147144 (691774), страница 6
Текст из файла (страница 6)
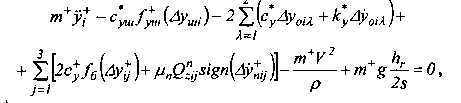
Рис.17 Залежність повздовжніх зусиль по довжині потягу від темпу зростання гальмівної сили:1 — постійного; 2 — що убуває; 3 — що зростає
Із зростанням часу наповнення гальмівних циліндрів зусилля зменшуються нерівномірно: спочатку швидше, а потім повільніше. Збільшення цього часу удвічі призводить до зниження повздовжніх динамічних зусиль в середньому в 1,5 рази. Питома гальмівна сила впливає на повздовжні зусилля не так значно, як на гальмівні шляхи: із збільшенням сили натиснення колодок в 2 рази повздовжні зусилля зростають в 1,3 рази, а гальмівні шляхи знижуються в 1,7 рази. При режимах з однаковими гальмівними шляхами максимальні повздовжні зусилля нижчі в потягах з композиційними колодками (Рис.18).
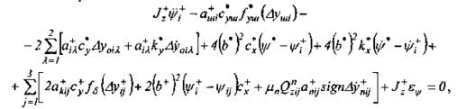
Рис.18. Залежність повздовжніх зусиль від швидкості потягу перед гальмуванням при колодках: 1 — композиційних; 2 — чавунних
Характер розподілу зусиль по довжині складу не залежить від маси вагону: найбільші зусилля в розтягнутому потягу виникають в хвостовій частині складу, а в стислому — в середині складу. Зростання повздовжніх зусиль не пропорційне збільшенню маси і погонного навантаження. При переході від навантажених вагонів до порожніх маса вагонів знижується приблизно в 4 рази, а повздовжні зусилля тільки удвічі. Підвищення погонного навантаження в 1,5 разу збільшує повздовжні зусилля в 2 рази. Постановка легших вагонів однією групою в головній частині складу підвищує зусилля в потягу, а в хвостовій — знижує в порівнянні із зусиллями, що виникають в однорідному потягу рівної маси і довжини. Використання великовантажних вагонів з високим осьовим навантаженням сприяє значному зростанню ваги потягів без збільшення їх довжини.
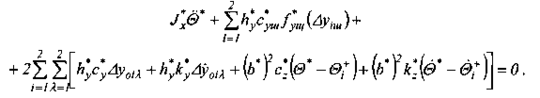
Із збільшенням щільності потягу (маси одиниці довжини у навантаженого складу) швидкість розповсюдження подовжніх збурень зменшується (Рис.19). Процес розповсюдження ударної хвилі уздовж складу при гальмуванні залежить не тільки від характеристик гальм, але і від величини зазорів в автозчепленнях, маси вагонів, параметрів міжвагоних зв'язків, що визначають швидкість розповсюдження нелінійних хвиль. У стислих потягах збурення розповсюджуються майже в 2 рази швидше, ніж в розтягнутих. У розтягнутих порожніх потягах швидкість розповсюдження збурень в 1,5 разу вище, ніж в навантажених, а в стислих порожніх і навантажених — приблизно однакові. Повздовжні динамічні зусилля в розтягнутих потягах в 2 рази вищі, ніж в стислих (коефіцієнт повздовжньої динаміки рівний 2). При гальмуванні розтягнутого потягу із зазорами в міжвагонних з'єднаннях швидкість розповсюдження повздовжніх збурень залежить від величини похідної в точці силової характеристики, відповідній величині деформації поглинаючого апарату. При м'яких силових характеристиках з спадною похідною амплітуда і темп зміни відносних переміщень і швидкостей руху вагонів спадають по довжині складу. У разі жорстких характеристик зв'язків із зростаючою похідною хвиля обурення не гаситься, а посилюється у міру наближення до хвоста потягу. При жорстких силових характеристиках поглинаючих апаратів час розповсюдження максимальних збурень від одного вагону до іншого зменшується, а при м'яких — залишається приблизно однаковим. Із зростанням маси, що доводиться на одну колісну пару, збільшенням числа осей у вагоні зменшується довжина потягу. У складі з великовантажних вагонів при меншій кількості розподільників повітря знижується перепад тиску в гальмівній магістралі, прискорюється відпустка гальм і зарядка запасних резервуарів в хвостовій частині потягу, підвищується плавність гальмування.
Рис.19. Розповсюдження ударної хвилі уздовж складу при гальмуванні потягу: 1 — порожнього; 2 — навантаженого
Розглянуті розрахункові криві розподіли максимальних подовжніх зусиль в потягу масою 6000 т, сформованому з 70 чотиривісних навантажених вагонів, коли склад гальмується локомотивним гальмом і сила пневматичного гальма локомотива В0 наростає по залежності
протягом часу Т0, рівного 5с. На першій ділянці на початку кривих повздовжні зусилля рівні гальмівній силі локомотива, а в другій половині складу перевищують максимальну гальмівну силу локомотива в 2 рази. При збільшенні Т0 до 15с протяжність першої ділянки різко збільшується. Подовжнє динамічне зусилля в хвостовій частині складу трохи перевищує В0. Із зростанням величини В0 або її зменшенням криві подовжніх зусиль переміщаються паралельно. Отже, протяжність ділянки, на якій максимальні зусилля не перевершують гальмівної сили локомотива, визначається формою наростання B0(t) і часом Т0.
Розраховані повздовжні динамічні зусилля в потягу масою 10 000 т з великовантажних вагонів при гальмуванні складу електричними гальмами локомотива. У разі наростання гальмівної сили електровозів протягом 20с рівень повздовжніх зусиль в потягу складає 1,0 МН, а при часі зростання 30с подовжні зусилля не перевищують величину максимальної сили гальмування локомотивів, що узгоджується з дослідженням [3]. Таким чином, квазістатичні стискаючі подовжні зусилля, що виникають в потягах на спусках від дії пневматичних або електричних гальм локомотива, обмежуються величиною гальмівної сили.
За наслідками теоретичних і експериментальних досліджень встановлені норми повздовжніх зусиль, що допускаються, у вантажних потягах при екстреному, повному службовому і регулювальному гальмуванні [7]. Запропоновані номограми для розрахунку гальмівних шляхів потягів (Рис.20).
Рис.20. Залежність гальмівного шляху вантажних потягів Sт від гальмівного коефіцієнта 'р і швидкості V при екстреному гальмуванні на майданчику
Виявлені деякі загальні закономірності і причини обривів потягів в умовах експлуатації. Основні причини — різка зміна стану потягу, перехід частини вагонів із стислого стану в розтягнутий, коли решта частин потягу діє на цю групу вагонів відтяжкою. При дії прямої і зворотної ударної хвилі виникають розтягаючі повздовжні зусилля, що перевищують міцність автозчеплення. Розподіл частоти обривів автозчеплень по довжині потягу залежить від режиму гальмування. Найчастіше обриви відбуваються в головній частині складу, якщо після регулювального гальмування не витримується необхідний час відпустки [8], який визначається довжиною і масою потягу, швидкістю руху, глибиною розрядки гальмівної магістралі, температурою навколишнього повітря. При низьких температурах знижується міцність автозчеплення, і число обривів збільшується (Рис.21).
Рис.21. Залежність обривів автозчеплень від температури повітря
З метою зменшення вірогідності сходу порожніх вагонів у вантажних потягах удосконалюються методи управління автогальмами. Менші повздовжні зусилля виникають, коли легковагі вагони знаходяться в хвостовій частині складу, а повне службове гальмування виконується зниженням тиску в магістралі декількома ступенями. Квазістатичні подовжні зусилля, що діють на вагони при уповільненні складу тільки електричними або пневматичними гальмами локомотива, слід обмежувати часом набору і величиною гальмівної сили. Необхідно знижувати різницю рівнів центрів зчеплення вагонів, що допускається, і максимально зменшувати поперечні зазори у візках.
3.2 Розробка узагальненої математичної моделі просторових коливань вантажного шестиосьового тепловоза
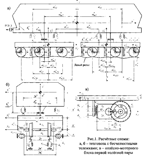
Розробка узагальненої математичної моделі просторових коливань вантажного шестиосного тепловоза, а також опису методики комп'ютерного моделювання. Розрахункова схема локомотива і схема дії сил в системі колісна пара - шлях стосовно колісно-моторного блоку першої колісної пари показані відповідно на рис.1 і 2. Просторові коливання екіпажу тепловоза ТЭ116 визначаються 78 узагальненими координатами.
Рис.23. Схема дії сил в системі колісна пара - шлях
У розрахунковій схемі, рис.1, прийняті наступні позначення систем координат для відповідних мас т і моментів інерції J: i, j-ой колісної пари про у, Ху, у у, zy; i-ї рами вагона of, xf, yf, z*; кузови про, х, у, z .
Рівняння повздовжніх коливань кузова
(4)
де
(5)
деформація пружних елементів зв'язку кузова з візком в подовжньому напрямі; W(y) - опір руху потягу. Рівняння віднесення кузова
де
нелінійна функція типу "зона нечутливості".
Х= 1,2- номера комплекту опор кузова; р - поточна кривизна шляху; hr - поточне піднесення зовнішньої рейки. Рівняння підстрибування кузова
Рівняння галопування кузова
Рівняння виляння кузова
нелінійна залежність моменту в опорах кузова.
Рівняння бічної хитавиці кузова
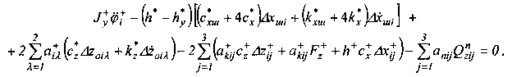
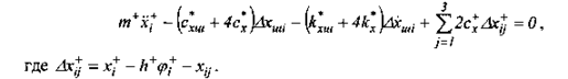
Повздовжні коливання рами i-го вагона
Вертикальні коливання рами i-го вагона
де F_+ - сила тертя фрикційних гасителів коливань; signAiy - нелінійна
Поперечні коливання (віднесення) рами i-го вагона
(14)
(15)
Галоп рами i-го вагона













