122756 (689218), страница 2
Текст из файла (страница 2)
Следующим этапом следует выбрать схему питания антенной решетки и определить ее конструкцию.
6. Выбор и расчет схемы питания антенной решетки
Согласно ТЗ при длине волны рабочего диапазона λ=5см коаксиальная линия для питания антенны не используется из-за быстрого роста потерь в линии и технологических трудностей ее изготовления. В этом случае используют волноводное питание антенны путем прямого перехода от прямоугольного волновода к круглому или с помощью двойного волноводно-коаксиального перехода.
Делители мощности выполняются по схемам последовательного и параллельного деления мощности. При последовательном делении мощности (рис. 6.1) нагрузка может быть включена в боковые ответвления фидерного тракта.
Недостатком данной схемы является различная электрическая длина пути от входа антенны до излучателей, что может привести к фазовым искажениям на краях частотного диапазона. Для устранения фазовых искажений в боковые ответвления необходимо включать компенсационные отрезки фидера.
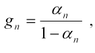
При параллельной схеме (рис. 6.2) деления мощности, возможно деление как равномерное, так и неравномерное. К схемам параллельного деления относятся n-этажные схемы деления, в каждом узле которой происходит деление мощности.
Достоинством такой схемы является: общие потери определяются вносимыми потерями 1 - ого фазовращателя; отсутствует накопление фазовой ошибки.
Недостатком параллельной схемы является сложность согласования при делении мощности на большое количество излучателей.
В нашем случае применим схему с последовательным делением мощности (рис. 6.1).
Возбуждение излучателей в решетке осуществляется с помощью щелей, прорезанных в широкой или узкой стенке волновода. Возбуждение щели в волноводе происходит, если она своей широкой стороной пересекает поверхностные токи, текущие по внутренним стенкам. Возбуждение излучателей в каждой линейке будем осуществлять с помощью щелей, прорезанных в узкой стенке питающего волновода, а возбуждение питающих волноводов – с помощью щелей, прорезанных в широкой стенке волновода.
По данным ТЗ (λ=5см) выбираем волновод WR - 159 с диапазоном частот для основного вида колебаний 4, 9ГГц – 7, 05ГГц, внутренними размерами (40, 38x20, 19)мм и внешними размерами (43, 63x23, 44)мм, толщиной стенок (1, 6 ±0, 1)мм. (Л6, стр. 104, табл. 3.6)
Для синфазного возбуждения щелей требуется располагать их на расстоянии
, а длина волны в питающем волноводе составит:
Проверим возможность распространения высших типов волн – волны Н30
Так как такой волновод применяется в пяти сантиметровом диапазоне волн, то проверим возможность распространения в нем волны типа Н30.
Для волны Н30:
В нашем случае λ > λкр, а значит, волна типа Н30 в волноводе не распространяется.
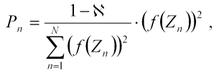
Воспользовавшись энергетическим методом расчета, рассчитаем возбуждение решетки в плоскости X :
Рассчитаем относительную мощность щелей по формуле (Л4, стр.119) :
где f(Zn) - амплитудное распределение;
- отношение мощности, поглощаемой в нагрузке РL, к мощности на входе антенны Р0
; где А(n) - амплитудное распределение (рис. 5.1.)
Рассчитаем нормированные проводимости по формуле (Л4, стр.120, формула 5.17):
где αn - коэффициенты связи щели с волноводом:
Угол поворота щели δ определим, воспользовавшись выражением (Л4 , стр.110, табл. 5.1):
7. Выбор фазовращателя
В качестве схемы фазовращателя будем использовать электрически управляемый дискретно-коммутационный фазовращатель. Электрически управляемые фазовращатели могут быть построены с применением разнообразных управляемых элементов. В качестве управляемого элемента удобно использовать p-i-n диод, т.к. он обладает свойством резкого изменения своего полного сопротивления под действием управляющего напряжения. Принцип действия дискретно-коммутационного фазовращателя основан на подключении или отключении дополнительных участков полосковой линии, которые удлиняют путь прохождения волны по микрополосковой линии, обеспечивая, таким образом, необходимый фазовый сдвиг.
Длина дополнительного участка линии определяет дискретное значение фазового сдвига, а количество таких дополнительно включаемых линий определяет максимальный сдвиг фазы. Одна из возможных реализаций конструкции вышеописанного фазовращателя приведена на (рис. 7.1). В нашем случае будем применять дискретно-коммутационный ферритовый фазовращатель на прямоугольной петле гистерезиса с дискретом фазы равным 22, 5°.
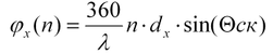
При отклонении луча от нормали с плоской решеткой на угол Ɵск
необходим фазовый сдвиг φ между двумя произвольными излучателями, отстоящими друг от друга на d в плоскости сканирования, который определяется по формуле (Л5, стр.441):
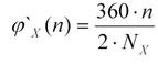
Но при этом необходимо учитывать и набег фаз, возникающий при использовании последовательной схемы питания. Оценим возникающий набег фазы по формуле:
Чтобы компенсировать фазовый набег, возникающий в схеме питания, определим фазовое распределение в решетке как разность φx(n)-φ`x(n), тогда фазовое распределение будет иметь вид:
Так как выбранный тип фазовращателя способен обеспечить только дискретный шаг фазы равный 22, 5°, то фазовое распределение будет иметь вид :
8. Особенности конструкции
Учитывая особенность конструкции схемы возбуждения диэлектрического стержня с помощью волновода, следует учесть, что расстояние между щелями, прорезанными в стенке волновода равно
, при
=64мм, то d=32мм в Y плоскости антенной решётки, а рассчитанное расстояние между стержнями в плоскости Y dy=27мм. Учитывая эти особенности, рассчитаем новую диаграмму направленности антенной решётки в плоскости Y.
Диаграмма направленности антенной решетки в плоскости Y:
При этом вид ДН АР в плоскости X останется неизменным, т.к. расстояние между стержнями АР соответствует расчёту и равно dx=27 мм.
Список литературы
1. Антенны и устройства СВЧ. Проектирование фазированных антенных решеток. Под ред. Д.И.Воскресенского. – 2 - е изд., доп. и перераб. – М.: Радио и связь, 1994 г.
2. Оптимальные антенные решетки. Автор: Степаненко В.И., Учебное пособие – М.: АМИ, 2001 г.
3. Антенно-фидерные устройства. Авторы: Драбкин А.Л., Зузенко В.Л., Кислов А.Г. – 2 - ое изд., доп. и перераб. – М.: «Советское радио», 1974г.
4. Антенны и устройства СВЧ. Проектирование фазированных антенных решеток. Под ред. Д.И.Воскресенского. – М.: Радио и связь, 1981г.
5. Антенны и устройства СВЧ. Под ред. Д.И.Воскресенского. – М.: Изд-во МАИ, 1999 г
6. Справочник по элементам волноводной техники. Авторы: Фельдштейн А.Л., Явич Л.Р., Смирнов В.П. – 2-ое изд., доп. и перераб. – М.: Советское радио, 1967 г
Для подготовки данной работы были использованы материалы с сайта http://referat.ru















