14027 (685991), страница 2
Текст из файла (страница 2)
Vз.т. = BтрLhн,
где Bтр — ширина траншеи по дну, м; L — общая длина траншеи, м; hн — толщина недобора (см. табл. 1).
Объём работ по устройству приямков на дне траншеи:
Vп = abcL/l,
где a, b, c — размеры, м (принимается по СНиПу); L — протяжённость трубопровода, м; l — длина трубы или трубной секции, м.
Несущая способность труб в значительной мере зависит от характера опирания их на основание. Так, например, трубы, уложенные в грунтовое ложе с углом охвата 120 град., выдерживают нагрузку на 30-40% большую, чем трубы, уложенные на плоское основание. Поэтому на дне траншеи перед укладкой труб целесообразно вручную или механизированным способом устраивать, т.е. нарезать специальное овальное углубление (ложе) с углом охвата труб до 120 градусов.
Объём земляных работ по устройству ложа или выкружки на дне траншеи для укладки труб может быть определён по формуле:
Vл = FлL,
где Fл — площадь поперечного сечения ложа (выкружки), м2; L — длина траншеи, м.
Площадь сечения ложа (выкружки) можно определить по геометрической формуле площади сегмента, каковым фактически и является грунтовое ложе. Исходя из этого,
где r — радиус трубопровода, т.е. D/2, м; φ (Фи) — угол охвата трубы, град.
Объём грунта по срезке растительного слоя на трассе трубопровода определяется по формуле:
Vс = Vст + Vср,
где Vст — объём работ по срезке растительного слоя в пределах траншеи, м3; Vср — то же, в пределах рабочей зоны, м3.
где Fci — площадь срезки растительного слоя в пределах контура траншеи между пикетами, м2; Hс — толщина растительного слоя, м (принимается равной 0,15-0,2 м).
где Bтр, m — то же, что и в предыдущих формулах; H1, H2 — глубины траншеи на смежных пикетах, м; li — расстояние между пикетами, м.
Vср = BHсL,
где B — ширина рабочей зоны, м (принимается равной 15-25 м); Hс — толщина растительного слоя, м; L — общая длина трубопровода, м.
Объём грунта, разрабатываемого экскаватором, определяется по формуле:
Vэ = Vтр -
(Vст + Vз)
Объём грунта, необходимый для частичной засыпки труб и обратной засыпки траншей (Vо) с учётом коэффициента остаточного разрыхления (Кор), определяется по формуле:
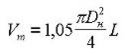
где Кор определяется по ЕНиР Сб. Е2, прил. 2; Vт — объём грунта, вытесняемый трубопроводом и вывозимый за пределы площадки,
где Dн, L — наружный диаметр трубы и общая длина трубопровода, м; 1,05 — коэффициент увеличения объёма вытесняемого грунта за счёт раструбов (учитывается при прокладке раструбных труб).
Объём насыпей (см. рис. 1, д) можно вычислять по тем же формулам, что и выемок, учитывая форму насыпи (призматоид, усечённый конус и т.п.). Потребное количество грунта для возведения насыпи в плотном теле определяют с учётом коэффициента остаточного разрыхления. При больших уклонах, значительной неровности рельефа и особенно при устройстве насыпей на косогорах объёмы земляных работ подсчитывают, разбивая насыпи на участки более простой геометрической формы.
Для подсчёта объёмов работ при вертикальной планировке применяют методы поперечных сечений, четырёхгранных и трёхгранных призм. Площадку, подлежащую планировке, на плане с горизонталями с горизонталями разбивают на элементарные участки, объёмы работ по которым суммируются. Метод поперечных сечений (поперечников) используют при ровном рельефе и для ориентировочных подсчётов. В характерных сечениях рельефа вычерчивают поперечные профили (на расстоянии друг от друга не более 100 м) и затем определяют площади каждого из них, а также объёмы грунта между ними.
Метод четырёхгранных призм предусматривает разбивку площадки на прямоугольники или квадраты (рис. 2, а, б) со сторонами а (20-100 м).
Рис. 2. Схемы к подсчёту объёмов вертикальной планировки, засыпки и обсыпки сооружений: а — разбивка площадки на квадраты; б — положение плоскостей при планировке; в — план котлована и его продольное сечение для определения объёма засыпки и обсыпки после возведения сооружений без покрытий; г — то же, для сооружений с покрытиями.
Объёмы выемок или насыпей, заключённые в отдельных прямоугольных призмах,
где а — сторона квадрата; h1, h2, h3, h4 — отметки в углах квадратов.
Отметки со знаком «
» указывают на необходимость устройства насыпи, а со знаком «+» — выемки. Общий объём насыпи (выемки) определяют как сумму частных объёмов призм и их частей, лежащих в пределах участка насыпи (выемки).
Метод трёхгранных призм применяют при неровном рельефе (с замкнутыми горизонталями). Объём работ подсчитывают путём разбивки прямоугольников или квадратов диагоналями на треугольники. При этом методе достигается наибольшая точность подсчётов.
После возведения в котловане сооружения пустоты с боков его (пазухи), включая въездные и выездные траншеи, подлежат засыпке грунтом. Объём засыпки пазух котлована Vзас.к определяют разностью общего объёма котлована Vобщ и объёмом заглублённой части сооружения Vзч т.е.
Vзас.к = Vобщ - Vз.ч.
Если сооружения выступает над поверхностью земли на 0,8...1 м, вокруг них делают обсыпку грунтом. Объём обсыпки Vобс вычисляют как объём усечённой пирамиды Vу.п за вычетом объёма обсыпаемой части сооружения Vобс.ч в пределах высоты hобс (рис. 2, в), т.е.
Vобс = Vу.п. -
Vобс.ч.
Над сооружениями с перекрытиями (резервуарами, горизонтальными отстойниками и др.) сверху устраиваются насыпи. Объём насыпи над сооружениями подсчитывают как объём усечённой пирамиды насыпи за вычетом объёма части сооружения, попадающей в тело насыпи (рис. 2, г).
Общий объём грунта, укладываемого в резерв на барме котлована, должен включать объём грунта для обратной засыпки пазух, обсыпки сооружений и устройства насыпи над ними. Излишек грунта подлежит вывозке.
1.2 Распределение грунта на основе баланса земляных масс
Сравнение объёмов земляных работ по устройству выемок и насыпей на строительной площадке представляет собой баланс земляных масс, который может быть активным, если объём выемок превышает объем насыпей, и пассивным, если объем выемок меньше объема насыпей. В первом случае излишний грунт вывозят со строительной площадки в отвалы, во втором - недостающий для устройства насыпей грунт завозят со стороны.
Поскольку вывозка грунта за пределы площадки нежелательна, так как она повышает сроки и стоимость строительства, следует стремиться к тому, чтобы весь грунт из выемок укладывался без остатка в насыпи, т.е. чтобы на площадке соблюдался нулевой баланс. Для получения такого равенства нужно определить оптимальную отметку планировки площадки, при которой будет достигнут нулевой баланс земляных масс.
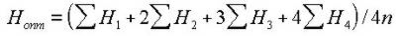
Оптимальная отметка планировки, по обе стороны которой (сверху и снизу) будут находиться равные объёмы выемки и насыпи при подсчете объемов по квадратам (рис. 2, а, б), определяется по формуле:
где H1, H2, H3, H4 — отметки естественной поверхности площадки в вершинах, общих соответственно для одного, двух, трех и четырех квадратов, м; n — количество квадратов в пределах площадки.
При планировке площадки комплекса сооружений оптимальную отметку планировки необходимо скорректировать с учетом дополнительных объёмов грунта, необходимого для устройства постоянных сооружений, и объёмов грунта, вытесняемого подземными частями возводимых сооружений и коммуникаций. Поправка к этой отметке может быть определена по формуле:
где Vi — дополнительный объём грунта (принимается с плюсом, когда имеется излишек, и с минусом — при недостатке грунта), м3; F — площадь планируемого участка, м2.
После окончания подсчёта все объемы земляных работ сводят в специальную ведомость, называемую сводным балансом земляных масс и состоящую из двух частей: левой — приход грунта (П) и правой — расход грунта (Р). При П>Р баланс положительный, т.е. активный, при П<Р баланс отрицательный, т.е. пассивный, и при П=Р баланс нулевой. Определив баланс земляных масс, составляют схемы потоков перемещения грунта из выемок в насыпи или в резервы.
Объемы насыпей и выемок значительной протяженности (полотно дорог, дамбы, плотины и др.) подсчитываются с использованием продольного и поперечного профилей сооружения. В характерных точках продольного профиля, местах изменения уклона местности или красной (проектной) линии сооружение расчленяется вертикальными плоскостями на участия, в пределах которых получаются геометрические тела — призматоиды. Высота призматоида равна длине участка между сечениями, а основаниями служат профили сооружения в местах сечений. Этот способ иногда называют также способом поперечных профилей.
Общий объем сооружения определяется как сумма объемов призматоидов.
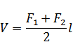
При поперечных уклонах местности, не превышающих 0,1, объем призматоида (м3)
или
где F1, F2, F0 — площади поперечного сечения в начале, конце и середине участка, м2; Н1 и Н2 — рабочие отметки в начале и конце участка, м; m — коэффициент откоса; l — длина участка, м.
При l
Расчет удобнее вести в табличной форме.
1.3 Объем котлованов и траншей
Если котлован разрабатывается на спланированной площадке или на местности с уклоном не более 0,01, объем его может быть подсчитан как объем усеченного клина (опрокинутого обелиска):
где Н — средняя глубина котлована, м; F1 и F2 — соответственно площади нижнего и верхнего оснований котлована.
При значительных размерах котлована, расположенного на местности, имеющей большие уклоны, его объем может быть подсчитан по формулам [1] и [2].
1.4 Объемы работ при вертикальной планировке
Объемы земляных масс, перемещаемых при планировке, можно подсчитывать методом поперечников, четырехугольных и треугольных призм. Для расчетов используются результаты нивелирования по квадратам или же план площадки в горизонталях с нанесенной сеткой квадратов со сторонами от 10 до 100 м в зависимости от рельефа и размеров площадки.
Метод поперечников применяется при спокойном рельефе местности для ориентировочных расчетов и на стадии предварительных проектных проработок, не требующих большой точности расчетов. В характерных сечениях рельефа местности вычерчивают поперечные профили, отстоящие друг от друга не более чем на 100 м. Определяют площади каждого поперечника и объем грунта, расположенного между поперечными сечениями.
Метод четырехугольных призм достаточно точен, но сопряжен со значительной трудоемкостью расчета.
Применяемый как на стадии проектирования, так и в производстве работ метод треугольных призм обеспечивает необходимую точность расчета при сложном (пересеченном) рельефе местности.
Наиболее целесообразно проводить вертикальную планировку с нулевым балансом земляных масс, при котором объемы выемки и насыпи равны, т. е. грунт перераспределяется в пределах планируемой площадки.
Подсчет объемов методом четырехугольных призм или методом квадратов при нулевом балансе осуществляется в последовательности, приведенной ниже (рис. 4).
Средняя отметка планировки — отметка горизонтальной плоскости, по обе стороны которой (сверху и снизу) будут находиться равновеликие объемы выемки и насыпи, определяется по формуле
где H1, H2, H3, Н4 — отметки естественной поверхности в вершинах, общих соответственно для одного, двух, трех и четырех квадратов; n — количество квадратов в пределах рассматриваемой площадки.
Для определения положения проектной плоскости планировки отметка горизонтальной плоскости корректируется с учетом уклонов, необходимых для обеспечения поверхностного водоотвода с площадки. Затем вычисляются рабочие отметки вершин квадратов как разность между отметкой проектной плоскости и отметкой естественного рельефа. Рабочие отметки со знаком «+» указывают на необходимость срезки грунта (выемки), со знаком «
» — устройства подсыпки (насыпь). На плане площадки обозначается линия нулевых работ — линия перехода от выемки к насыпи.
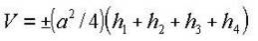
По рабочим отметкам в каждом квадрате определяют объем четырехгранной призмы (м3), основания которой лежат на естественной поверхности грунта и в проектной плоскости, а высота равна средней рабочей отметке:
где а — сторона квадрата сетки планировки, м; h1, h2, h3, h4 — рабочие отметки углов квадрата, м.
В квадратах, где выемка переходит в насыпь, объем вычисляется отдельно для участков насыпи и выемки:
где СУММА h в(н) — сумма рабочих отметок одного знака (выемки или насыпи); СУММА h — сумма абсолютных значений всех рабочих отметок в углах квадрата.
Суммируя объемы одного знака, определяют общий объем выемки (+) и насыпи (
). Расхождение между объемами должно быть в пределах принятой точности расчетов.
При планировке квартала застройки среднюю отметку планировочной плоскости необходимо скорректировать с учетом дополнительных объемов грунта, необходимых для возведения постоянных земляных сооружений, и объемов грунта, вытесняемых подземными частями возводимых зданий. Поправка к средней отметке
где Vi — дополнительный объем грунта, м3; F — площадь планируемого участка, м2.
В тех случаях, когда отметки по границам площадки определены заранее общим проектом застройки микрорайона или промышленного комплекса, решить задачу планировки по нулевому балансу грунтовых масс не всегда возможно. Планировку осуществляют по заданным отметкам, используя для определения объемов методы квадратов или поперечников. При этом баланс земляных масс может быть отрицательным, если объем выемки не компенсирует объем необходимой насыпи, и положительным, если в результате планировки по заданным отметкам объем грунта выемки превышает объем насыпи.
Заключение
Чтобы принять оптимальное решение, обеспечивающее наименьшие затраты, выбору варианта планировки должен предшествовать анализ распределения земляных масс. В итоге, необходимость и направление перемещений земляных масс устанавливаются в зависимости от следующих факторов:
очередности строительства зданий и сооружений,
расположения подземных коммуникаций,
внутриквартальных проездов,
спортивных комплексов,
озеленения участков.
Все эти вопросы, так же как и определение объемов работ по планировке, целесообразно решать с помощью компьютера по алгоритмам и программам, разработанным для подобных расчетов, но при этом нужно не забывать сами формулы расчета, потому что компьютера иногда может просто не оказаться под рукой. Итак, знать формулы и уметь ими пользоваться — вот основа!
Список используемой литературы
-
Ардзинов, В.Д. Как составлять и проверять строительные сметы; Питер, 2008. - 208 c.
-
Воронов, Н.П. Инженерные рассчеты; М.: Воениздат, 1964. - 100 c.
-
Дзюбенко, В.А. Отделочные работы: Нормы, расценки, правила; Киев: Будивэльнык; Издание 2-е, перераб. и доп., 1988. - 432 c.
-
Крюков, В.И. Формулы для инженера; М.: Высшая школа; Издание 2-е, испр. и доп., 1989. - 367 c.
-
Лазарев, А.Г. Основы градостроительства; Ростов н/Д: Феникс, 2004. - 416 c.
















