11040 (684976), страница 4
Текст из файла (страница 4)
Культуральные признаки грибов описывают на плотных питательных средах в чашках Петри. При описании культуральных признаков грибов отмечают внешний вид колоний, текстуру колоний (бархатистая, шерстистая, шероховатая, войлочная), окраску колоний, диффузию пигмента в агар, складчатость колонии, наличие экссудата.
Для характеристики морфологических признаков сначала рассматривают чашки при малом увеличении, а затем готовят микроскопический препарат – раздавленная капля (Бабьева, 1989).
Идентификация мицелиальных грибов основана главным образом на сопоставлении макроскопических и микроскопических признаков исследуемой культуры с ранее описанными признаками известных грибов. Для каждой идентифицируемой культуры необходимо определить цвет поверхности (у некоторых организмов и обратной стороны) и фактуру колоний, а также скорость роста по диаметру колоний (макроскопические признаки). Дальнейшая работа по идентификации связана с приготовлением препаратов репродуктивных органов: необходимо отмечать характер септирования гиф, тип конидиогенных клеток и вид их репродуктивных пропагул. Принадлежность грибов устанавливают по наличию разнообразных конидиальных спороношений как открытых, так и внутри специальных вместилищ – пикнид и отсутствии каких-либо половых спороношений. Применяемая на практике идентификация основана в основном на морфологических признаках конидиального спороношения, которые чрезвычайно разнообразны. Принадлежность к классу и роду устанавливают по определителям (Егоров, 1986; Билай, 1987; Саттон, 2001; Еремеева, 2007; Booth, 1971; Pitt, 1991; Klich, 1992).
2.5 Принципы составления питательных сред для грибов. Основные принципы композиции сред
При составлении питательных сред для грибов обычно пользуются результатами предварительных исследований по выяснению значения для роста и развития изучаемого объекта концентрации отдельных компонентов (источников углерода, азота, зольных веществ и витаминов).
Основными правилами, которых придерживаются при составлении сред, способствующих росту грибов, являются следующие:
-
целесообразно применять отдельные источники углерода и азота;
-
концентрация вещества, служащего источником азотного питания, должна сильно уступать концентрации вещества – источника углерода (примерно в 10 – 15 раз).
Хотя среды натурального происхождения более благоприятны для роста большинства грибов, однако при физиологических экспериментах по изучению развития и обмена у грибов использовать их нежелательно, так как их состав непостоянен. Для этих экспериментов обычно используются синтетические среды. Одной из первых синтетических сред для грибов (культур видов аспергиллов и пенициллов) была среда Роллена следующего состава (г/л):
сахароза – 72 (около 5 %);
винная кислота – 4,0 (для подкисления среды);
фосфорнокислый аммоний – 4,0;
углекислый калий – 0,6;
сернокислый аммоний – 0,25;
сернокислый цинк – 0,07;
сернокислое железо – 0,07;
кремнекислый калий – 0,07;
дистиллированная вода – 1,5 л.
Более простой состав имеет среда Чапека (г/л):
сахароза – 30,0;
NaNO3 – 2,0;
MgSO4 – 0,5;
FeSO4 – 0,01;
KH2PO4 – 1,0;
KCl – 0,5;
дистиллированная вода – 1,0 л.
Для многих грибов указанные здесь среды являются неполноценными. Некоторые грибы (особенно витаминозависимые) растут на них плохо или совсем не растут. В таких случаях, если потребность данного организма в витаминах не изучена, необходимо добавлять в среду экстракты растительных или животных тканей, выбирая их исходя из экологии данного гриба. Например, в среды для выращивания грибов – дереворазрушителей добавляют опилки из древесины той породы дерева, которую они поражают в природе, для выращивания грибов – паразитов растений – ткани растения – хозяина; выращивание грибов – копрофилов производится на средах с навозным экстрактом (Беккер, 1983).
2.6 Приготовление питательных сред
Посуда для приготовления сред не должна содержать посторонних веществ, например щелочей, выделяемых некоторыми сортами стекла. Перед употреблением посуду тщательно мыли, полоскали и высушивали. Среды варили в стеклянных колбах объемом 250 мл. Каждой среды готовили объемом по 150 мл, рассчитанной на 10 культур исследуемых штаммов. После варки среды стерилизовали в автоклаве при 0,5 атм и 120 ○С в течение 20 минут. После стерилизации и добавления соответствующих источников углеродного питания среды разливали в стерильные чашки Петри по 20 мл. Предварительно в чашки вносят по 1 капле молочной кислоты для подкисления среды, которое необходимо, чтобы убить бактерии.
2.7 Определение способности плесневых грибов использовать различные источники углерода
2.7.1 Определение радиальной скорости роста на твердой среде
Микромицеты характеризуются неодинаковой способностью использовать различные соединения углерода для конструктивного и энергетического метаболизма. Чтобы выяснить возможность роста гриба за счет тех или иных углеродсодержащих веществ, их высевают на синтетические среды, содержащие в качестве единственного источника углерода различные моно-, ди- и полисахариды, многоатомные спирты, органические кислоты, углеводороды.
В качестве единственного источника углерода использовали сахара (лактоза, ксилоза, арабиноза, галактоза, мальтоза), многоатомные спирты (глицерин, сорбит), крахмал, целлюлоза, природные целлюлозные материалы (растительный опад, камыш, опилки, кора, сено). Источники углерода добавляли в среду в мелко нарезанном виде. Все источники углерода добавлялись в среды количеством 45 г/л.
В данной работе определение особенностей роста грибов на различных источниках углеродного питания проводилось путем поверхностного посева исследуемых штаммов на среду Чапека без сахарозы с различными источниками углерода. Посев культур осуществляли уколом в центр чашки Петри. Время культивирования составляло 14 суток, температура культивирования – 24 ○С. Параллельно производят посев на среду Чапека с сахарозой (контроль 1) и без сахарозы (контроль 2). Значение применяемых питательных сред для процессов роста грибов оценивалось методом измерения радиальной скорости роста путем периодического замера диаметра колоний грибов (через каждые 48 часов), растущих на чашках Петри.
Определение радиальной скорости роста грибов проводили на плотной питательной среде за определенный промежуток времени. После 48 часов инкубации при 24 ○С измеряли диаметр выросших на чашках колоний при помощи линейки. Эту операцию повторяют через каждые двое суток в течение двух недель.
За диаметр отдельной колонии в данный момент времени принимают среднее арифметическое измерение. Вычисление радиальной скорости проводят по формуле:
Kr = (r – ro) / (t – to),
где k – радиальная скорость роста;
ro – радиус колоний в начальной момент времени to;
r – радиус колоний в момент времени t (Паников, 1991).
2.7.2 Изучение прорастания спор в капле субстрата
На основании метода проращивания грибных зачатков во влажной камере, можно определять способность грибов к ассимиляции различных субстратов. На предметные стекла с лункой наносятся споровая суспензия в гидролизате (камыша, опилок, сена, растительного опада, коры), сверху накрывали покровными стеклами, и помещали во влажную камеру. Предварительно гидролизаты готовили: мелко измельченные растительные материалы заливали дистиллированной водой количеством 10 г на 1 л, кипятили в течение 15 минут для наибольшего выхода воднорастворимых органических веществ из растительных субстратов, затем подвергали стерилизации при 120 ○С в автоклаве. Споровую суспензию готовили следующим образом: микроскопические грибы 10 дней выращивали на среде Чапека в пробирках (скошенный агар), после производили смыв 10 мл гидролизата. Для удаления обрывков мицелия суспензию фильтровали через 2-слойную стерильную марлю. Чистоту и плотность суспензии проверяют при микроскопировании в камере Горяева. Для основных опытов плотность споровой суспензии составляет 106 спор в мл. Прорастание спор начинают учитывать через 24 часа. Прорастание спор рассчитывается как отношение числа проросших спор к общему числу просмотренных. Наблюдение проводят на 1, 2, 3, 7, 15-е сутки. Стекла микроскопировали, учитывая прорастание спор (%), длину проростков (в мкм) (Кураков, 2001).
ГЛАВА 3. ИССЛЕДОВАНИЕ РОСТА МИКРОМИЦЕТОВ НА РАЗЛИЧНЫХ СУБСТРАТАХ
Объектами исследования явились 10 штаммов коллекционных микроскоскопических грибов родов Aspergillus: A. niger, A. ustus, A. terreus, A. flavus, A. fumigatus, а также штаммы родов Alternaria sp., Penicillium sp., Cladosporium sp., Trichoderma sp., Verticillium sp. В качестве источников углерода использовали сахара (лактоза, ксилоза, арабиноза, галактоза, мальтоза), многоатомные спирты (глицерин, сорбит), крахмал, целлюлоза, природные целлюлозные материалы (листья, камыш, опилки, кора, сено).
В результате посева исследуемых микроскопических грибов на среду Чапека с различными источниками углерода было установлено, что изменение трофических условий оказывает существенное влияние на развитие микромицетов. Оценка возможности потребления различных источников углерода показала, что они способны утилизировать многие источники углеродного питания, но большинство из исследуемых видов не использовали опилки в качестве единственного источника углерода. Динамика роста видов на разных средах при одинаковых условиях инкубации, не одинакова.
3.1 Радиальная скорость грибов на модельных субстратах
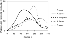
В таблице приложения и на рисунках 1–2 приведены зависимости радиальной скорости роста от времени у изученных грибов на модельных источниках углерода.
Рис. 1. Радиальная скорость роста микромицетов рода Aspergillus на сахарах
Уже на первые сутки культивирования A. niger хорошо развивается во всех средах, кроме среды с ксилозой. На среде с мальтозой с 144 ч экспозиции наблюдается стадия логарифмического роста, после 216 ч – фаза отмирания культуры. К концу времени инкубации скорость роста колоний уменьшается и становится почти одинаковой на всех средах.
В первые дни культивирования наибольшая скорость роста A. terreus наблюдается на средах с арабинозой и галактозой. В промежутке 96 – 144 ч экспозиции на среде с арабинозой длится логарифмическая фаза роста, затем скорость радиального роста колонии идет к убыванию. На 14-е сутки культивирования наблюдается резкий скачок в росте на среде с галактозой.
Наибольший рост A. fumigatus наблюдается на среде с мальтозой. До 96 ч культивирования радиальная скорость роста на всех средах была примерно одинаковой. Затем на среде с мальтозой наблюдается фаза логарифмического роста (144 – 216 ч), затем радиальная скорость роста уменьшается. После 264 ч экспозиции происходит резкий скачок радиальной скорости на среде с арабинозой. На остальных источниках углерода культура растет со средней скоростью роста.
A. flavus хорошо растет на среде с галактозой в течение всего времени экспозиции. На среде с лактозой до 72 ч наблюдается логарифмическая фаза интенсивного роста, затем происходит уменьшение радиальной скорости роста.
Скорости радиального роста A. ustus на всех источниках углеродного питания сильно не различаются. Небольшой скачок в росте наблюдается на среде с галактозой в промежутке 144 – 216 ч.
Таким образом, сахара легко усваиваются всеми исследуемыми штаммами. В среднем скорость радиального роста не превышает 0,4 мм/ч у всех исследуемых штаммов.
Рис. 2. Радиальная скорость роста микромицетов рода Aspergillus на других углеродсодержащих субстратах.
Наибольшая скорость роста A. niger наблюдается вначале культивирования на средах с целлюлозой и глицерином. На этих средах логарифмическая фаза роста приходится на 48 – 140 ч экспозиции, стационарная фаза отсутствует. Затем скорость роста на целлюлозе резко падает и становится минимальной на этой среде. На других источниках углерода также наблюдаются скачки роста, которые к концу инкубации заметно уменьшаются. На среде с крахмалом наблюдается логарифмическая фаза (48 – 96 ч), затем наступает стационарная фаза роста, после 144 ч радиальная скорость роста колонии уменьшается. На средах с целлюлозой, глицерином и сорбитом вид растет с 2-суточной периодичностью.
Рост A. terreus наблюдается на всех легкоусвояемых источниках углерода, кроме среды с сорбитом. Вначале и в конце культивирования радиальная скорость роста примерно одинаковая. На среде с целлюлозой наблюдается очень низкая скорость радиального роста. На глицерине с 144 ч по 216 ч времени культивирования длится фаза логарифмического роста, затем радиальная скорость роста колонии идет к падению.
По данным рисунка 2 видно, что рост A. fumigatus имеет большие скачкообразные изменения, особенно проявляющиеся на среде с глицерином. Наибольшая скорость роста проявляется на среде с глицерином. Рост на среде с сорбитом до 96 ч времени культивирования не наблюдается. В промежутке 96 – 144 ч на этой среде происходит фаза усиленного логарифмического роста, затем скорость роста уменьшается. На сорбите и целлюлозе культура развивается с 2-суточной периодичностью.
















