29510-1 (689164), страница 2
Текст из файла (страница 2)
Расчеты входных, выходных и межкаскадных КЦ ведутся с использованием эквивалентной схемы замещения транзистора приведенной на рисунке 4.11. Для получения максимальной выходной мощности в заданной полосе частот необходимо реализовать ощущаемое сопротивление нагрузки для внутреннего генератора транзистора, равное постоянной величине во всем рабочем диапазоне частот. Это можно реализовать, включив выходную емкость транзистора в фильтр нижних частот, используемый в качестве выходной КЦ. Схема включения выходной КЦ приведена на рисунке 4.11.
Рисунок 4.11 – Схема выходной корректирующей цепи
Выходную корректирующую цепь можно рассчитать с использованием методики Фано, которая подробно описана в методическом пособии [6]. Зная Свых и fв можно рассчитать элементы L1 и C1 .
4.5.2 Межкаскадная корректирующая цепь
Как упоминалось ранее, для передачи сигнала от одного каскада многокаскадного усилителя к другому, от источника сигнала на вход первого усилительного элемента и от выходной цепи последнего усилительного элемента в нагрузку применяют различные схемы, называемые межкаскадными корректирующими цепями (МКЦ). Эти схемы одновременно служат и для подачи питающих напряжений на электроды усилительных элементов, а также придания усилителю определенных свойств.
Существуем множество различных схем МКЦ, но в данном курсовом проекте используется межкаскадная корректирующая цепь третьего порядка, которая изображена на рисунке 4.12.
Межкаскадная корректирующая цепь третьего порядка обеспечивает достаточно хорошее согласование между усилительными элементами и способствует максимальной отдачи выходной мощности усилительного элемента в нагрузку.
Рисунок 4.12 – Каскад с межкаскадной корректирующей цепью
третьего порядка
В качестве усилительного элемента VT2 используется транзистор КТ930А.
Расчет межкаскадной корректирующей цепи третьего порядка производится по следующей методике.
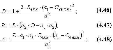
В начале расчета определяют неравномерность амплитудно-частотной характеристики (АЧХ) приходящейся на каждый каскад. Затем из таблицы, которая находится в методическом пособии [6] по неравномерности АЧХ определяют коэффициенты а1 , а2,, а3. После находят нормированные значения Свых.н , Lвх.н и Rвх.н по следующим формулам:
Для нахождения нормированных значений С1 , С2 , L1 рассчитывают следующие коэффициенты:
Рассчитаем межкаскадную корректирующую цепь между выходным и предоконечным каскадом. Для этого представим схему приведенную на рисунке 4.12 в виде эквивалентной схемы изображенной на рисунке 4.13.
Рассчитаем элементы МКЦ.
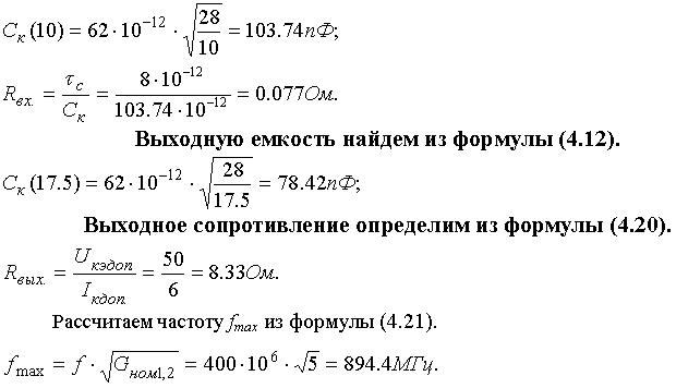
Значения выходных параметров транзистора КТ930А возьмем из пункта 5.2, где рассчитана эквивалентная схема этого транзистора.
КТ930А: Cвых.= 78.42 пФ;. Rвых.= 8.33 Ом.
Рисунок 4.13 – Эквивалентная схема каскада
Неравномерность АЧХ приходящейся на каждый каскад составляет 0.7дБ. Из таблицы находящейся в методическом пособии [6] коэффициенты а1 , а2,, а3 будут равны:
5 Расчет предоконечного каскада
5.1 Расчет рабочей точки
5.2 Расчет эквивалентной схемы транзистора
В качестве эквивалентной схемы расчитаем однонаправленную модель транзистора.
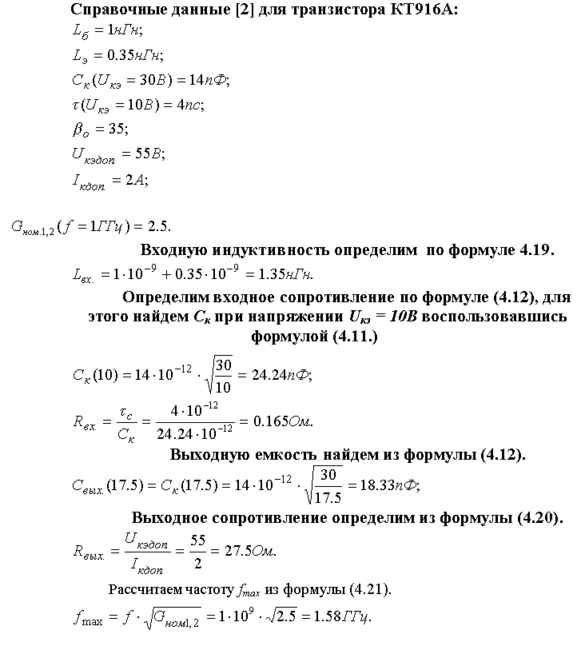
Рассчитаем элементы схемы, воспользовавшись справочными данными и формулами приведенными в пункте 4.3.2.
Входную индуктивность определим по формуле 4.19.
Определим входное сопротивление по формуле (4.12), для этого найдем Ск при напряжении Uкэ = 10В воспользовавшись формулой (4.11.)
5.3 Расчет схемы термостабилизации
В предоконечном каскаде используется схема активной коллекторной термостабилизации.
Рассчитаем элементы схемы воспользовавшись формулами приведенными в пункте 4.4.3 и рисунком 4.9.
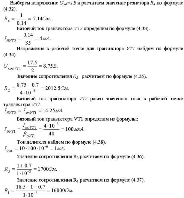
Выберем напряжение UR4=1В и расчитаем значение резистора R4 по формуле (4.32).
5.4 Расчет межкаскадной корректирующей цепи
Расчитаем межкаскадную корректирующую цепь между входным и предоконечным каскадом. Эквивалентная схема изображена на рисунке 5.1.
Рисунок 5.1 – Эквивалентная схема каскада
В качестве усилительного элемента VT1 используется транзистор КТ916А.
Рассчитаем элементы МКЦ.
Значения выходных параметров транзистора КТ916А возьмем из пункта 6.2, где рассчитана эквивалентная схема этого транзистора.
Нагрузкой для предоконечного каскада является параллельное соединение Rвых. транзистора и R1 .Где R1– сопротивление, входящее в межкаскадную корректирующую цепь, рассчитанное в пункте 4.5.2.
6 Расчет входного каскада
6.1 Расчет рабочей точки
В качестве входного каскада используется транзистор КТ916А. Напряжение в рабочей точке будет равно:
Ток в рабочей точке изменяется в соответствии с коэффициентом усиления межкаскадной корректирующей цепи, которая рассчитана в пункте 5.4.
6.2 Расчет эквивалентной схемы транзистора
В качестве эквивалентной схемы расчитаем однонаправленную модель транзистора.
Рассчитаем элементы схемы, воспользовавшись справочными данными и формулами приведенными в пункте 4.3.2.
6.3 Расчет схемы термостабилизации
В входном каскаде используется схема активной коллекторной термостабилизации.
Рассчитаем элементы схемы воспользовавшись формулами приведенными в пункте 4.4.3 и рисунком 4.9.
6.4 Расчет входной корректирующей цепи
В качестве входной корректирующей цепи используется межкаскадная корректирующая цепь третьего порядка. Эквивалентная схема изображена на рисунке 5.1.
Рисунок 5.1 – Эквивалентная схема каскада
Рассчитаем элементы МКЦ.
Выходными параметрами в данном случае будут являться параметры генератора.
Свых=0;
Rвых=Rr=50 Ом
Значения входных параметров транзистора КТ916А возьмем из пункта 6.2.
КТ916А:
Нагрузкой для входного каскада является параллельное соединение Rвых. транзистора и R1. Где R1 – сопротивление, входящее в межкаскадную корректирующую цепь, рассчитанное в пункте 5.4.
7 Расчет разделительных и блокировочных конденсаторов
Рассчитаем разделительные конденсаторы по следующей формуле:
(7.1)
где Yн – искажения приходящиеся на каждый конденсатор;
R1 – выходное сопротивление транзистора;
R2 – сопротивление нагрузки;
В нашем случае число разделительных конденсаторов будет равно четырем. Расчитаем разделительные конденсаторы С1 , С6 , С11 , С16 , которые изображены на принципиальной схеме (см. Приложение А). Искажения, приходящиеся на каждый конденсатор, будут равны:
Тогда искажения в области низких частот найдем по формуле:
Найдем значение конденсаторов С1 , С6 , С11 , С16 по формуле (7.1).
Блокировочные конденсаторы С4 , С9 , С14 , определим из следующего условия:
(7.2)
где R – это сопротивление R2 в схеме активной коллекторной термостабилизации.
8 Заключение
В результате работы был рассчитан усилитель, который имеет следующие параметры:
1.Рабочая полоса частот 0.5 – 50МГц.
2.Допустимые частотные искажения 2дБ.
3.Коэффициент усиления 44дБ.
4.Питание Еп =20В.
5.Выходная мощность Рвых.=20Вт.
Усилитель имеет запас по усилению 14дБ, это необходимо для того, чтобы в случае ухудшения параметров отдельных элементов коэффициент передачи усилителя не опускался ниже заданного уровня.
Список использованных источников
1 Проектирование радиопередающих устройств./ Под ред. О.В. Алексеева. – М.: Радио и связь, 1987.- 392с.
2 Полупроводниковые приборы: транзисторы. Справочник / Под ред. Горюнов Н.Н. – 2-е изд. М.: Энергоатомиздат, 1985-903с.
3 Горбань Б.Г. Широкополосные усилители на транзисторах. – М.: Энергия, 1975.-248с.
4 Титов А.А., Бабан Л.И., Черкашин М.В. Расчет межкаскадной согласующей цепи транзисторного полосового усилителя мощности // Электронная техника СЕР, СВЧ – техника. – 2000. – вып. 1(475).
5 Цыкин Г.С. Усилительные устройства.-М.: Связь, 1971.-367с.
6 Титов А.А. Расчет корректирующих цепей широкополосных усилительных каскадов на биполярных транзисторах, http://referat.ru/download/ref-2764.zip.
7 Красько А.С. Проектирование аналоговых электронных устройств. - Томск: ТУСУР, 2000.-29с.
Приложение А
Принципиальная схема представлена на стр. 41.
Перечень элементов приведен на стр. 42,43.
|
| |||||||||||
| РТФ КП 468740.001 ПЗ | |||||||||||
| ШИРОКОПОЛОСНЫЙ | Лит | Масса | Масштаб | ||||||||
| Изм | Лист | Nдокум. | Подп. | Дата | УСИЛИТЕЛЬ ШИРОКОПОЛОСНЫЙ | ||||||
| Выполнил | Коновалов | КАЛИБРОВКИ | |||||||||
| Проверил | Титов | РАДИОВЕЩАТЕЛЬНЫХ СТАНЦИЙ | |||||||||
| СТАНЦИЙ | Лист | Листов | |||||||||
| ТУСУР РТФ | |||||||||||
| Принципиальная | Кафедра РЗИ | ||||||||||
| Схема | гр. 148-3 | ||||||||||
















