14613 (686243), страница 6
Текст из файла (страница 6)
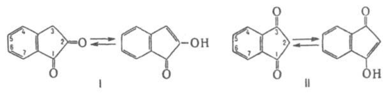
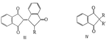
Существуют 1,2-И. (формула I) и 1,3-И. (II); молярная масса 146,14. 1,2-И. - желтые кристаллы; температура плавления - 95 °С; хорошо растворяются в кипящей воде. При нагревании с 2 молями Вr2 в уксусной кислоте (которой - ацетат Na или НВr) превращается в 3,3-дибром-1,2-индандион; окисляется, например Н2О2 в смеси разбавленной соляной кислоты и метанола до гомофталевой кислоты. Получают 1,2-И. препаративно окислением 2-гидрокси-1-инданона действием СrО3 в горячей воде. 1,3-И. бесцветные кристаллы; температура плавления 129-131 °С (с разложением); легко растворяются в горячем бензоле, не растворяются в воде и лигроине, растворяются в водных растворах щелочей с появлением интенсивной желтой окраски. Действием избытка РСl5 при 60 °С превращением в 1,1,3,3-тетрахлориндан; восстанавливается Н2 в спирте (катализатор - Pd или Pt) до индана. Вступает в реакции по активной метиленовой группе: при действии 2 молей бензилхлорида (кaтализатор - C2H5ONa) дает 2,2-дибензил-1,3-индандион и бензилбиндон (III, R = СН2С6Н5), с 1 молем бензальдегида (110-120 °С, кат.- пиперидин) - 2-бензилиден-1,3-индандион; образует биндон (III, R = Н) при действии концентрированной H2SO4 (20 °С). Легко вступает в реакцииции электроф. замещения, нитруется в уксусной кислоте при 20 °С с образованием 2-нитро-1,3индандиона, при нагревании с HNO3 в уксусной кислоте окисляется до фталевой кислоты, с реактивами Гриньяра дает 1-алкил-1-гидрокси-3-инданоны.
Получают 1,3-И. омылением концентрированной H2SO4 (80 °С) этилового эфира 1,3-диоксоиндан-2-карбоновой кислоты или диэтилового эфира (фталиденмалоновой кислоты:
1,3-И. биологически инертен. Большое практическое значение имеют его производные по атому С-2, обладающие биол. активностью. 2-Арил-1,3-индандионы получают взаимодействие фталевого ангидрида и арилуксусных к-т с послед. изомеризацией образующихся бензилиденфталидов (кат. - CH3ONa или C2H5ONa). 2-Фенил-1,3-индандион (т. пл. 148-149 °С) -антикоагулянт крови (фенилин) мягкого действия (IV, R = Н, R' = С6Н5). В качестве антикоагулянтов могут быть использованы также его 4'-хлор-, 4'-бром- и 4'-метоксизамещенные (температура плавления 142-144 °С, 142-146 °С, 152-154°С соответственно). 2-Фенил-1,3-индандион легко взаимодействует по атому С-2 с формальдегидом, образуя 2-гидроксиметил-2-фенил-1,3-индандион антикоагулянт омефин; также легко нитруется, галогенируется, сульфируется по атому С-2. 2-Метиламино-2-фенил-1,3-индандион обладает снотворным действием, 2-этиламино-2-фенил-1,3-индандион - противосудорожным. Конденсацией диметилфталата с метилкетонами (катализатор - CH3ONa) получают 2-ацил-1,3-индандионы, используемые как родентициды 2-(дифенилацетил)-1,3-индандион [IV, R = Н, R'= СОСН(С6Н5)2], выпускаемый под назв. "дифацион", а также 2-пивалоил-1,3-индандион [IV, R = Н, R' = СОС(СН3)3] и 2-изовалероил-1,3-индандион [IV, R = Н, R' = COCH2CH(CH3)2]. [2]
Фентолацин. Перспективным препаратом признан фентолацин 2- (фенил-толилацетил) -индандион-1,3 (С24Н180з).
Он обладает сильным разовым действием на грызунов. ЛД50 его для белых крыс 2,62 мг/кг, а при четырехкратном применении ЛД50 (суммарная) 3,32 мг/кг. Коэффициент кумуляции равен 1,26.
Домашние животные (крупный и мелкий рогатый скот, свиньи и куры) в десятки раз устойчивее крыс к этому препарату.
Фентолацин безопасен при дератизации свинарников и высокоэффективен как ратицид. Разработаны производственные формы этого препарата. Вместо ратиндана, содержащего 0,18% антикоагулянта и малоэффективного при опыливании земляных нор грызунов, предложен препарат, содержащий 0,25% фентолацина и 99,75% талькомагнезита, высокоэффективный и в приманках, и при опиливании.
Для использования по влажных условиях объектов животноводства предложена и разработана принципиально новая форма этого ратицида — пенолацин (пенообразующий состав в аэрозольной упаковке), содержащий 0,5% 2-фенилтолилацетил-инданднона-1,3 и употребляемый как для изготовления приманок, так и для закупорки нор ядовитой пеной. Пенная пробка сохраняется в норах до одного месяца и без всякой приманки может поедаться грызунами.
Третьей формой фентолацина, предложенной Д. Ф. Трахановым, являются спиртово-масляные концентраты и растворы этого антикоагулянта.
Пивалил. Препарат содержит около 98% 2-иивалилнп-дандиона-1,3 (С14Н14О3)2 (молекулярный вес 230,3) и представляет собой сыпучий порошок от желтого до коричневого цвета, нерастворимый в воде, по растворяющийся в органических растворителях. Синтез препарата разработай в СССР в Институте органического синтеза АН Латвийской СССР и выпускается в виде рабочей смеси с крахмалом в разведении 1:200 под названием ратиидан-4.
Пивалил менее токсичен для грызунов, чем зоокумарин и ратиндан. Летальная доза его для серой крысы 0.5 мг (при четырехкратном поедании). Однако, как показали опыты Л. Л. Пасешника (1957), пивалил обладает заметным синергизмом по отношению к зоокумарину. Смесь, составленная из равных частей этих препаратов, обладает большей токсичностью, чем каждый из них в отдельности.
Установлено также, что пивалил, впервые предложенный как инсектицид, обладает свойствами системного препарата, т. е. при введении его в организм грызуна вызывает отравление кровососущих паразитов (например, блох), питающихся на зверьке.
Зердан-блок (в двух модификациях: Зердан-блок-К и Зердан-блок-М) представляет собой парафинированные блоки зеленоватого цвета. Действующее вещество - изоиндан. Концентрация ДВ в блоке "Зердан-блок-К" - 0,006%, в блоке "Зердан-блок-М" - 0,01%.
Модификация "Зердан-блок-К" предназначена для борьбы с серыми и черными крысами и полевками; модификация "Зердан-блок-М" - с домовыми мышами и полевками. "Зердан-блок" - родентицид второго поколения, его смертельная доза может быть получена грызунами в рационе питания в течение одного-двух дней. Поэтому блоки могут применяться по пульсирующей схеме раскладки, при которой высокая эффективность сочетается с экономией средства и трудозатрат. Хорошая сохранность блоков позволяет использовать их для создания длительных точек отравления. Для повышения эффективности блоков при борьбе с крысами рекомендуется ограничить доступность для них других источников корма. Клиника отравления типична для антикоагулянтов. Гибель грызунов наступает на 3-15 сутки.
Средство "Зердан-блок" обладает высокой кумулятивной активностью
(Ккум-1,3), свидетельствующей об его опасности при систематическом поступлении в организм. По острой токсичности относится к IV классу мало опасных веществ (ГОСТ 12.1.007-76). Разовая LD - 50 средства "Зердан-блок-М" для крыс – 18865 мг/кг. Кожно-резорбтивным и местно-раздражающим действиями не обладает.
Токсические характеристики блоков определяются свойствами действующего вещества. Изоиндан: 2 - [фенил-(4-изопропилфенин)-ацетил]-индан-1,3-дион оказывает противосвертывающее действие на кровь, изменяет проницаемость стенок кровеносных сосудов, в результате чего развивается кровоточивость, приводящая к гибели животных; характеризуется чрезвычайно высокой кумулятивной активностью (Ккум<1). Изоиндан высокотоксичен для грызунов: ЛД50 при однократном введении в желудок крыс - 0,5 мг/кг. ПДК р.з. для изоиндана 0,01 мг/кг.
Средство предназначено для борьбы с грызунами внутри и вокруг жилых домов, промышленных и сельскохозяйственных строений и других построек, на садовоогородных участках. Пригодно для сухих и влажных помещений, канализационной сети, подвалов, погребов, подземных сооружений.
Гельцин предназначен для борьбы с домовыми мышами, черными и серыми крысами и другими грызунами, обитающими в постройках человека и имеющими унитарное и эпидемиологическое значение.
Гельцин представляет собой гелеобразную массу оранжевого цвета,
содержащую антикоагулянт индаидионового ряда - этипфенацин в концентрации 0,2%.
Этилфенацин: 2-[фемил-(4-этилфенил)-ацетил] - индан-1,3-дион оказывает противосвертывающее действие на кровь, изменяет проницаемость стенок кровеносных сосудов, в результате чего развивается кровоточивость, приводящая к гибели животных; характеризуется чрезвычайной кумулятивной активностью (Ккум <1).
Этилфенацин высокотоксичен для грызунов: ЛД50 при однократном введении в желудок серых крыс - 3,1 мг/кг, черных крыс - 7,1 мг/кг, домовых мышей - 250 мг/кг. ЛД50 кумулятивная для серых крыс - 2,1 мг/кг, для домовых мышей - 3,0 мг/кг. Гибель грызунов наступает на 3-15 сутки.
Средство гельцин относится к III классу умеренно опасных веществ (ГОСТ 12.1.007-76). ЛД50 при введении гельцина в желудок крыс - 2053 мг/кг. Обладает слабым местно-раздражающим (на кожу) и кожно-резорбтивным свойствами. Представляет опасность при систематическом попадании в организм.
Гриндан (в двух модификациях Гриндан-У и Гриндан-К). Родентицидное средство "Гриндан" представляет собой полностью готовые к применению гранулы, отдельные зерна (крупа) или комочки из зерен (крупы) и мелких пищевых частиц, окрашенные в серовато-зеленый цвет. Имеется две модификации: Гриндан-У" (универсальный) и "Гриндан-К" (крысиный). "Гриндан-У" предназначен для рорьбы с домовыми мышами, черными и серыми крысами, "Гривдан-К" - для борьбы с черными и серыми крысами.
Средство "Гриндан" имеет инсектицидный эффект, предотвращающий порчу приманки жуками-вредителями запасов. В местах раскладки приманки может вызывать гибель тараканов.
"Гриндан-У" и "Гриндан-К" содержат токсиканты родентицидного действия -изоиндан и инсектицидного альфаметрин. Концентрация изоиндана в "Гриндане-У" - 0,01%, в "Гриндане-К" - 0,003%; содержание альфаметрина в обеих модификациях Гриндана" одинаковое - 0,005%.
Изоидан: 2-/фенил-(4-изопропилфенил)-ацетил/-индан-1,3-дион оказывает на кровь противосвертывающее действие, вызывает повреждения стенок кровеносных сосудов, в результате чего развивается кровоточивость, приводящая к гибели теплокровных животных. Токсичность изоиндана для черных крыс и дымовых мышей выше, чем других отечественных антикоагулянтов.
Альфаметрин/R-цис-альфа-RS-3-фенокси-альфацианбензиловый эфир 2,2-диметил-3-(2,2-дихлорэтенил) циклопропан-1-карболовой кислоты - синтетический пиретроид контактно-кишечного действия. Разрушается в приманке при ее хранении на свету с доступом воздуха. В связи с этим инсектицидное действие приманки наблюдается в процессе ее хранения и в первый месяц после вскрытия упаковки.
Средство "Гриндан" обладает высокой кумулятивной активностью (Ккум-1,3), свидетельствующей об опасности препарата при его систематическом поступлении в организм. По острой токсичности относится к 4 классу мало опасных веществ (ГОСТ В.1.007 - 76). Разовая средне-смертельная доза приманки "Гриндан-У" для крыс – более 15 г/кг. Местно-раздражающим действием не обладает. Имеется потенциальная опасность резорбции через кожу.
Родентицидный эффект достигается после 1-2 дней поедания приманки грызунами; гибель отсрочена на 3-15 дней.
ИНДАН - ФЛЮИД представляет собой жидкий концентрат отечественного антикоагулянта изоиндана или его импортного аналога - хлорофацинона в количестве 0,25%. Средство содержит привлекающие грызунов добавки и окрашено в интенсивно зеленый цвет.
ИНДАН - ФЛЮИД предназначен для приготовления отравленных приманок для борьбы с грызунами внутри и вокруг жилых домов, промышленных и сельскохозяйственных строений и других построек, на садово-огородных участках. Клиника отравления типична для антикоагулянтов. Гибель грызунов наступает на 3-15 сутки.
Средство ИНДАН - ФЛЮИД обладает высокой кумулятивной активностью (К кум. = 1,04), свидетельствующей об его опасности при систематическом поступлении в организм. По острой токсичности относится к Ш классу умеренно опасных веществ (ГОСТ 12.1.007-76). Разовая ЛД50 средства для крыс 540 мг/кг. Местно-раздражающими действиями не обладает, но способно к резорбции через кожу.
Токсикологические характеристики средства определяются свойствами действующего вещества. Изоиндан: 2-[фенил-(4-изопропилчфенил)-ацетил]-индан - 1,3 - дион. Характеризуется чрезвычайно высокой кумулятивной активностью (К-4кум-0<1). Высокотоксичен для грызунов: ЛД50 при однократном введении в желудок крыс -0,5 мг/кг. Хлорофацинон: 2-(2-(4-хлорфенил)-2-фенилацетил)-1,3 индандион. По острой токсичности относится к чрезвычайно опасным веществам 1-го класса (ЛД50 в желудок крыс = 3,15 мг/кг, на кожу кроликов = 3 мг/кг, CL50 - 1мг/куб.м). Обладает избирательностью действия в отношении грызунов. Картина отравления типична для антикоагулянтов.
Вещества индандионового ряда оказывают противосвертывающее действие на кровь, изменяют проницаемость стенок кровеносных сосудов, в результате чего развивается кровоточивость, приводящая к гибели животных; ПДК-4р.з-0 для антикоагулянтов индандионового ряда 0,01 мг/м - 53 - 0.
Ратиндан, или дефиниции (2-дифенилацетил-1,3 индадион) С23Н16О3. Кристаллический порошок светло-желтого цвета без вкуса и запаха, в воде не растворим. Растворяется в органических растворителях.
Температура плавления 146—147°. Препарат синтезирован в СССР в Институте органического синтеза АН Латвийской ССР.
Промышленность изготовляет смесь, содержащую одну часть препарата па 200 частей (0,5%) наполнителя (крахмала). Используют препарат для изготовления отравленных пищевых, жидких приманок, а также для опиливания нор, выходов из них, путей передвижения грызунов.
При приготовлении пищевых отравленных приманок рабочую смесь препарата добавляют к пищевой основе в количестве 3%. Однократная летальная доза ратиндана для мышей 4 мг, а для крыс 6—8 мг. После поедания приманок с ратинданом крысы обычно погибают через 5—8 дней. Из полезных животных наиболее устойчивы к ратиндану куры, овцы и коровы. По данным Л. В. Егоровой (1959), при скармливания овцам 4 кг приманки
(600 мг чистого препарата) у них не наблюдалось внешних признаков заболевания. Поросята, получившие чистый дифенацин перорально в дозах до 20 мг/кг, не заболевали. У кур, которым вводили препарат в количестве до 900 кг/кг, также не было отмечено каких-либо явлений отравлении. Кошки, свиньи, утки и цыплята более чувствительны к этому препарату: так, для кошек смертельная доза составляет 5 мг/кг. Однако в связи с тем, что в приманках содержится очень немного активнодействующего вещества, ратиндан практически не опасен для птиц и домашнего скота. Для предупреждения случайною отравления ратиндан выпускается в виде подкрашенного в голубой цвет порошка. При хранении в сухом помещении в течение 2 лет ратиндан не теряет ядовитых свойств. Кроме ратиндана, в практике дератизации Находя г применение и другие, родственные ему соединения, такие, как 2-фепилтолилацетил-1,3-иидаидиои (ратин-дан-2) и 2-хлорфеиилацетил-1,3-индапдиоп (ратиидан-3). Оба ни соединения также созданы в Институте органического синтеза АН Латвийской ССР. По своей токсичности, характеру действия и Другим особенностям ратиндан-2 и ратиндаи-3 практически не отличаются от ратиндана. Отмечено, что при однократном поедании полевками приманок с ратииданом-3 достигается 75% их гибель, а при троекратном - 100% гибель. [11]
3.3.1 Механизм действия
По своей токсичности ратиндан не уступает зоокумарину, поскольку в препарате имеются такое же незначительное количество (0,5%) АДВ, а по дозировке даже превосходит его (3 г па приманку вместо 5 г).
По своему действию ратиндан очень сходен с зоокумарином. При поступлении в организм больших количеств ратиндана возникает сосудистый коллапс. Смертельная доза его для собак составляет примерно 75—100 мг. Другие животные довольно устойчивы к этому соединению.
Не исключается возможность хронической интоксикации у птиц, если они имеют доступ к отравленным приманкам.
3.3.2 Клинические признаки
Первые признаки отравления появляются после сравнительно длительного периода (несколько недель) кормления. На фоне удовлетворительного общего состояния отмечается образование различной величины и формы припухлостей, безболезненных, плотных, со временем флюктуирующих. В последующем появляется бледность слизистых оболочек, общая слабость, кровотечения из открытых полостей тела, апатия, затруднения в движениях, учащение дыхания и сердцебиения, стойкая атония преджелудков.
В дальнейшем наступает атаксия, понижается температура тела, общее состояние ухудшается. Через несколько дней животные погибают от резко выраженной сердечной недостаточности.
Бывают случаи длительного течения заболевания. При своевременном исключении подозреваемого корма выздоровление происходит очень медленно.
3.3.3 Патологоанатомические изменения
Характеризуются множественными и внутренними кровоизлияниями. Разнообразные по форме и величине гематомы обнаруживаются в подкожной клетчатке, реже — в скелетных мышцах. Обширные геморрагии имеются в большей части внутренних органов, под серозной и слизистой оболочками желудочно-кишечного тракта, брюшиной, на эпикарде и эндокарде. В брюшной и грудной полостях — кровянистая жидкость. Нередко почки находятся в студневидной кровянистой массе. В гематомах и полостях сердца кровь водянистая, несвернувшаяся. Мелкие кровоизлияния обнаруживаются также в головном мозге. При вскрытии павших грызунов обширные геморрагии могут быть обнаружены в мочеполовой системе, в области сердца, легких и, реже, в пищеварительном тракте, иногда отмечается кровянистый экссудат около носа и в моче.
3.3.4 Лечение
При попадании яда внутрь следует немедленно дать пострадавшему выпить несколько стаканов теплой воды, после чего вызвать рвоту механическим раздражением задней стенки глотки. Процедуру повторить. Затем дать активированный уголь и солевое слабительное (столовую ложку глауберовой соли в двух стаканах воды). При попадании яда на кожу тщательно промыть теплой водой с мылом. При попадании в глаза следует тотчас обильно промыть теплой водой, а затем 2% раствором питьевой соды. После всех процедур дать пострадавшему крепкий сладкий чай с аскорбиновой кислотой.
Пострадавшего следует немедленно отстранить от контакта с родентицидами; участки кожи, контактировавшие со средствами следует тщательно вымыть с мылом, при попадании средства в глаза тщательно промыть водой, при проглатывании – немедленно вызвать рвоту и срочно обратиться к врачу. Антидоты - Викасол (витамин "К") и Фита-менадион (витамин "К"). [14, 15]
3.3.5 Химико-токсикологический анализ
Определение индандиона производиться в условиях лаборатории согласно установленным правилам.
Заключение
Внимательное ознакомление со свойствами перечисленных ядов закономерно приводит к выводу, что применение антикоагулянтов крови для уничтожения грызунов в открытых местообитаниях населенных пунктов из-за большого объема этих работ и ограниченных сроков ее проведения менее рационально, чем ядов острого действия. Необходимость многократной подачи приманки с этими родентицидами затрудняет проведение дератизации, приводит к ее удорожанию и увеличивает риск случайного отравления домашних животных и людей. Правда, вместо многократной раскладки приманки можно увеличить нормы ее расхода (в 1,5-2 раза), ограничившись в этом случае однократной обработкой территории, что позволяет сократить время работ и до некоторой степени уменьшить затраты на проведение дератизации.
В группе родентицидов-антикоагулянтов только бродифакум (в Казахстане пока не зарегистрирован) в какой-то мере обладает необходимыми качествами, делающими его сравнимым при использовании на открытых пространствах с ядами острого действия. Однако он значительно дороже фосфид цинка. Кроме того, последний производится в Казахстане и поэтому его использование, помимо всего прочего является инвестированием собственной экономики, а не экономики зарубежных государств. В будущем, возможно, могут быть использованы и другие яды - по мере их испытания и регистрации в Казахстане.
Список используемой литературы
1. В.И. Вашков, С.В. Вашняков, В.Г. Поляжаев, Ю.В. Тощигин, И.С. Туров. « Борьба с грызунами в городах и населенных пунктах сельской местности ». М.: Издательство «Медецина» 1974; С. 3-90;
2. http://www.xumuk.ru;
3. С.В. Баженов, « Ветеринарная токсикология», издание-4-е доп. и испр. Л.: Издательство «Колос» 1970; С.161;
4. Г.А. Хмельницкий, В.Н. Локтинов, Д.Д. Полоз. « Ветеринарная токсикология»-М.: «Агропромиздат», 1987; С. 115-118;
5. К. И. Скрябин «Ветеринарная энциклопедия», том- 6. М.: Издательство « Советская энциклопедия» 1989; С. 306;
6. С.В. Баженов « Ветеринарная токсикология», издание-3-е, пер.и доп. Л.: Издательство «Колос» 1964; С. 143;
7. Б.И. Антонова « Лабораторные исследования в ветеринарии: химико-токсикологические методы». Справочник.-М.: «Агропромиздат», 1989; С. 229-231;
8. В.П. Шишков. «Ветеринария». Большой энциклопедический словарь- М.: науч.изд. «Большая Российская энциклопедия» 1998; С. 180;
9. http://www.cnshb.ru;
10. К. И. Скрябин «Ветеринарная энциклопедия», том- 2. М.: Издательство « Советская энциклопедия» 1969; С. 1148-1178;
11. Сборник инструктивно-методических материалов по дезинфекции и дератизации.-Алматы: Издательство «Арыс» 2001; С. 3-87;
12. В.Н.Жуленко, М.И. Рабинович, Г.А. Талонов. М.: Издательство «Колос» 2004; С. 88;
13. Н.И. Никифоров. «Меры борьбы с грызунами». М.: Издательство «Россельхозиздат» 1917; С.28;
14. П.Е. Радкевич. «Ветеринарная токсикология». М.: Издательство «Колос» 1972; С.92;
15. Е.А. Биртранов и др. «Руководство по клинической токсикологии».Алматы: Издательство «Алаш» 2006; С. 173-174.
1>1>1>















