182084 (685730), страница 3
Текст из файла (страница 3)
Величина предложения – это такое количество товара, которое продавцы могут и хотят реализовать на рынке при данных ценах. Сдвиг кривой S1 вправо или влево означает, что изменилось предложение (соответственно увеличилось или уменьшилось) под действием неценовых факторов.
В результате взаимодействия спроса и предложения устанавливается рыночная цена. Она фиксируется в точке, в которой пересекаются кривые D и S. Эта точка называется точкой равновесия, а цена и объем – равновесными. Только в этой точке цена устраивает продавца и покупателя. При этом действуют следующие законы рыночного ценообразования:
· цена стремится к такому уровню, при котором спрос равен предложению;
· если под влиянием неценовых факторов произойдет повышение спроса при неизменном предложении или сокращение предложения при неизменном спросе, то цена возрастет, если, наоборот, при неизменном предложении спрос сократится или при неизменном спросе увеличится предложение и цена повысится.
При вмешательстве государства в установление цен говорят о политическом ценообразовании.
Цена потолка – максимальная цена дает ожидаемый результат только в случае, если она ниже равновесной. Она служит для защиты потребителей и создает, как правило, превышение спроса над предложением и образование «черного рынка».
Цена пола – минимальная цена, которая служит для защиты производителей и создает превышение предложения над спросом. Она имеет смысл только тогда, когда выше равновесной. Однако стремление производителей в условиях перепроизводства (например, сельхозпродукции) избавиться от товара ведет к образованию «серого рынка».
6. Понятие эластичности и ее виды
Спрос и предложение зависят от многих факторов. Их изменение влечет соответствующее изменение спроса и предложения. С этим и связано понятие эластичности.
Эластичность – мера реакции одной экономической переменной на изменение другой.
В экономической теории рассматривают эластичность спроса и предложения.
Эластичность спроса на товар – это процентное соотношение между изменением в цене или доходе и изменением спроса.
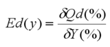
1. Эластичность спроса по цене.
Она показывает, в какой мере потребитель реагирует на изменение цен.
где:
E(p) – эластичность спроса по цене;
δQd (%) – процентное изменение спроса;
δP(%) – процентное изменение цены.
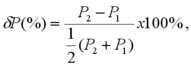
При измерении процентного изменения экономических величин обычный способ вычисления не применим, т. к. одинаковое количественное изменение в другом направлении дает иное процентное соотношение. Например, если величина спроса на товар составляла 10000 единиц, а затем уменьшилась на 2 500, то произошло изменение спроса на 25%. Однако увеличение спроса на данный товар с 7500 единиц до 10000 даст 33% увеличение спроса. Поэтому в экономической теории используют более универсальный метод, названный формулой средней точки Аллена. Тогда:
где
Q2 и Q1 – конечный и начальный спрос;
где:
P2 и P1 – конечная и начальная цена.
Выделяют несколько видов эластичности спроса по цене в зависимости от величины коэффициента эластичности.
E > 1 – эластичный спрос (на товары роскоши);
E < 1 – неэластичный спрос (на предметы первой необходимости);
E = 1 – спрос с единичной эластичностью (зависит от индивидуального выбора);
E = 0 – совершенно неэластичный спрос (соль, медикаменты);
– совершенно эластичный спрос (в условиях совершенного рынка).
На графике спрос разной степени эластичности можно представить следующим образом:
Нельзя говорить об эластичных или неэластичных кривых спроса, т. к. эластичности действительны для отдельных точек на кривой спроса. На каждой такой кривой спроса, как правило, имеются точки с эластичным и неэластичным спросом. В качестве исключения рассматриваются лишь совершенно эластичные и совершено неэластичные кривые спроса, на которых каждая точка представляет одну и ту же эластичность.
2. Эластичность спроса по доходу.
Это числовой параметр, который показывает, какова реакция потребителя на изменения в его доходах при неизменности цен.
где:
δY (%) – процентное изменение дохода
Значение эластичности по доходам тесно связано с понятием нормальных товаров и товаров низшего качества. Для нормальных товаров повышение дохода вызывает повышение спроса. Поскольку в этом случае доход и спрос меняются в одном направлении, то эластичность спроса по доходу является положительной. Наоборот, для товаров низшего качества увеличение дохода вызывает уменьшение спроса. Доход и спрос меняются в противоположных направлениях, поэтому в этом случае эластичность спроса по доходу является отрицательной. На отдельные группы товаров (соль, спички) спрос не увеличивается при увеличении дохода, эластичность является нулевой.
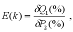
3. Перекрестная эластичность.
Она характеризует чувствительность спроса на один товар при изменении цен на другой.
где:
E (k) – перекрестная эластичность;
δQ1 (%) – процентное изменение спроса на один товар;
δP2 (%) – процентное изменение цены на другой товар.
С помощью коэффициента эластичности можно определить следующие виды перекрестной эластичности:
а) E (k) > 0 для товаров-субститутов;
б) E (k) < 0 для товаров-комплементов;
в) E (k) = 0 для индифферентных (независимых) товаров.
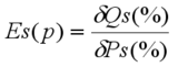
Эластичность предложения товара (по цене) – это процентное соотношение между изменением в цене и изменением предложения.
Одним из определяющих элементов эластичности предложения какого-либо товара или услуги является мобильность факторов его производства и выпуска, т.е. легкость с которой необходимые факторы производства могут быть привлечены из других отраслей. Второй важный фактор – это время. Как и в случае спроса, эластичность предложения по цене имеет тенденцию увеличиваться на долгосрочных временных интервалах. Частично это связано с мобильностью ресурсов, но также зависит и от применяемых технологий, состояния производственной базы и т.д. С течением времени адаптация производителей к рыночным условиям улучшает конъюнктурные возможности соответствия выпуска их продукции возросшему спросу, что приводит к повышению эластичности предложения.
Теория эластичности спроса и предложения имеет важное практическое значение. Эластичность спроса является важным фактором, влияющим на ценовую политику фирмы. Другим примером фактического использования теории эластичности является государственная налоговая политика, а также политика в области занятости.
7. Место и роль конкуренции в рыночной системе
Одним из важнейших признаков рынка является конкуренция как форма взаимного соперничества субъектов рынка и механизм регулирования общественного производства.
Конкуренция – общественная форма столкновения субъектов рыночного хозяйства в процессе реализации их индивидуальных экономических интересов.
Конкуренция в экономике выполняет ряд функций:
· выявляет и устанавливает рыночную стоимость товара;
· сводит конкретный труд к общественно необходимому;
· содействует выравниванию индивидуальных стоимостей и прибыли в зависимости от производительности труда и эффективности управления производством.
Посредством конкуренции происходит распределение не только факторов производства, но и доходов в соответствии с вкладом и эффективностью деятельности хозяйствующих субъектов. Эффективное использование ресурсов позволяет производителям получать высокие доходы, при неэффективном использовании ресурсов они несут убытки и могут быть вытеснены с рынка.
Существуют разные типы конкурентного поведения рыночных субъектов:
– креативное (созидательное) – поведение, направленное на создание предпосылок, обеспечивающих превосходство над соперниками;
– приспособленческое – учитывающее инновационные изменения в производстве (копирование) и упреждающее действия соперников;
– обеспечивающее (гарантирующее) – поведение, направленное на сохранение достигнутых позиций.
С точки зрения активности участия в конкурентной борьбе на конкурентном рынке различают лидеров, претендентов на лидерство, ведомых и новичков.
Для современного рынка характерна регламентированная конкуренция, которую принято называть добросовестной и эффективной. Это обозначает то, что на рынке никто из производителей не может монополизировать производство или продажу, не ущемляются права потребителей и действия хозяйственных субъектов не противоречат законам.
В промышленно развитых странах, где рыночные отношения имеют давнюю историю, конкуренция приобретает самые разные формы. Прежде всего выделяют внутриотраслевую и межотраслевую конкуренцию.
В современной экономике особое значение имеет конкуренция, начинающаяся задолго до появления товара на рынке. Предприниматели могут бороться за приобретение сырья, материалов или оборудования по более низкой цене, за наиболее удачное расположение своих предприятий, за лучшие кадры и т.д. Так появилась внутрифирменная (бухгалтерская) конкуренция в части улучшения качества продукта, снижения производственных издержек в рамках одной фирмы.
В зависимости от способа поведения фирмы на рынке выделяют ценовую и неценовую конкуренцию.
Ценовая конкуренция – борьба между производителями за получение дополнительной прибыли посредством уменьшения издержек производства и снижения цен на продукцию без изменения ее ассортимента и качества. Ценовая конкуренция проявляется в использовании демпинга (продажа товара по ценам ниже его себестоимости), ценовой дискриминации (предоставлении одного и того же товара по разным ценам для разных групп населения), лизинга (долгосрочного договора аренды), дифференциации качества товара при одной и той же цене и другого. Неценовая конкуренция уменьшает значение цены как фактора потребительского спроса.
Неценовая конкуренция – это борьба между субъектами рынка на основе технического превосходства, высокого качества и надежности изделий, более эффективных методов сбыта, использования маркетинга, расширения видов предоставляемых услуг и гарантий покупателям, улучшения условий оплаты и других приемов.
Конкуренция очень сильно зависит от количества производителей-продавцов и покупателей. В экономической теории различают совершенную и несовершенную конкуренцию.
Совершенная конкуренция означает такое состояние экономической системы, когда влияние каждого участника экономического процесса на общую ситуацию настолько мало (менее 1%), что им можно пренебречь.
Несовершенная конкуренция существует тогда, когда возможен контроль над определенной долей рынка. Несовершенная конкуренция включает следующие виды:
· монополия – власть одного продавца (монопсония – власть одного покупателя);
· олигополия – власть нескольких крупных фирм (олигопсония – власть нескольких крупных покупателей);
· монополистическая конкуренция – соревнования между разными по силе и влиянию продавцами.
Конкуренция выступает мощным фактором концентрации производства, характер ее зависит от развитости и степени монополизации производства.
В России началом создания антимонопольного законодательства стал «Закон о конкуренции и ограничении монополистической деятельности на товарных рынках». Этот закон определил недобросовестные методы конкуренции, а именно:















