14613 (686243)
Текст из файла
Министерство образования и науки Республики Казахстан
Семипалатинский Государственный Университет имени Шакарима
Аграрный факультет
Кафедра «Ветеринарной медицины»
Курсовая работа
Фармакология с токсикологией и токсикологическим анализом. Зооциды
Выполнила: студентка гр. ВС-520
Ревкова А.А.
Проверил: руководитель
Боярченко Е.К.
2008
Содержание
Введение
1. Общая характеристика препаратной группы
2. Неорганические препараты
2.1 Цианистые соединения
2.1.1 Механизм действия
2.1.2 Клинические признаки
2.1.3 Диагноз
2.1.4 Лечение
2.1.5 Патологоанатомические изменения
2.1.6 Химико-токсикологический анализ
2.2 Цинк и его соединения
2.2.1 Механизм действия
2.2.2 Клинические признаки
2.2.3 Лечение
2.2.4 Патологоанатомические изменения
2.2.5 Химико-токсикологический анализ
2.3 Производные фтора и бария
2.3.1 Механизм действия
2.3.2 Клинические признаки
2.3.3 Лечение
2.3.4 Барий углекислый
2.3.5 Механизм действия
2.3.6 Клинические признаки
2.3.7 Патологоанатомические изменения
2.3.8 Диагноз
2.3.9 Лечение
3. Органические препараты
3.1 Производные оксикумарина
3.1.1 Механизм действия
3.1.2 Клинические признаки
3.1.3 Патологоанатомические изменения
3.1.4 Диагностика
3.1.5 Лечение
3.1.6 Химико-токсикологический анализ
3.2 Производные тиомочевины
3.2.1 Механизм действия
3.2.2 Клинические признаки
3.2.3 Патологоанатомические изменения
3.2.4 Лечение
3.2.5 Химико-токсикологический анализ
3.3 Производные индандиона
3.3.1 Механизм действия
3.3.2 Клинические признаки
3.3.3 Патологоанатомические изменения
3.3.4 Лечение
3.3.5 Химико-токсикологический анализ
Заключение
Список используемой литературы
Введение
В комплексе ветеринарных профилактических и противоэпизоотических мероприятий исключительно большое значение в настоящее время имеет борьба с мышевидными грызунами (крысами и мышами) в животноводческих и пищеводческих хозяйствах.
В условиях индустриального животноводства концентрируется огромное количество поголовья на ограниченных площадях помещений, увеличивается запас кормов, производится их переработка, что создает благоприятные условия для распространения крыс и мышей.
Учение академика Е.Н. Павловского о трансмиссионных болезнях раскрыло механизм передачи болезней от грызунов к людям и животным через кровососущих клещей и насекомых.
Ряд инфекций например клещевой тиф, грызуны передают человеку и животным через клещей, блох и других насекомых, паразитирующих на них.
Многие инфекции грызуны могут переносить механически загрязняя ими продукты питания, фураж, воду и подстилку.
Таким образом мышевидные грызуны, и в первую очередь крысы и мыши, являются постоянным очагом и резервуаром возбудителей целого ряда болезненных микробов.
Если учесть, что грызуны обладают большой подвижностью, плодовитостью и быстротой роста, то очевидна большая эпидемическая и эпизоотическая опасность их как носителей и переносчиков многих инфекционных и инвазионных заболеваний, кроме того, грызуны поедают значительную часть продовольственного зерна и кормов, а серые крысы причиняют большой ущерб свиноводческим, птицеводческим и кролиководческим хозяйствам, нередко уничтожая и уродуя большое количество полученного приплода.
Приведенные данные свидетельствуют о большом значении дератизации как одного из существенных звеньев в общем комплексе мероприятий по борьбе с мышевидными грызунами.
Наиболее прост, дёшев и эффективен метод отравленных приманок, то есть продуктов, кормов или воды, смешанных в определённой пропорции с ядами — ратицидами. [1]
1. Общая характеристика препаратной группы
ЗООЦИДЫ (от греч. zоon - животное и лат. caedo - убиваю), химические средства уничтожения вредителей из числа позвоночных. К ним относятся родентициды, авициды и ихтиоциды. Родентициды уничтожают грызунов, в особенности крыс (ратициды). Их используют преимущественно в виде отравленных пищевых приманок или питья. Исключения состовляют лишь цианистые соединения, которые при своем разложении выделяют летучую синильную кислоту. Следовательно, вещества действуют губительно при условии их попадания в желудочно-кишечный тракт.
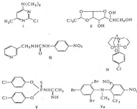
Различают родентициды острого (одноразового) и хронического действия. К первым относятся Tl2SO4, BaCO3, некоторые соединения As, однако практическое применение находит лишь фосфид цинка Zn3P2 (ЛД50 15-30 мг/кг), выделяющий при гидролизе токсичный РН3 (здесь и далее ЛД50 приведены для крыс при пероральном введении). Издавна применяют природные соединение сциллирозид - гликозид, содержащийся в красном морском луке (ЛД50 0,4-0,7 мг/кг). Ограниченное применение находят FCH2COONa (ЛД50 0,22 мг/кг) и FСН2СОNН2 - яды, для которых противоядие не известно; для борьбы с крысами используют α-нафтилтиомочевину (ANTU, крысид; ЛД50 6-8 мг/кг), с мышами - кримидин (формула I), с сусликами и полевками - глифтор (технический 1,3-дифтор-2-пропанол); за рубежом - хлоралозу (II), которая усыпляет мышей и при температурах ниже 15°С они погибают от переохлаждения. В последнее время в качестве родентицидов предложены: пиринурон (III), 5-(4-хлорфенил) силатран (IV; ЛД50 1-4 мг/кг), фосацетил (гофацид, V; ЛД50 3,6-7,5 мг/кг), каянекс CH2(NHNHCSNH2)2 (ЛД50 25-32 мг/кг), а также брометалин(Va;ЛД502-5мг/кг).
Для обработки складских помещений, трюмов, вагонов, затравки нор используют преимущественно фумиганты - SО2, HCN, CH3Br, хлорпикрин, фосфид Аl, РН3 и цианплав (технический NaCN, выделяющий HCN был запрещен еще в СССР), а также выхлопные газы автомашин и аммиачную воду. Родентициды хронического действия (антикоагулянты) наиболее эффективны и безопасны для людей. Их действие как антагонистов витамина К1 основано на ингибировании синтеза протромбина, в результате чего нарушается свертывание крови животных. К антикоагулянтам относятся производные 4-гидроксикумарина - варфарин (зоокумарин, в формуле VI R = С6Н5; ЛД100 4-8 мг/кг), кумахлор (в формуле VI R = 4-СlС6Н4), кумафурил (в ф-ле VI R = 2-фурил)и производные индандиона-пиндон (VII),
дифацинон (в формуле VIII R = Н; ЛД50 3 мг/кг) и хлорфацинон (в формуле VIIIR=Сl).
Активность варфарина возрастает при применении его в смеси с витамином D2, последний сам является 3. хронического действия, вызывающим перерождение стенок артерий, печени и почек. В связи с появлением крыс, устойчивых к ряду антикоагулянтов, найдены новые эффективные соединения - куматетралил (в формуле IX R = Н), дифенакум (в формуле IX R = 4-С6Н5С6Н4; ЛД50 1,8 мг/кг), бродифакум (в формуле IX R = 4-(4'-ВrС6Н4)С6Н4; ЛД50 0,27-0,65 мг/кг), действующий даже после однократного приема, а также бромадиолон (X).
Авициды используют для борьбы с птицами, выклевывающими семена на полях и создающих помехи на аэродромах и автострадах; их применяют преимущественно в виде пищевые приманок. В качестве авицидов может быть использованы эндрин и некоторые фосфорорганические соединения например фентион, мевинфос, паратион, гидрохлорид 3-хлор-n-толундина (старлицид), 4-аминопиридин (авитрол), применяются также хлоралоза и 2.2.2-трибромэтанол, действующие как снотворное. Однако авициды чаще всего применяют не как средства истребления, а для отпугивания (крик отравленных птиц предупреждает всю стаю). Ихтиоциды используют иногда для уничтожения сорной рыбы. Наиболее эффективен ротенон, норма расхода около 5 кг/(га.м); некоторое применение находит также антибиотик антимицин. Весьма ядовиты для рыб многие хлорорганические пестициды, например токсафен, эндрин, эндосульфан, однако из-за чрезмерной устойчивости они малопригодны для практические применения. По своей токсичности все зооциды относятся к группе высоко ядовитых веществ, их производство, хранение и применение допускается только с разрешения соответствующих государственных органов, при строгом соблюдении установленных правил. [2]
Среди применяемых в настоящее время зооцидов имеются как неорганические, так и органические соединения, в том числе даже растительного происхождения.
Неорганические зооциды представлены препаратами синильной кислоты фтористыми и бариевыми производными и фосфидом цинка.
Органические препараты подразделяются на три группы:
1) производные оксикумарина, главным представитель которых является зоокумарин; 2) производные тиомочевины, из котрых наиболее широко известен крысид; 3) производные сложного органического соединения индандиона – рантиндан и др.
2. Неорганические препараты
2.1 Цианистые соединения
Общая характеристика цианидов. К цианистым соединениям, или цианидам, относятся такие химические соединения, в молекулы которых входит радикал циан (С =N). Основным из них является цианистый водород, известный под названием синильной кислоты (НСN). С металлами он образует соли — цианистый калий и цианистый натрий. Все эти соединения в природе в свободном состоянии не встречаются. Группа циана входит и в молекулы более сложных соединений, являясь одновалентным радикалом, в частности в молекулу желтой [ К4Fе(СН)6] и красной [ К3Fе(СN)6] кровяной соли, а также в различные органические соединения в форме гликозидов.
Цианогенные гликозиды представлены в природе довольно широко. Растения, их содержащие, относятся к разным родам и пилам и произрастают на всех континентах. Условия образования этих гликозидов и все, что касается их токсикологии, будут рассмотрены в разделе о ядовитых растениях.
В данном же случае будут рассмотрены неорганические производные синильной кислоты, а также препараты и различные соединения, которые имеют отношение к сельскому хозяйству и поэтому представляют токсикологический интерес.
Синильная кислота применялась, при соблюдении необходимых мер предосторожности, для борьбы с вредителями в сельском хозяйстве, а также для дезинфекции железнодорожных вагонов. Она также занимала видное место среди боевых отравляющих веществ. В настоящее время использование этого чрезвычайно ядовитого соединения почти прекратилось.
Физико-химические свойства синильном кислоты и ее соединений. Синильная кислота (НСN) —подвижная прозрачная жидкость с температурой кипения +25,6° и замерзания —13,3°, легко испаряется и с водой смешивается во всех отношениях. Газообразная синильная кислота легче воздуха, что позволяет использовать ее как инсектицид — фумигант, имеющий большие преимущества по сравнению с другими фумигантами — хлорпикрином и дихлорэтаном. Она превосходит по своей эффективности последние I в качестве зооцида. Высокая степень опасности для людей в обращении с синильной кислотой исключает возможность непосредственного ее использования. Поэтому для получения достаточной концентрации паров синильной кислоты используют в качество исходных ядохимикатов цианистый натрий и цианплав.
Цианистый натрий (цианид натрия), NаСN — бесцветные-кристаллы (чаще всего в виде беловатой плавленой массы, гранул, плиток, кубиков), расплывающиеся на воздухе, хорошо растворимые в воде с гидролизом и выделением синильной кислоты. Цианид натрия обладает характерным запахом, напоминающим горький миндаль. Используется он как инсектицид в борьбе с карантинными вредителями цитрусовых и др.
Цианплав (черный цианид) – темно-серый пли черный порошок, содержащий до 42—47% цианидов. Под влиянием влаги разлагается, выделяя свободную синильную кислоту. Широко используется для борьбы с вредителями сельскохозяйственных растений (цитрусовых и чайных кустов), а также для уничтожения грызунов (сусликов и др.). Для обезвреживания остатков цианплава используют соединения железа (железный купорос 20 г, соды 20 г па 1 л воды), которые переводят опасные цианистые соединения в безвредные железистосинеродистые. Используют цианплав методом фумигации.
2.1.1 Механизм действия
Синильная кислота является сильнейшим и самым опасным ядовитым веществом для человека, животных, птиц и насекомых. Все живые существа погибают при условии, если в воздухе содержится весьма незначительное количество газообразной синильной кислоты. Для пчел, шелкопряда и других полезных насекомых использование соединений цианидов представляет большую опасность.
Токсикодинамика синильной кислоты хорошо изучена. Ядовитость ее для теплокровных определяется свойством блокировать один из дыхательных ферментов (цианхромоксидазу)-чего резко снижается способность тканей потреблять кислород крови и развивается, кислородное голодание их. Характерным симптомом при этом будет одинаковая окраска венозной и артериальной крови.
Характеристики
Тип файла документ
Документы такого типа открываются такими программами, как Microsoft Office Word на компьютерах Windows, Apple Pages на компьютерах Mac, Open Office - бесплатная альтернатива на различных платформах, в том числе Linux. Наиболее простым и современным решением будут Google документы, так как открываются онлайн без скачивания прямо в браузере на любой платформе. Существуют российские качественные аналоги, например от Яндекса.
Будьте внимательны на мобильных устройствах, так как там используются упрощённый функционал даже в официальном приложении от Microsoft, поэтому для просмотра скачивайте PDF-версию. А если нужно редактировать файл, то используйте оригинальный файл.
Файлы такого типа обычно разбиты на страницы, а текст может быть форматированным (жирный, курсив, выбор шрифта, таблицы и т.п.), а также в него можно добавлять изображения. Формат идеально подходит для рефератов, докладов и РПЗ курсовых проектов, которые необходимо распечатать. Кстати перед печатью также сохраняйте файл в PDF, так как принтер может начудить со шрифтами.
















