакту є два або декілька радіусів кривизни, наприклад
і
(Рис.7.), рішення Герца несправедливе, і для визначення майданчика контакту слід використовувати негерцівське рішення. Це особливо важливо при різноманітних поєднаннях зношених профілів колеса і рейки.
При знаходженні нормальної контактної напруги для неконформного негерцівського контакту використовуються різні методи і програми. Зокрема, повне розв’язання негерцевскої задачі може бути знайдене за допомогою програми CONTACT [6]. Проте через те, що вирішення задачі за допомогою цієї програми вимагає великого часу, запропоновані різні варіанти наближеного розв’язання негерцівської задачі. Наприклад, з використанням методу апроксимації негерцівській геометрії еліпсами отримані результати, в достатній мірі що узгоджуються з точним рішенням (Рис.7.) [7].
Інший підхід, що використовується для знаходження контактної напруги між зношеним колесом і рейкою, полягає в моделюванні контактуючих тіл з використанням пружної підстави, при якій деформація поверхонь пропорційна нормальній контактній напрузі [8]. Отримана при цьому максимальна контактна напруга буде в 1,3 більше, ніж при герцівському розв’язанні. Розмір площадки контакту і розподіл нормальної напруги залежать від нормального навантаження, що діє від колеса на рейку, профілів колеса і рейки, поперечного і кутового положення колісної пари на рейках і подуклонки рейок.
Рис.7 - Геометрія контакту колеса і рейки:
осі системи координат;
характерні радіуси (
– радіус профілю колеса)
Рис.8 - Форма площадки контакту і розподіл тиску:
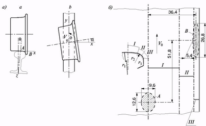
Колісна пара може контактувати з рейкою в двох різних точках [9]. Двоточковий контакт приводить до утворення двох площадок контакту: А на поверхні катання рейки і В на бічній поверхні головки рейки в районі викружки (Рис.9.,а). Внаслідок того що колісна пара при русі в кривій переміщається з деяким кутом набігання а, площадка контакту В зрушена вперед (мал. 8.,б). Збільшення кута набігання приводить до збільшення відстаней між площадками контакту (забігу) і до миттєвої осі обертання колісної пари і тим самим до зростання відносного прослизання і тангенціальної сили, що з ним зв'язана. У зоні того, що стосується гребеня колеса і робочої грані головки зовнішньої рейки рівень розрахункової контактної напруги може досягати 3000 Мпа.
При контакті сильно зношеної рейки з новим або зношеним колесом змінюється форма області розподілу тиску. Розмір площадки контакту істотно зменшується, він зрушується до зовнішньої поверхні зовнішньої рейки, приводячи до збільшення контактного тиску, рівень якого може досягати межі текучості, що викликає пластичну деформацію головки рейки.
Рис.9 - Положення і розміри контактних майданчиків при двоточковому контакті колеса і рейки
:
а) А, В – точки контакту колеса з рейкою;
осі координат
кут набігання колеса на рейку;
кут подуклонки рейки;
вектор швидкості руху колісної пари б) А, В – майданчики контакту; I, II, III – області контакту;
радіуси кривизни головки рейки
Зазвичай контактна напруга на поверхні катання (область А) колеса вантажного вагону знаходиться в межах 1300 – 1700 Мпа. Збільшення осьового навантаження приводить до зростання контактної напруги пропорційно до її величини (див. формулу 1).
Якщо поверхня катання колеса має прокат з поперечним профілем, що утворився, це призводить до істотного збільшення контактного тиску, який може мати місце по обох сторонах цього профілю. Так, при величині прокату профілю 2 мм розрахункова контактна напруга на обох краях може досягати 6000 Мпа, що свідчить про значний пластичний перебіг матеріалів.
Висока контактна напруга виникає у випадках, якщо профіль колеса своїм зовнішнім краєм спиратиметься на рейку або контактна зона не досягає зовнішнього краю колеса, приводячи до виникнення виступу (фальшивого гребеня) в області зовнішньої частини поверхні катання колеса.
Величина і розподіл контактної напруги істотно залежать від профілів колеса і рейки і від того, який має місце контакт: одноточковий або двоточковий. При конформному профілі розмір площадки контакту збільшується, приводячи до зменшення рівня контактної напруги в порівнянні з неконформними профілями.
Таким чином для оцінки загального напруженого стану в парі колесо-рейка досить вирішити завдання Герца для одноточкового контакту бандажа і рейки. Вирішення задачі проводилося в програмному комплексі ANSYS.
При побудові моделі “колесо – рейка” і проведенні розрахунків розглядався тип рейки Р65 по ГОСТ 18267 – 82, і бандаж ГОСТ 398 – 96, при цьому розглядався незношений профіль бандажа і рейки. Механічні властивості бандажа і рейки, що використовуються для розрахунку представлені в таблиці 1.
Таблиця 1
Механічні властивості бандажа і рейки
| Механічні властивості | Бандаж ГОСТ 398 – 96 | Рейка ГОСТ 18267 – 82 |
| Щільність, кг/м3 | 7850 | 7850 |
| Модуль Юнга, Па |
|
|
| Коефіцієнт Пуассона | 0,3 | 0,3 |
Схема сил, що завантажують колісну пару, представлена на малюнку 9.
Рис.10. Схема сил, що завантажують колісну пару
У глобальній декартовій системі координат проводилося розбиття колісної пари на тетраедричні кінцеві елементи. Кінцево елементна сітка представлена на Рис11.
Рис.11. Кінцево елементна модель пари “Колесо - рейка”
На Рис.12 представлена эпюра розподілу напруги в парі “колесо - рейка”.
Рис.12. Эпюра розподілу напруги в контакті пари “Колесо - рейка”
При розрахунку було виявлено, що в зоні контакту на поверхні катання колеса напруги досягають значних величин, але вони локалізовані в межах невеликої області. Розмір цієї області порівняємо з розміром плями контакту.
2.3 Оцінка пропускної спроможності залізничної ділянки, що потенційно реалізовується
Важливим показником експлуатаційної роботи залізничної ділянки є пропускна спроможність, визначувана мінімальним, таким, що реалізовується при відповідній системі забезпечення безпеки руху (СЗБР) інтервалом попутного проходження потягів. Методика розрахунку даного інтервалу для різних елементів залізничної ділянки при існуючих СЗБР викладена в спеціальних інструкціях. Проте доцільно оцінити величину мінімального інтервалу попутного проходження потягів, що реалізовується, забезпечуваної при устаткуванні ділянки деякій ідеальною СЗБР, в якій управління поїздом здійснюється на підставі отримання в кожній точці шляху у будь-який момент часу точної інформації про координату, швидкість проходження і шляху екстреного гальмування складу, що йде попереду. Розрахована для ідеальної системи величина інтервалу міжпотягу, а отже, і пропускна спроможність, що потенційно реалізовується, є еталоном при оцінці експлуатаційних показників залізничної ділянки і якості управління в тих, що існують і СЗБР, що розробляються. Завданню визначення інтервалу міжпотягу, що потенційно реалізовується, для різних елементів залізничної ділянки присвячені роботи [1...3]. У даній роботі вирішення вказаної задачі, а також оцінку пропускної спроможності, що потенційно реалізовується, в різних точках залізничної ділянки пропонується здійснювати з використанням спеціальних математичних моделей.
При організації безупинного руху потягів через довільно узяту точку залізничної ділянки можна розглядати як формування в ній послідовності імпульсів з тривалістю Тп, визначуваною довжиною складу l і швидкістю V його проходження.
Період проходження імпульсів обернено пропорційний середньому значенню швидкості складу на даному інтервалі:
(3)
При устаткуванні ділянки ідеальної СЗБР, що передбачає управління по координаті кінця потягу, що йде попереду, і використання рівносповільненої моделі службового гальмування, мінімальна можлива відстань між двома поїздами може бути обчислено за формулою:
(4)















