125398 (690520)
Текст из файла
Министерство образования РФ
П
ензенский Государственный университет
Кафедра "КиПРА"
КУРСОВАЯ РАБОТА
по дисциплине "Основы автоматики"
Расчет системы автоматического управления
Выполнил ст. гр.05РК-1:
Проверил: Лапшин Э.В.
ПЕНЗА 2007
Содержание
1.1 Вывод передаточной функции разомкнутой и замкнутой САУ относительно входного воздействия
1.2 Вывод дифференциального уравнения САУ
1.3 Вывод формулы для мнимой и вещественной компоненты АФХ замкнутой и разомкнутой САУ
1.3.1 Для замкнутой САУ
1.3.2 Для разомкнутой САУ
2.1.Таблица расчётных значений для замкнутой САУ
2.2 Таблица расчётных значений для разомкнутой САУ
2.3 График АФХ для замкнутой САУ\
2.4 График АФХ для разомкнутой САУ
2.5 Графики ЛАХ и ЛФХ для замкнутой САУ
2.6 Графики ЛАХ и ЛФХ для разомкнутой САУ
3.1 Построение асимптотической ЛАХ разомкнутой САУ
3.2 Построение желаемой асимптотической ЛАХ разомкнутой корректируемой САУ
3.3 Построение асимптотической ЛАХ последовательного корректирующего устройства
Список использованной литературы
Задание к курсовой работе
Вывести передаточные функции разомкнутой и замкнутой системы автоматического управления (САУ) относительно входного воздействия.
1. Вывести дифференциальное уравнение САУ.
2. Вывести формулы для вещественной и мнимой компонент амплитудно-фазовой характеристики (АФХ) САУ разомкнутой и замкнутой.
2.1 Составить таблицу расчётных значений для построения графиков частотных характеристик.
2.2 Построить график АФХ САУ замкнутой и разомкнутой системы.
2.3 Построить графики логарифмических амплитудной и фазовой характеристик (ЛАХ и ФХ) замкнутой и разомкнутой системы.
3.1 Построить асимптотическую ЛАХ разомкнутой САУ (LНСК).
3.2 Построить желаемую асимптотическую ЛАХ разомкнутой корректированной САУ (LЖ), удовлетворяющей требованиям варианта по перерегулированию и времени переходного процесса.
3.3 Построить асимптотическую ЛАХ последовательного корректирующего устройства (LПС).
Исходные параметры САУ
Т1 = 0,04 сек. Т2 = 0,3 сек. Т3 = 0,15 сек.
= 4,8 сек. = 30%LM = ±14 дБ
С
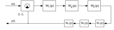
труктурная схема САУ
1.1 Вывод передаточной функции разомкнутой и замкнутой САУ относительно входного воздействия
-
передаточная функция разомкнутой САУ по управляющему воздействию.
-
передаточная функция замкнутой САУ по управляющему воздействию.
1.2 Вывод дифференциального уравнения САУ
где p заменим на
и получим следующее дифференциальное уравнение:
1.3 Вывод формулы для мнимой и вещественной компоненты АФХ замкнутой и разомкнутой САУ
1.3.1 Для замкнутой САУ
где p заменим на j и получим следующее выражение:
Где
-
действительная компонента АФХ
-
мнимая компонента АФХ
1.3.2 Для разомкнутой САУ
,
где p заменим на j и получим следующее выражение:
Где
-
действительная компонента АФХ
-
мнимая компонента АФХ
2.1.Таблица расчётных значений для замкнутой САУ
2.2 Таблица расчётных значений для разомкнутой САУ
2.3 График АФХ для замкнутой САУ\
2.4 График АФХ для разомкнутой САУ
Так как точка с координатами [-1; j0] находится под графиком, то по критерию Найквиста система считается неустойчивой.
2.5 Графики ЛАХ и ЛФХ для замкнутой САУ
2.6 Графики ЛАХ и ЛФХ для разомкнутой САУ
3.1 Построение асимптотической ЛАХ разомкнутой САУ
Запишем необходимые для построения выражения и параметры:
= 30% - перерегулирование;
LM = 14 дБ - запас устойчивости по амплитуде;
= 36 - запас устойчивости по фазе;
отсюда находим частоту среза СР = 2,29 [с-1]
Скорректированная система не должна иметь перерегулирование, превышающее = 30% и время переходного процесса tРЕГ = 4,8 с.
Построим прямую по следующей формуле, подставив в неё первую и вторую частоту перегиба (2 = 3,3 с-1 и 3 = 6,7 с-1):
LH0 = 20lg (K) - 20lg (T2) - 20lg ()
LH0 = 20lg (84) - 20lg (0,3) - 20lg (3,3) = 38,573 дБ
LH0 = 20lg (84) - 20lg (0,3) - 20lg (6,7) = 30,528 дБ
Через получившиеся точки проведем прямую.
Затем построим ещё одну прямую по следующей формуле, подставив в неё первую и вторую частоту перегиба (2 = 6,7с-1 и 3 = 25 с-1):
LH1 = 20lg (K) - 20lg (T2) - 20lg (T3) - 40lg ()
LH1 = 20lg (84) - 20lg (0,3) - 20lg (0,15) - 40lg (6,7) = 32,378 дБ
LH1 = 20lg (84) - 20lg (0,3) - 20lg (0,15) - 40lg (25) = 9,504 дБ
Через получившиеся точки проведем прямую.
Последнюю часть асимптотической ЛАХ строим по формуле:
LH2 = 20lg (K) - 20lg (T1) - 20lg (T2) - 20lg (T3) - 60lg ()
в которую подставляем значения второй и третьей частоты излома (1 = 25 с-1 и и произвольной частоты (для удобства построения я взял частоту = 100 с-1).
LH2 = 20lg (84) - 20lg (0,3) - 20lg (0,04) - 20lg (0,15) - 60lg (25) = 9,504 дБ
LH2 = 20lg (84) - 20lg (0,3) - 20lg (0,04) - 20lg (0,15) - 60lg (100) = -26,62 дБ
Через получившиеся точки проведем прямую.
Получившаяся кривая является асимптотической ЛАХ САУ.
3.2 Построение желаемой асимптотической ЛАХ разомкнутой корректируемой САУ
Далее строим желаемую асимптотическую ЛАХ разомкнутой корректированной САУ. Для этого через СР проведём пунктирную линию параллельную первой части предыдущей кривой, т.е. с наклоном -20 дБ/дек. Обведём толстой линией участок кривой замкнутый между значениями LM = 14 дБ. Слева продолжим эту кривую отрезком с наклоном -40 дБ/дек, а справа отрезком с наклоном -60 дБ/дек.
3.3 Построение асимптотической ЛАХ последовательного корректирующего устройства
Для построения асимптотической ЛАХ последовательного корректированного устройства необходимо из второй кривой вычесть первую, т.е. использовать формулу:
LК = LЖ - LH.
График асимптотической ЛАХ
а
симптотическая ЛАХ разомкнутой САУ.
ж
елаемая асимптотическая ЛАХ разомкнутой корректированной САУ.
а
симптотическая ЛАХ последовательного корректированного устройства.
По асимптотической ЛАХ последовательного корректированного устройства можно определить передаточные функции его звеньев.
Где
сек
сек.
сек.
,
,
- частоты излома асимптотической ЛАХ последовательного корректирующего устройства.
Структурная схема корректирующего звена:
В этом случае структурная схема САУ будет иметь вид:
Список использованной литературы
-
Теория автоматического управления под ред. А.В. Нетушила - М.: "Высшая школа", 1973.
-
Радиоавтоматика: Учебник для вузов. - М.: Радио и связь, 1982.
11
Характеристики
Тип файла документ
Документы такого типа открываются такими программами, как Microsoft Office Word на компьютерах Windows, Apple Pages на компьютерах Mac, Open Office - бесплатная альтернатива на различных платформах, в том числе Linux. Наиболее простым и современным решением будут Google документы, так как открываются онлайн без скачивания прямо в браузере на любой платформе. Существуют российские качественные аналоги, например от Яндекса.
Будьте внимательны на мобильных устройствах, так как там используются упрощённый функционал даже в официальном приложении от Microsoft, поэтому для просмотра скачивайте PDF-версию. А если нужно редактировать файл, то используйте оригинальный файл.
Файлы такого типа обычно разбиты на страницы, а текст может быть форматированным (жирный, курсив, выбор шрифта, таблицы и т.п.), а также в него можно добавлять изображения. Формат идеально подходит для рефератов, докладов и РПЗ курсовых проектов, которые необходимо распечатать. Кстати перед печатью также сохраняйте файл в PDF, так как принтер может начудить со шрифтами.















