83252 (688758), страница 6
Текст из файла (страница 6)
3.1 Программа маркетингового исследования эластичности спроса
на холодильники
Маркетинговое исследование эластичности спроса на холодильники в г.Днепропетровске разбивается на 2 этапа:
- на 1 этапе - разведывательное маркетинговое исследование цен предложений на холодильники на рынке Днепропетровска для оценки сегментации рынка по потребительским свойствам холодильников и диапазонам цен предложений;
- на 2 этапе – описательное маркетинговое исследование эластичности спроса на холодильники в сегментах рынка, выделенных на 1 этапе разведывательного маркетингового исследования;
Ниже излагается программа маркетинговых исследований 2 этапа. Название программы:
«Описательное маркетинговое исследование эластичности спроса на холодильники в сегментах рынка, выделенных на 1 этапе разведывательного маркетингового исследования цен предложений на холодильники на рынке Днепропетровска».
1. Постановка и уточнение проблемы исследования:
1.1 Маркетинговое исследование цен предложений проводится в условиях большого города, т.е. рынок предложений характеризуется ситуацией близкой к совершенной конкуренции – большое количество продавцов и большое количество покупателей, т.е. отдельные продавцы не могут оказывать монопольное влияние на уровень цен предложений, а отдельные покупатели не могут оказывать монопольное влияние на уровень спроса.
1.2 Рынок предложений холодильников формируется в условиях отсутствия ограничений на доступность импортных или отечественных холодильников, т.е. на рынке между отечественной и импортной продукцией также существует совершенная конкуренция по потребительским свойствам.
2. Определение целей и задач исследования
Цель исследования — сбор информации по объемам спроса (покупок) холодильников, разбитых на сегменты рынка предложений, для выявления влияния цены холодильника в выделенном сегменте на фактический спрос (покупку) на него.
3. Определение объекта исследований
Объектом исследований являются 2-х камерные холодильники отечественного и импортного производства, предлагаемые к продаже в г.Днепропетровске, выделенные как основной (80%) сегмент предложений на рынке г.Днепропетровска.
4. Определение предмета исследований
Предметом исследований является влияние цены 2-х камерного холодильника на величину спроса на него (объема фактических покупок), позволяющее определить эластичность цен на холодильнике в отдельном структурированном сегменте рынка.
5. Уточнение (интерпретация, операционализация) основных понятий исследования
Потребительские свойства холодильников рассматриваются исходя из отнесения их к товарам нормального спроса, отдельным сегментом рынка выделяются «престижные» сверхдорогие модели холодильников класса товаров Веблена.
6. Предварительный системный анализ объекта исследований
Предварительный системный анализ рынка холодильников показывает, что разбиение на сегменты рынка предложений по потребительским свойствам проводится на основе классификации:
а) Технико-потребительские характеристики
- количество камер холодильника;
- общий объем камер холодильника;
- распределение общего объема камер холодильника между морозильной и холодильной камерами;
- количество компрессоров в холодильнике;
- габариты холодильника;
- наличие системы автоматической оттайки морозильной камеры;
- наличие противообледенительной системы («NoFrost”)
б) престижно – потребительские характеристики:
- холодильники производства Украины;
- холодильники производства стран СНГ;
- холодильники производства Восточной Азии;
- холодильники производства Европы;
- холодильники производства США и Канады
7. Выдвижение рабочих гипотез исследования
Основные рабочие гипотезы исследований состоят в жизненно-необходимой смене холодильника 1 раз в 10-15 лет, даже при низкой покупательной способности населения Украины. Таким образом спрос на рынке современных холодильников будет формироваться:
- для основной группы населения по основному фактору «стоимость-гарантийный срок эксплуатации» (экономика трудовой части населения);
- для нарождающегося среднего класса по фактору «средняя стоимость –хорошие рекомендации – многофункциональность» (экономика предприни-мателя);
- для «верхушки» общества по фактору «самая новая и престижная модель – независимо от высокой стоимости» (экономика люмпен-буржуазии и потребителей товаров Веблена).
8. Характеристика выборки
8.1 Единицы наблюдения
- марка холодильника, основные технические характеристики,
страна производства, цена
8.2 Тип выборки
- качественно- количественная, с единичными объектами
наблюдения и интервальной характеристикой цен
предложения;
8.3 Структура и объем выборки
- объем выборки – до 12000 моделей холодильников;
- структура выборки по маркам холодильников, основным техническим характеристикам, страна производства, цена
9. Методика и техника сбора и обработки первичной информации
9.1 Метод сбора информации
Обработка прайс-листов Интернет-магазинов по торговле
бытовыми приборами, представляющими один из каналов торговых
услуг оптово-розничных продавцов.
9.2 Рабочие документы исследований
Компьютерные файлы текстовой, графической и табличной
информации;
9.3 Первичная и вторичная обработка информации
Первичная обработка информации – размещение файлов
информации поиска в сети Интернет на диски локального
компьютера, вторичная обработка – перенос содержимого файлов в
структурированные «электронные таблицы EXCEL”
9.4 Техника обработки информации
10. Описание процесса проведения исследований
10.1 Этапы исследования
а) Поиск информации по фактическому спросу в сети Интернет
б) Копирование файлов текста, графики, таблиц по ценовым
предложениям на холодильники;
в) Структурирование информации в «электронных таблицах»
г) Статистическая и графо-аналитическая обработка информации в
«электронных таблицах»
д) Подготовка результатов в виде отчета
10.2. Сроки выполнения работ
а) 2 рабочих дня;
б) 3 рабочих дня;
в) 3 рабочих дня;
г) 2 рабочих дня;
д) 2 рабочих дня;
10.3 Характеристика исполнителей
Экономисты – опытные пользователи персональных компьютеров,
хорошо владеющие основами анализа в «электронных таблицах
EXCEL”
10.4 Характеристика форм отчетности
а) Первичные текстово-графические файлы (Приложение В)
б) Графики и таблицы, полученные в «электронных таблицах»
(приведены в разделах 3.2 -3.3)
Характер финансирования
Оплата после выполнения работ:
- амортизации использования персональных компьютеров;
- оплата трафика работы в сети Интернет;
- заработная плата исследователей –экономистов;
- оплата изготовления отчетов на бумаге и магнитных носителях.
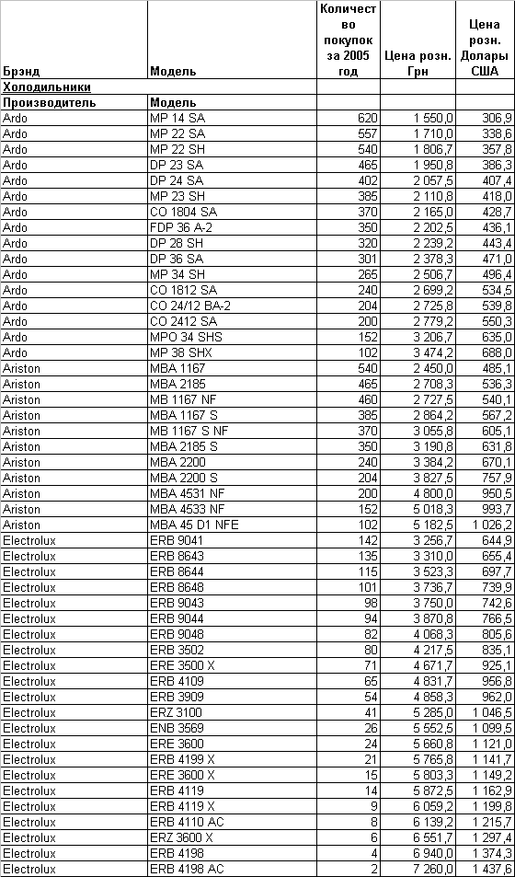
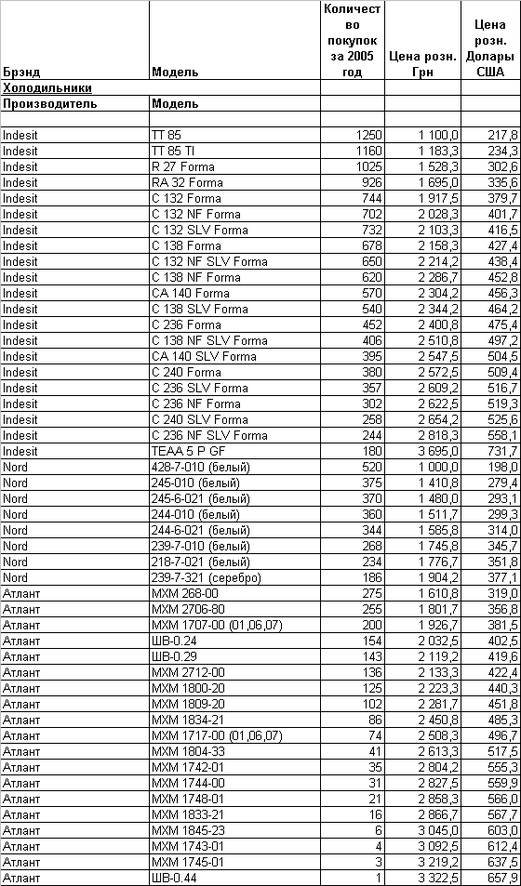
3.2 Статистическая выборка стоимости различных моделей холодильников и уровня продаж по каждой марке
На рис.3.1 и в табл. 3.1 представлены статистические выборки по покупке различных моделей отечественных и импортных холодильников в 2005 году в г.Днепропетровске, использованные для анализа спроса в курсовой работе.
На рис.3.2 представлен сравнительный анализ ценовых сегментов для холодильников всех марок, представленных на рынке г.Днепропетровска.
Как показывают данные, представленные на рис.3.1, экспериментальные данные по спросу на холодильники группируются в две выборки:
- отечественный холодильник “NORD” и холодильник «Атлант», произведенный в СНГ;
- импортные холодильники производства Германии, Швеции, Кореи и др.
Рис.3.1 Статистика покупок холодильников различных марок в 2005 году (экспериментальные кривые спроса)
Таблица 3.1
Статистика покупок холодильников в 2005 году в г.Днепропетровске
Продолжение табл. 3.1
3.3 Оценка показателей кривых эластичности спроса на отдельные одели холодильников
Обработка показателей кривых эластичности проведена в «электронных» таблицах EXCEL-2000 по алгоритмам раздела 2.
На рис.3.3 представлены результаты первичного этапа обработки, т.е. исследование зависимостей относительного снижения покупательного спроса при относительном повышении цены холодильника от минимальной цены для каждой из марок. Такая относительная обработка позволяет сравнивать показатели для различных ценовых категорий холодильников.
Рис.3.3. Статистическая обработка экспериментальных кривых спроса
на холодильники в относительных показателях
На рис.3.4 – 3.6 представлены результаты расчета коэффициентов элас-тичности и построения экспериментальных кривых эластичности
Рис.3.4. Построение осредненных кривых показателей коэффициента спроса для различных диапазонов изменение цен (холодильники марки ELECTROLUX, Швеция)
Рис.3.5. Построение осредненных кривых показателей коэффициента спроса для различных диапазонов изменение цен (холодильники марки ARISTON, Италия)
Рис.3.6. Построение осредненных кривых показателей коэффициента спроса для различных диапазонов изменение цен (холодильники марки ARDO, Италия)
Как показывают данные статистической обработки, произведенной в «электронных» таблицах EXCEL-2000, представленные на рис.3.4 – 3.6 показатели коэффициента эластичности в различных ценовых диапазонах свидетельствуют, что :
- только в диапазоне до 20-30% повышения цены от минимальной для
каждой из моделей холодильников коэффициент эластичности больше
единицы;
- при ограниченной покупательной способности жителей Украины
дальнейшее повышение цен ведет к переходу в неэластичный диапазон,
хотя при существующем социальном расслоении общества и в этом
диапазоне есть свои покупатели (диапазон товаров Веблена).
ВЫВОДЫ
В курсовой работе представлены результаты проектирования и проведения маркетингового исследования эластичности спроса на холодильники в г.Днепропетровске (более 40 производителей холодильников мира, более 1700 моделей холодильников, более 12000 ценовых предложений от продавцов), которое логически разбито на 2 этапа:
- на 1 этапе - разведывательное маркетинговое исследование цен предложений на холодильники на рынке Днепропетровска для оценки сегментации рынка по потребительским свойствам холодильников и диапазонам цен предложений;
- на 2 этапе – описательное маркетинговое исследование эластичности спроса на холодильники в сегментах рынка, выделенных на 1 этапе разведывательного маркетингового исследования;
Предварительный системный анализ рынка холодильников показал, что разбиение на сегменты рынка предложений по потребительским свойствам целесообразно проводить на основе классификации:
а) Технико-потребительские характеристики
- количество камер холодильника;
- общий объем камер холодильника;
- распределение общего объема камер холодильника между морозильной и холодильной камерами;
- количество компрессоров в холодильнике;
- габариты холодильника;
- наличие системы автоматической оттайки морозильной камеры;
- наличие противообледенительной системы («NoFrost”)
б) престижно – потребительские характеристики:
- холодильники производства Украины;
- холодильники производства стран СНГ;
- холодильники производства Восточной Азии;
- холодильники производства Европы;
- холодильники производства США и Канады
Основные рабочие гипотезы проведенных исследований состоят в жизненно-необходимой смене холодильника 1 раз в 10-15 лет, даже при низкой покупательной способности населения Украины. Таким образом, спрос на рынке современных холодильников формируется:















