125729 (690665)
Текст из файла
Розрахунково-пояснювальна записка
До курсової роботи з основ теорії систем та системного аналізу:
Дослідження властивостей технологічного агрегата як многомірної системи
Одеса - 2010
1. Еквівалентні та апроксимаційні перетворення моделі
1.1 Нелінійна модель агрегату
На прикладі розглянемо конкретну технічну систему - змішувальний бак:
Рисунок 1. Модель бака.
F1,F2,F - витрати рідини на притоці і витоці системи, м3/с;
C1,C2,C - концентрація на витоці і притоці системи, кмоль/м3;
h - рівень рідини в бакові, м; S - площа бака, м2;
V - об'єм рідини в бакові, м3;
Запишемо рівняння системи в стаціонарному (встановленому) стані, коли притік дорівнює витоку (рівняння матеріального балансу):
F10+F20-F0=0; C1
,
де індекс 0 означає встановлений стан.
Записавши умови балансу кінетичної і потенціальної енергії на виході із бака
,
де
p - густина рідини, кг/м3;
w - швидкість витоку, м/с;
q - прискорення вільного падіння,q=9.81 м/с2;
і припускаючи, що
d - діаметр вихідного трубопроводу, м.
Одержимо:
чи, відповідно,
, де
k - коефіцієнт.
При зміні витрат у системі відбувається накопичення речовини і перехід до нового встановленого стану. Цей перехідний процес описується диференціальними рівняннями
де dv/dt - приріст об'єму рідини,
- приріст маси рідини.
Наведемо цю систему у стандартному вигляді:
Позначимо:
− зміна у часі відхилення витрати від номінального щодо першого каналу
− теж щодо другого каналу
− зміна у часі відхилення об'єму від номінального у бакові;
− відхилення концентрації від номінальної;
- зміна втрати на виході;
- зміна концентрації на виході.
1.2 Нелінійна модель в стандартній формі
Розглянемо поповнення бака від 0 до номінального значення витрати з урахуванням приросту поданого лінеаризованій моделі. Таким чином, розглянемо стрибок u1=0,03; u2=0.
Позначивши
, рівняння бака запишемо у вигляді системи:
Перше рівняння є нелінійним зі змінними що розділяються
З урахуванням того, що
запишемо:
,
чи підставляючи
Виразимо
Підставляємо
та
Таблиця 1.
| y1 | 0.141 | 0.142 | 0.143 | 0.144 | 0.145 | 0.146 | 0.147 | 0.148 | 0.149 | 0.150 | 0.151 |
| t, с | 0 | 1.5 | 3.188 | 5.116 | 7.357 | 10.026 | 13.315 | 17.585 | 23.643 | 34.072 | 68.958 |
1.3 Отримання квадратичної моделі
Рівняння квадратичної моделі має вигляд:
Матриці з підстановкою номінального режиму:
1.4 Запис білінійної моделі
1.5 Лінеаризована модель
Лінеаризуємо залежність
, розклавши її на ряд Тейлора.
З урахуванням раніше викладеного запишемо:
; (т.к
), где
;
Припустивши у випадку остатку
. Тоді підставивши похідну
, отримаємо
;
В результаті маємо
Представивши цю систему в матричній формі:
Тоді матриці А і В запишуться в вигляді
,
Для визначення матриці С необхідно встановити зв'язок між векторами x и y. Оскільки
,
, то
;
, то
Тоді
Система буде мати вигляд
Коефіцієнти моделі системи:
1.6 Модель в дискретному часі
система в дискретному часі має вид:
dt=14,89 c.
Таким чином
Задавшись
,
, тоді
Результати подальших ітерацій представлено в таблиці:
Таблиця 3.
| Збурення | Реакція виходу системи y (t) | |||||||||
| u1=0 u2=0,01 | y1 y2 | 0 0 | 0,003298 0,00452 | 0,005299 0,00469 | 0,00773 0,006183 | 0,006512 0,006795 | 0,00725 0,00702 | 0,00769 0,00713 | ||
| час t, с | 0 | 14,894 | 29,787 | 44,681 | 59,574 | 74,468 | 89,362 | |||
1.7 Перетворення моделі у форму Ассео
1.8 Обчислення МПФ системи
;
;
; n=2; i=1;
Таким чином
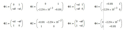
1.9 Структурні схеми системи в початковій формі, формі Ассео, ЗЗП
Рисунок 2. Структурна схема системи в початковій формі.
Рисунок 3. Структурна схема системи в формі Ассео.
Рисунок 4. Структурна схема системи у зовнішньозв'язанному поданні.
1.10 Лінеаризована модель в непереривному і дискретному часі з датчиками і ВМ
a) в непереривному часі
Рисунок 5. Структурна схема системи в неперервному часі з датчиками і ВМ.
б) в дискретному часі
Рисунок 6. Структурна схема системи в дискретному часі з датчиками і ВМ.
1.11 Умова правомірності децентралізації
Система в формі Ассео:
,
,
,
Спектральна норма матриці
, тобто максимальне сингулярне число матриці:
,
.
Спектральна норма матриці F:
Тоді:
Похибка складає:
Можна допустити, що децентралізація є допустимою.
2. Аналіз якісних властивостей системи
А)
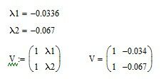
Матриця являється гурвіцевою.
Б)
max s1 (A) =||A||2=0.067<1
Відповідно, матриця А є нільпотентною.
Перевірити, чи є система (А, В, С) сталою, керованою, спостережною, ідентифікованою з вектором-стовпцем х = (1; 1.25), параметрично інваріантною, мінімально фазовою, розчеплюваною, мінімально.
А) сталість:
Відповідно система являється сталою.
Відповідно система являється сталою.
Б) керованість:
;
По першому входу:
Система керована по першому входу.
По другому входу:
Система керована по другому входу.
В) спостережність:
Система спостережна.
Г) ідентифікованість:
Система є ідентифікована.
Д) параметрична інваріантність:
Система не інваріантна відносно відхилення dA.
Система не інваріантна відносно відхилення dB.
Система не інваріантна відносно відхилення dС.
Е) мінімальнофазовість і астатичність:
система являється мінімально фазовою і статичною.
Ж) розчеплюваність:
det=0.016
Система є розчеплюваною.
3. Дослідження процесів в системі і аналіз кількісних властивостей системи
3.1 Побудова графіків розгінних кривих непереривної системи
Побудова графіку розв'язання у (t) для системыи {А, В, С}, якщо
и
Таблиця 4.
| Збурення | Реакція виходу системи y (t) | |||||||||||||
| u1=0,01 u2=0 | y1 y2 | 0 0 | 0,00435 0,00445 | 0,00681 0,00609 | 0,00820 0,0067 | 0,00898 0,00692 | 0,00942 0,00700 | 0,00967 0,00703 | ||||||
| u1=0 u2=0,01 | y1 y2 | 0 0 | 0,00435 0,037 | 0,00681 0,051 | 0,00820 0,056 | 0,00898 0,058 | 0,00942 0,059 | 0,00967 0,059 | ||||||
| час t, с | 0 | 14,3 | 28,6 | 42,9 | 57,2 | 71,5 | 85,8 | |||||||
Рисунок 7. Розгінна крива витрати рідини для неперервної системи при збуренні 0 і 0,01.
Рисунок 8. Розгінна крива концентрації для неперервної системи при збуренні 0.
Рисунок 9. Розгінна крива концентрації для неперервної системи при збуренні 0,01.
3.2 Побудова графіків кривих разгону дискретної системи
Система в дискретному часі має вид:
dt=14,89 c.
Таким чином
Задавшись
,
, тоді
Результати подальших ітерацій представлено в таблиці:
Таблиця 5.
| Збурення | Реакція виходу системи y (t) | |||||||||
| u1=0 u2=0,01 | y1 y2 | 0 0 | 0,003298 0,00452 | 0,005299 0,00469 | 0,00773 0,006183 | 0,006512 0,006795 | 0,00725 0,00702 | 0,00769 0,00713 | ||
| час t, с | 0 | 14,894 | 29,787 | 44,681 | 59,574 | 74,468 | 89,362 | |||
Рисунок 10. Характеристика витрати рідини в дискретному часі.
Рисунок 11. Характеристика концентрації в дискретному часі.
3.3 Побудова графіків кривих разгону нелінійної системи
Розглянемо поповнення бака від 0 до номінального значення витрати з урахуванням приросту поданого лінеаризованій моделі. Таким чином, розглянемо стрибок u1=0,03; u2=0.
Позначивши
,рівняння бака запишемо у вигляді системи:
Перше рівняння є нелінійним зі змінними що розділяються
З урахуванням того, що
запишемо:
, чи підставляючи
Виразимо
Підставляємо
та
Таблиця 6.
| y1 | 0.141 | 0.142 | 0.143 | 0.144 | 0.145 | 0.146 | 0.147 | 0.148 | 0.149 | 0.150 | 0.151 |
| t, с | 0 | 1.5 | 3.188 | 5.116 | 7.357 | 10.026 | 13.315 | 17.585 | 23.643 | 34.072 | 68.958 |
По отриманим даним побудуємо графік:
Рисунок 12. Лінійна та нелінійна характеристика витрати води.
Так як немає аналітичної залежності
, використаємо її кус очно-лінійну апроксимацію, представляючи на проміжкові від
до
функцію
как
. Тоді,
;
Отримані дані занесемо в таблицю:
Рисунок 13. Лінійна та нелінійна характеристика концентрації.
3.4 Сталий стан системи
Вичислимо постійне значення системи при умовах
І порівняємо його з результатом розрахунку.
4. Ідентифікація багатомірної математичної моделі по даним експеремента
4.1 Активна ідентифікація
Для дискретної форми системи (F, G, C) провести реалізацію системи.
Запишемо систему у вигляді:
Подавши імпульс по першому входу, розрахуємо:
Із власних векторів від (
) і (
) побудуємо:
При
Знайдемо передаточну функцію системи:
.
4.2 Пасивна ідентифікація
Для дискретної форми системи (F, G, C) провести пасивну ідентифікацію системи:
Таблиця 7.
| Такт, n | 0 | 1 | 2 | 3 | 4 | 5 |
| U (n) | 0.01 | 0 | 0 | 0.04 | 0 | 0 |
| 0 | 0.01 | 0.02 | 0 | 0.03 | 0 |
Використовуючи матриці системи в дискретній формі для заданих значень вектора входу, розрахуємо значення вектора виходу
Результати розрахунку занесемо до таблиці:
Таблиця 8.
| Такт, n | 1 | 2 | 3 | 4 | 5 | 6 |
| y (n) | 0.117 | 0.188 | 0,349 | 0.68 | 0.765 | 0.464 |
| -0.00509 | 0.03787 | 0.09342 | 0.01402 | 0.12438 | 0.04577 |
Тогда
Следовательно,
5. Конструювання багатомірних регуляторів, оптимізуючи динамічні властивості агрегату
5.1 Конструювання П-регулятора, оптимізую чого систему по інтегральному квадратичному критерію
Регулятор стану який оптимізує систему по критерію:
Визначається по співвідношенню: P=LR1 (A,B,Q,R);
Притом Q=R=I
Так як матриця С є інвертованою, для створення регулятора виходу немає
Необхідно конструювати спостерігач стану -недосяжний стан вичислюється по формулі
. Відповідно регулятор виходу має вид
Позначивши через z задане значення виходу у і припускаючи, що
, отримаємо
5.2 Конструювання компенсаторів завдань і вимірюваних збурень
Прийнявши до уваги, що А=В
Якщо при компенсації збурень і завдань зчитувати "вартість" управління, записавши критерій в виді
,
то компенсатори визначаються залежностями
Значення виходу при дії збурення f в системі без компенсаторів при z=0
З оптимальною компенсацією
f
5.3 Конструювання регулятора з компенсатором взаємозв'язків
Следовательно,
Перевіримо чи регулятор дійсно розчіплює систему, тобто матриця передаточних функцій являється діагональною
,
, де
,
.
Знайдемо
1.
2.
.
5.4 Конструювання аперіодичного
Аперіодичний регулятор для дискретної системи може бути отриманий із умови
. Запишем
5.5 Конструювання децентралізованого регулятора
Використовуючи форму Ассео, запишем:
Відповідно, отримаємо
,
Розв'яжим рівняння Ляпунова.
T=B
5.6 Конструювання надійного регулятора
Якщо матриця G моделяє відмови каналів вимірювання, то регулятор знаходиться в виді
нехай s=0.041
Відповідно, система являеться постійною при любих відхиленнях.
5.7 Конструювання блочно-ієрархічного регулятора
Використаємо регулятор стану і перевіримо чи можна створити послідовність регуляторів стану.
;
;
;
;
Рисунок 14. Схема блочно-ієрархічного регулятора.
5.8 Конструювання регулятора для білінійної моделі
5.9 Конструювання регулятора для нелінійної системи
Сконструювати нелінійний регулятор, використовуючи початкову не спрощену модель бака.
,
Розрахункове співвідношення для регулятора -
, де
При s=4, W=1 запишемо
Підставивши
запишемо
5.10 Конструювання програмного регулятора
Використовуючи лінеаризовану модель в дискретному часі, запишемо програму переходу системи із стану
в стан
.
При
;
Отримаємо
6. Аналіз властивостей зконструйованої системи з оптимальним П-регулятором
6.1 Побудова процесу в системі з П-регулятором
Стале значення виходу при дії збурення f у системі без компенсаторів при z=0
З оптимальною компенсацією
f
Рисунок 15. Графіки перехідних процесів та кривих розгону по першому та другому виходах з оптимальним П-регулятором з компенсатором і без.
6.2 Обчислення критерію оптимальності в системі
Величина критерію оптимальності обчислюється за залежністю
. Для обчислення величини критерію з довільним регулятором слід використовувати формулу
, де
.
розв'язавши рівняння Ляпунова отримаємо
розв'язавши рівняння Ляпунова отримаємо
При 10% та 5%
,
,
,
Розв'яжемо
для всіх матриць при нових значеннях
,
,
,
,
При 10% та 5%
,
,
,
.
6.3 Обчислити чуйність системи
6.4 Проаналізувати робастність системи
6.5 Розв'язати зворотну задачу конструювання
Знайти за яким критерієм є оптимальний регулятор з компенсаторів взаємозв'язків.
де W - довільна матриця яка задовольняє умові S>0
розв'язавши отримаємо
Висновок
Таким чином, в ході виконання курсової роботи на прикладі моделі змішувального бака була розгляне на технологічна послідовність конструювання систем: побудова та перетворення моделей системи, аналіз властивостей початкової системи, конструювання регуляторів, аналіз властивостей і порівняння сконструйованих систем. Також при виконанні були отримані ряд кривих розгону та перехідних процесів для моделі бака, були побудовані структурні схеми моделі в початковій формі, Ассео, зовнішньо зв’язаній формі. Отримали навики конструювання систем з використанням регулятора з компенсатором взаємозв”язків, аперіодичного, децентралізованого, надійного, блочно-ієерархічного регуляторів, програмного регулятора, регулятора для нелінійної моделі, регулятора для білінійної моделі.
Література
-
Методические указания к практическим занятиям по курсу "Основы системного анализа и теория систем", А.А. Стопакевич
-
"Сложные системы: анализ, синтез, управление", А.А. Стопакевич
Додаток
Розв'язання рівняння Рікарті
Розв'язання рівняння Рікарті
визначення матриці Р.
Сформуємо матрицю
Для обчислення власних значень розкриємо визначник
.
Розв'язання рівняння Ляпунова
.
Обчислення матричної експоненти
,
.
Фробеніусові матриці
Вандермордова матриця
Характеристики
Тип файла документ
Документы такого типа открываются такими программами, как Microsoft Office Word на компьютерах Windows, Apple Pages на компьютерах Mac, Open Office - бесплатная альтернатива на различных платформах, в том числе Linux. Наиболее простым и современным решением будут Google документы, так как открываются онлайн без скачивания прямо в браузере на любой платформе. Существуют российские качественные аналоги, например от Яндекса.
Будьте внимательны на мобильных устройствах, так как там используются упрощённый функционал даже в официальном приложении от Microsoft, поэтому для просмотра скачивайте PDF-версию. А если нужно редактировать файл, то используйте оригинальный файл.
Файлы такого типа обычно разбиты на страницы, а текст может быть форматированным (жирный, курсив, выбор шрифта, таблицы и т.п.), а также в него можно добавлять изображения. Формат идеально подходит для рефератов, докладов и РПЗ курсовых проектов, которые необходимо распечатать. Кстати перед печатью также сохраняйте файл в PDF, так как принтер может начудить со шрифтами.















