122756 (689218)
Текст из файла
Разработка диэлектрической стержневой ФАР
Пояснительная записка к курсовому проекту
Выполнил: Vanish588
Московский Авиационный Институт
Москва 2010 г.
Исходные данные для расчёта
Тип решётки: Диэлектрическая стержневая ФАР бортовой РЛС.
Рабочая длина волны: λ=5 см.
Ширина ДН в обеих плоскостях
.
УБЛ в обеих плоскостях: УБЛ = - 13 дБ.
Сектор сканирования в обоих плоскостях: ±60
Введение
Для получения остронаправленного излучения широко применяются антенные решетки (АР), состоящие из совокупности отдельных, как правило, идентичных излучателей. В качестве элементов АР могут использоваться направленные и слабонаправленные излучатели (симметричные вибраторы, щели, открытые концы волноводов, рупора, диэлектрические стержни, спирали). Использование АР позволяет существенно повысить эффективность современных бортовых и наземных радиосистем за счет осуществления быстрого безинерционного обзора пространства путем сканирования луча АР электрическими методами (электрическое сканирование); увеличения коэффициента усиления (КУ) антенны; формирования диаграммы направленности (ДН) с требуемыми шириной и уровнем боковых лепестков путем создания соответствующего амплитудно - фазового распределения по раскрыву решетки; увеличения излучаемой мощности и снижения потерь в фидерном тракте за счет размещения в каналах излучателей решетки независимых генераторов или усилителей высокочастотной энергии; осуществления многофункциональной работы радиосистемы, т.е. совмещение в ней нескольких функций, например: поиска, обнаружения и сопровождения цели; увеличения помехозащищенности путем пространственной обработки сигналов (адаптивные АР) и т.д. При этом антенная решетка может служить первичным звеном обработки (в общем случае пространственно - временной) сигнала и в силу этого в значительной мере определяет основные характеристики всей системы. Для получения предельных характеристик радиосистем могут предъявляться повышенные требования к характеристикам направленности АР: величине КНД, уровню боковых лепестков, форме ДН и т.п. Решетки, обеспечивающие необходимые параметры этих характеристик называют оптимальными. Антенные решетки принято классифицировать в зависимости от расположения излучателей в пространстве, характеру их размещения в решетке, шага решетки, способа их возбуждения и сканирования, типа применяемого излучателя и т.д. В данном курсовом проекте будет проведен расчет параметров плоской антенной решетки с электрическим типом сканирования.
3. Определение геометрических параметров антенной решетки
О
дним из наиболее распространенных типов ФАР являются линейные и плоские решетки. Большинство плоских ФАР состоит из идентичных излучателей, расположенных в узлах плоской координатной сетки с двойной периодичностью. Наиболее употребительными являются прямоугольная и треугольная (или гексагональная) сетки. Выбираем прямоугольную сетку рис. 3.1. При элементарном рассмотрении предполагается, что ДН излучателя в решетке не отличается от ДН изолированного излучателя. Далее определим параметры прямоугольной сетки по заданному значению ширины главного лепестка диаграммы направленности, уровню боковых лепестков и сектору сканирования для каждой плоскости в отдельности.
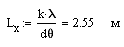
В плоскости Х:
Длина антенной решетки:
,
где k – коэффициент определяемый по уровню боковых лепестков (УБЛ), согласно (Л 4, стр. 24, табл. 2.1) для УБЛ < - 13 дБ, k = 51
λ - длина волны
.- ширина основного лепестка ДН в плоскости Х
Расстояние между излучателями решетки:
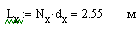
Количество излучателей в решетке:
Примем число элементов в решетке в плоскости Х равным 96, тогда пересчитаем длину решетки в этой плоскости:
В плоскости Y:
Длина антенной решетки:
где k – коэффициент определяемый по уровню боковых лепестков (УБЛ), согласно (Л 4, стр. 24, табл. 2.1) для УБЛ < - 13 дБ, k = 51
λ - длина волны
.- ширина основного лепестка ДН в плоскости Y
Расстояние между излучателями решетки:
Количество излучателей в решетке:
Примем число элементов в решетке в плоскости Y равным 96, тогда пересчитаем длину решетки в этой плоскости:
Таким образом, в результате определения геометрических размеров решетки получаем плоскую решетку, с размерами 2, 55 и 2, 55 метра (96 излучателей по оси Х и по оси Y ) и расстоянием между излучателями равным 2, 7 см в обеих плоскостях.
4. Расчет диаграммы направленности диэлектрической стержневой антенны
Проектируемая антенная решетка строится на базе диэлектрических стержневых антенн и для дальнейшего расчета диаграммы направленности всей решетки нам необходимо определить диаграмму направленности одиночного стержневого диэлектрического излучателя. В ходе определения его конкретных параметров стоит заметить, что ширина диаграммы направленности одиночного излучателя будет влиять на амплитуду главного лепестка решетки при сканировании. Исходя из этого, ширина диаграммы направленности основного лепестка одиночного излучателя по уровню 0, 707 от максимума, создаваемой им напряженности поля должна быть как можно ближе к 90°. Тогда при максимальном угле сканирования в 50°, амплитуда главного лепестка решетки уменьшится не более чем в 0, 707 раз. Выберем конусообразную конструкцию диэлектрического излучателя, упрощенный вид которого показан на рисунке 4.1
В качестве материала диэлектрика выбираем полистирол, для которого диэлектрическая проницаемость ε=2, 5. Экспериментальным путем выбираем длину излучателя Lс= 4, 2см.
Определим диаметр основания конуса стержня dCmax и его вершины dCmin по формулам (Л3, стр.397):
В последующих расчетах будем использовать среднее значение диаметра диэлектрического стержня:
Определим коэффициент замедления волны ζ в диэлектрике стержневого излучателя по рис. 4.2:
Исходя из графика зависимости, для значения
при ε=2.5 находим отношение следовательно, коэффициент замедления волны ζ=1.
Для математического описания диаграммы направленности стержневой антенны, излучатель представляется в виде системы элементарных излучателей (колец).
Диаграмма направленности элементарного излучателя
определяется по формуле:
,
где: J0 – функция Бесселя нулевого порядка
– волновое число
Диаграмма направленности всего стержневого излучателя определяется как произведение диаграммы направленности элементарного излучателя
на множитель излучателя
, определяемого по формулам:
Тогда диаграмма направленности диэлектрического стержневого излучателя будет иметь вид:
5. Расчет диаграммы направленности антенной решетки
Диаграмма направленности антенной решетки определяется как произведение диаграммы направленности одиночного излучателя решетки на множитель решетки. Множитель решетки зависит от числа излучателей в решетке и расстояния между ними. Соответственно, в рассматриваемом случае, множитель решетки в плоскости Х и Y не будет отличаться. Также на множитель решетки влияет амплитудное распределение сигнала от генератора, подаваемого на каждый элемент решетки. Характер амплитудного распределения определяется согласно (Л4, стр. 24, табл. 2.1) по заданному уровню боковых лепестков (УБЛ). УБЛ в обеих плоскостях должен быть УБЛ - 13дБ, и такому уровню боковых лепестков соответствует закон равномерного амплитудного распределения:
Таким образом, обозначив все факторы, влияющие на множитель решетки в обеих плоскостях, можем записать его формулу.
Множитель решетки в плоскости X:
Множитель решетки в плоскости Y:
Как было сказано ранее, диаграмма направленности всей антенной решетки
определяется произведением ее множителя на ДН одиночного излучателя решетки
.
Диаграмма направленности антенной решетки в плоскости Х:
Вид диаграммы направленности антенной решетки в плоскости Х при нулевом угле сканирования (рис.5.2).
Вид диаграммы направленности антенной решетки в плоскости Х при угле сканирования равном ± 60° (рис.5.3)
Аналогично определим вид диаграммы направленности антенной решетки в плоскости Y:
Диаграмма направленности антенной решетки в плоскости Y:
Вид диаграммы направленности антенной решетки в плоскости Y при нулевом угле сканирования (рис.5.4):
Вид диаграммы направленности антенной решетки в плоскости Y при угле сканирования равном ± 60° (рис. 5.5)
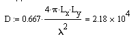
Коэффициент направленного действия линейной решётки при ориентации луча в направлении нормали к её плоскости может быть рассчитан по формуле (Л1, стр. 39, формула 2.11) , при условии, что коэффициент использования площади раскрыва, определяемый амплитудным распределением, равен ν=0, 667 (Л1, стр. 35, табл. 2.1.)
Определение параметров антенной решетки на данном этапе можно считать законченным.
Характеристики
Тип файла документ
Документы такого типа открываются такими программами, как Microsoft Office Word на компьютерах Windows, Apple Pages на компьютерах Mac, Open Office - бесплатная альтернатива на различных платформах, в том числе Linux. Наиболее простым и современным решением будут Google документы, так как открываются онлайн без скачивания прямо в браузере на любой платформе. Существуют российские качественные аналоги, например от Яндекса.
Будьте внимательны на мобильных устройствах, так как там используются упрощённый функционал даже в официальном приложении от Microsoft, поэтому для просмотра скачивайте PDF-версию. А если нужно редактировать файл, то используйте оригинальный файл.
Файлы такого типа обычно разбиты на страницы, а текст может быть форматированным (жирный, курсив, выбор шрифта, таблицы и т.п.), а также в него можно добавлять изображения. Формат идеально подходит для рефератов, докладов и РПЗ курсовых проектов, которые необходимо распечатать. Кстати перед печатью также сохраняйте файл в PDF, так как принтер может начудить со шрифтами.















