3320 (684913), страница 11
Текст из файла (страница 11)
Таким образом, как показал анализ, в банковской системе Украины с учетом отсутствия ресурсных источников со сроком привлечения более 1 года для выдачи ипотечных кредитов на 10-20 лет используются только долгосрочные вклады населения в иностранной валюте (12 месяцев), как наиболее устойчивая часть привлеченных пассивов. Следовательно, расширение объемов ипотечного кредитования будет сдерживаться расширением этого вида ресурсной базы банков Украины до момента внедрения новых механизмов привлечения долгосрочных ресурсов для ипотечного кредитования.
Стратегические цели развития позиций АКБ „Приватбанк” на банковском рынке Украины в условиях тенденций объединения крупных украинских банков – последователей лидера и возникновения новых объединенных лидеров, а также законодательного разрешения на развертывание в Украине филиалов мировых банков, можно сформулировать как:
-
расширение национальной сети обслуживания населения Украины филиалами и отделениями АКБ „Приватбанк”;
-
расширение и повышение географической плотности установки банкоматов и терминалов автоматического самообслуживания клиентов АКБ „Приватбанк”;
-
расширение услуг по использованию сети Интернет – доступу в банк из любой точки мира;
-
завоевание пенсионно-социального сектора ресурсной базы частных клиентов банка;
-
усиление функций банка по формированию негосударственных пенсионных фондов и завоевание роли управления их средствами;
Целевое сегментирование рынка ипотечного кредитования для банковских продуктов АКБ «Приватбанк» показало, что наиболее привлекательным подсегментом для банка является кредитование «молодежная ипотека», при которой осуществляется компенсация за счет государственного фонда содействия молодежному строительству, а также возможность рефинансирования со стороны Государственного ипотечного учреждения. Также высокую степень привлекательности имеет кредитование новостроек, поскольку это соответствует стратегическому направлению деятельности АКБ «Приватбанк» по привлечению средств негосударственных накопительных пенсионных фондов, а срок амортизации нового жилья – 50 лет удовлетворяет требованиям негосударственных пенсионных фондов о прибыльном вложении пенсионных вкладов. Среднюю ступень привлекательности имеет ипотечное кредитование приобретения существующего жилья (вторичный рынок) с определенным уровнем эксплуатационного износа, а низкую – ипотечное кредитование ремонта (реновации) недвижимости.
Основная стратегия роста рыночной доли АКБ „Приватбанк” в сегменте ипотечного кредитования – это использование имиджа банка как лидера банковской системы Украины и внедрение следующих направлений деятельности:
- привлечение долгосрочных пассивов в сегменте негосударственных пенсионных фондов, для чего необходимо форсировать их создание на базе прямого взаимодействия с банком;
- выпуск ипотечных ценных бумаг и размещение их среди инвестиционных компаний как средств краткосрочного рефинансирования долгосрочных активов;
- создание комплекса связи клиент - риэлтер - банк;
- повышение скорости принятия решений по ипотечным сертификатам, позволяющим клиенту искать себе подходящую квартиру с уверенностью в получении кредита на определенную сумму - менее 30 мин (внедрение технологии скоринг –кредитования);
- увеличение количества специализированных ипотечных центров с 60 до 180 - эта структура дает возможность не бегать клиенту от риэлтера в банк и обратно, а решать все вопросы у риэлтера, который одновременно является агентом банка по ипотечному кредитованию;
- новое направление - ПриватБанк дает возможность клиенту получить под 0,98% кредит в размере 5% от суммы ипотечного кредита на ремонт квартиры. Деньги поступают на карточку, и клиент в течение 30 дней может беспрепятственно эти деньги сдать.
- с октября 2005 года вводится экспериментальный ипотечный кредитив - деньги непосредственно из ПриватБанка поступают на счет продавца.
Для обеспечения дальнейшего возрастания рынка жилищного ипотечного кредитования следует преодолеть сдерживающие развитие этого рынка факторы. Как показали результаты проведенных исследований, при сегодняшней стоимости долгосрочных источников ипотечных ресурсов (9,7-10,7% годовых) и учитывая значительный коэффициент накладных неоперационных затрат в коммерческих банках (1,72-1,84), рентабельность ипотечных кредитов при средневзвешенных (по национальной и иностранной валютах) ставках кредитования 13,5-16,0 % годовых - положительная +0,43% годовых в „Райффайзенбанк” (источник ресурсов – низкопроцентные еврокредиты от системных банков «Райффайзен» в Европе) и отрицательная – 4,2% годовых в АКБ „Приватбанк”(источник ресурсов – валютные долгосрочные депозиты населения Украины).
Полученные результаты обосновывают причины неразвитости ипотечного кредитования в банковской системе Украины, поскольку для выхода на рентабельный режим ипотечного кредитования надо иметь стоимость ипотечных ресурсов не выше 5,0 – 6,0 % годовых.
Выход на положительный уровень рентабельности ипотечных кредитов возможен только с использованием схем, заложенных в перспективную стратегию работы АКБ «Приватбанк» на рынке ипотечного кредитования:
-
рефинансирование за счет ипотечных облигаций;
-
появление долгосрочных ресурсов накопительной системы негосударственного пенсионного страхования.
СПИСОК ИСПОЛЬЗОВАННЫХ ИСТОЧНИКОВ(ЛИТЕРАТУРЫ)
1. ЗАКОН УКРАЇНИ «Про іпотечне кредитування, операції з консолідованим іпотечним боргом та іпотечні сертифікати» // від 19 червня 2003 року 979-IV (Із змінами і доповненнями, внесеними Законами України станом від 15 грудня 2005 року N 3201-IV)
2. ЗАКОН УКРАЇНИ “Про іпотеку” // від 5 червня 2003 року N 898-IV (Із змінами і доповненнями, внесеними Законами України станом від 22 грудня 2005 року N 3273-IV)
3. ЗАКОН УКРАЇНИ „Про банки і банківську діяльність” // від 7 грудня 2000 року N 2121-III (Із змінами і доповненнями, внесеними Законами України станом від 22 грудня 2005 року N 3273-IV)
4. Закон України “Про Національний банк України” // від 20 травня 1999 року N 679-XIV (станом на 10.01. 2002 року N 2922-III)
5. ЗАКОН УКРАЇНИ – «Про цінні папери і фондову біржу» // від 18.06. 1991 N 1201-XII ( із змінами на 3.06.1999 N 719-XIV )
6. Закон України “Про господарські товариства”//від 19 вересня 1991 року N 1576-XII ( від 17 травня 2001 року N 2409-III)
7. ЗАКОН УКРАЇНИ „Про фінансово-кредитні механізми і управління майном при будівництві житла та операціях з нерухомістю” // від 19 червня 2003року N 978-IV
8. ЗАКОН УКРАЇНИ „Про страхування” // від 7 березня 1996 року N 85/96-ВР (Законом України від 4 жовтня 2001 року N 2745-III цей Закон викладено у новій редакції), із змінами і доповненнями, внесеними Законами України станом на 1 липня 2004 року N 1971-IV
9. ЗАКОН УКРАЇНИ „Про заставу” // від 2 жовтня 1992 року N 2654-XII (Із змінами і доповненнями, внесеними Законами України станом від 18 листопада 2003 року N 1255-IV)
10. ЗАКОН УКРАЇНИ «Про недержавне пенсійне забезпечення» // 9 липня 2003 року N 1057-IV (Із змінами і доповненнями, внесеними Законом України від 15 грудня 2005 року N 3201-IV)
11. КОНЦЕПЦІЯ створення національної системи іпотечного кредитування // розпорядження Кабінету Міністрів України від 10 серпня 2004 р. № 559-р
12. Про затвердження Тимчасового порядку державної реєстрації іпотек //КАБІНЕТ МІНІСТРІВ УКРАЇНИ ПОСТАНОВА від 31 березня 2004 р. N 410
13. Про стандартну (типову) форму бланка заставної // Рішення Державної комісії з цінних паперів та фондового ринку від 4 вересня 2003 року N 363
14. Про затвердження Плану рахунків бухгалтерського обліку банків України та Інструкції про застосування Плану рахунків бухгалтерського обліку банків України // Постанова Правління Національного банку України від 17 червня 2004 року N 280 (Із змінами і доповненнями, внесеними постановами Прав- ління Національного банку України станом від 1 грудня 2005 року N 457)
15. Про затвердження Інструкції про порядок регулювання діяльності банків в Україні // Постанова Правління Національного банку України від 28 серпня 2001 року N 368 (Із змінами і доповненнями, внесеними постановами Прав- ління Національного банку України станом від 1 листопада 2005 року N 407)
16. Про затвердження Інструкції про порядок складання та оприлюднення фінансової звітності банків України //Постанова Правління Національного банку України від 7 грудня 2004 року N 598 (Із змінами і доповненнями, внесеними постановами Правління Національного банку України від 21 грудня 2005 року N 484)
17. Про внесення змін до Методики розрахунку економічних нормативів регулювання діяльності банків в Україні // ПРАВЛІННЯ НАЦІОНАЛЬНОГО БАНКУ УКРАЇНИ ПОСТАНОВА від 11 квітня 2005 року N 125(Із змінами і доповненнями, внесеними постановою Правління Національного банку України від 22 грудня 2005 року N 493)
18. Аакер Д. Стратегическое рыночное управление / Пер. с англ. под ред. Ю.Н. Каптуревского. — СПб.: Питер, 2002. — 544 с.
19. Ансофф И. Стратегическое управление: Сокр.пер. с англ. – М.: Экономика, 1989. – 519 с.
20. Армстронг Г., Котлер Ф. Введение в маркетинг: Учебное пособие. – М. Изд.дом «Вильямс», 2000
21. Банківські операції. Підручник/ А.М.Мороз, М.І.Савлук, М.Ф.Пудовкіна та інш. Київ: КНЕУ, 2000.
22. Банковское дело: Учебник /Под ред. О.И.Лаврушина – Москва, «Финансы и статистика», 1998 – 576 с.
23. Вернет Дж,, Мориарти С. Маркетинговые коммуникации. Интегрированный подход: Пер. с англ./ Под ред. С.Г. Божук. -СПб.: Питер, 2001.-864с.
24. Волков С.С. Іпотечне кредитування в Україні: передумови, ризики та перспективи // Український дiловий тижневик "Контракти" / № 35 вiд 30-08- 2004
25. Войчак А.В. Маркетинговый менеджмент. – К.:Изд-во КНЭУ, 1998
26. Гаркавенко С.С. Маркетинг. – К.: Лібра, 1998
27. Голубков Е.П. Маркетинг: стратегия, планы, структура. – М.: Дело лтд, 1995
28. Длигач А., Писаренко Н. Портфельные войны // Журнал "Маркетолог" № 3, 2005 г.
29. Дэй Д. Стратегический маркетинг. – М. Изд-во: Эксмо-Пресс, 2002
30. Євтух О.Т. Іпотека – механізм ефективного використання ресурсів – Луцьк, «Волинська обласна друкарня», 2001, 305 с.
31. Євтух О.Т. Доходна іпотека – Луцьк, «Волинська обласна друкарня», 2000, 304 с.
33. Ипотека -2005 (рейтинг жилищных кредитов) // Журнал «Деловой журнал», октябрь 2005, стр. 31 -55
34. Каніщенко О.Л. Міжнародний маркетинг:Навч.посібник. – Київ, ІВЦ Вид-во „Політехніка”, 2003. – 152 с.
35. Коцовська Р., Ричаківська В та інш. Операції комерційних банків – Львів : ЛБІ НБУ, 2001
36. Котлер Ф., Армстронг Г., Дж. Сандерс, В. Вонг, ОСНОВЫ МАРКЕТИНГА, 2-е европейское издание, — М.; СПб.; К.: Издательский дом "Вильямс", 1998.
37. Котлер Ф. Маркетинг менеджмент. - СПб.: Питер Ком, 1998. - 896 с.
38. Куденко Н.В. Стратегічний маркетинг: Навч.посібник. – К.: КНЕУ,1998 – 202 с.
39. Куденко Н.В. Маркетингові стратегії фірми – Київ, КНЕУ, 2002. – 245 с.
40. Кудрявцев В.А., Кудрявцева Е.В. Основы организации ипотечного кредитования – М.: «Высшая школа», 1998
41. Лагутін В.Д. Становлення та розвиток системи іпотечного кредитування // «Фінанси України», № 1, 2004, с.75 – 82
42. Лагутин В.Д. Кредитование : теория и практика. Учебное пособие.- 3 –е изд- К.: «Знание», 2002, 215 с.
43. Ламбен Ж.Ж. Стратегический маркетинг. – СПб.: Наука, 1996.
44. Лук'янець Т.І Рекламний менеджмент. – К.:Вид-во КНЕУ, 1999
45. Луцій О.П. Міжнародний маркетинг: Конспект лекцій – Київ, Вид-во Європейського університету, 2000 -45 с.
46.Минцберг Г., Куинн Дж. Б., Гошал С. Стратегический процесс / Пер. с англ. под ред. Ю.Н. Каптуревского. — СПб.: Питер, 2001. — 688 с.
47. Наливайко А.П. Теорія стратегії підприємства. Сучасний стан та напрямки розвитку: Монографія. — К.: КНЕУ, 2001. — 227 с.
48. Новошинська В.В. Міжнародний маркетинг: навчальний посібник. – Київ, Центр навчальної літератури, 2004. – 176 с.
49. Огляд ринку іпотечного кредитування країн Європейського Союзу // Українська національна іпотечна асоціація, 2002
50. Портер М. Конкуренция. - М., 2000.
51. Портер М. Конкурентные силы и формирование стратегии //Класика маркетинга /Сост. Б. М. Энис, К. Т. Кокс і ін. Спб., 2001.
52. Полторак В.А. Маркетинговые исследования: Методы и технологии. – Днепропетровск, Арт-Пресс, 1997.
53. Примостка Л.О. Аналіз банківської діяльності: сучасні концепції, методи та моделі: Монографія. — КНЕУ, 2002.— 316 с.
54. Примостка Л.О. Фінансовий менеджмент у банку: Підручник. — 2-е вид., доп. і перероб. — К.: КНЕУ. 2004. — 468 с.
55. Роуз П.С. Банковский менеджмент. Пер. с англ. со 2-го изд.— М.: «Дело ЛТД»,1995.— 768 с.
56. Синки, Дж. мл. Управление финансами в коммерческих банках. Пер. с англ. 4-го переработанного изд. / под ред. Р.Я.Левиты, Б.С.Пинкерса. — М.: 1994, Catallaxy.— 820 c.
57. Спицын И.О., Спицын Я.О. Маркетинг в банке. - Тернополь: АО «Тарнекс», К.: ЦММС «Писпайс», 1993. – 656 с.
58. Стандарти житлового іпотечного кредиту // Українська національна іпотеч на асоціація, Протокол № 3 від “12” березня 2004 р.
ПРИЛОЖЕНИЯ
Приложение А
Таблица А.1 Основные показатели деятельности банковской системы Украины за 2000 – 2006 года (млн.грн.) [34]
| № п/п | Показатели | Дата | ||||||||||||||||
| 01.01.2001 | 01.01.2002 | 01.01.2003 | 01.01.2004 | 01.01.2005 | 2006 | |||||||||||||
| 01.01 | 01.02 | |||||||||||||||||
| 1. | Количество зарегистрированных банков | 195 | 189 | 182 | 179 | 182 | 186 | 188 | ||||||||||
| 2. | Исключено из Государственного реестра банков | 9 | 9 | 12 | 8 | 4 | 1 | 0 | ||||||||||
| 3. | Количество банков, которые находятся в стадии ликвидации | 38 | 35 | 24 | 20 | 20 | 20 | 20 | ||||||||||
| 4. | Количество действующих банков | 153 | 152 | 157 | 158 | 160 | 165 | 164 | ||||||||||
| 4.1 | из них: с иностранным капиталом | 22 | 21 | 20 | 19 | 19 | 23 | 23 | ||||||||||
| 4.1.1 | в т.ч. с 100% иностранным капиталом | 7 | 6 | 7 | 7 | 7 | 9 | 9 | ||||||||||
| 5. | Доля иностранного капитала в уставном капитале банков, % | 13.3 | 12.5 | 13.7 | 11.3 | 9.6 | 19.5 | 19.2 | ||||||||||
| АКТИВЫ | ||||||||||||||||||
| 1. | Общие активи (не скоректированные на резервы под активные операции) | 39866 | 50785 | 67774 | 105539 | 141497 | 223024 | 221189 | ||||||||||
| 1.1 | Чистые активы (скорректированные на резервы по активным операциям) | 37129 | 47 591 | 63896 | 100234 | 134348 | 213878 | 211811 | ||||||||||
| 2. | Высоколиквидные активы | 8270 | 7744 | 9043 | 16043 | 23595 | 36482 | 34045 | ||||||||||
| 3. | Кредитный портфель | 23637 | 32097 | 46736 | 73442 | 97197 | 156385 | 156728 | ||||||||||
| 3.1 | из него: кредиты предоставленые субъектам хозяйственной деятельности | 18216 | 26564 | 38189 | 57957 | 72875 | 109020 | 108777 | ||||||||||
| 3.2 | кредиты предоставленые физическим лицам | 941 | 1373 | 3255 | 8879 | 14599 | 33156 | 33772 | ||||||||||
| 4. | Долгосрочные кредиты | 3309 | 5683 | 10690 | 28136 | 45531 | 86227 | 87037 | ||||||||||
| 4.1 | из них: долгосрочные кредиты субъектам хозяйственной деятельности | 2761 | 5125 | 9698 | 23239 | 34693 | 58528 | 58814 | ||||||||||
| 5. | Проблемные кредиты (просроченные и сомнительные) | 2679 | 1863 | 2113 | 2500 | 3145 | 3379 | 3661 | ||||||||||
| 6. | Вложения в ценные бумаги | 2175 | 4390 | 4402 | 6534 | 8157 | 14338 | 13985 | ||||||||||
| 7. | Резервы под активные операции банков | 2737 | 3194 | 3905 | 5355 | 7250 | 9370 | 9582 | ||||||||||
| % выполнения формирования резерва | 61.5 | 85.4 | 93.3 | 98.2 | 99.7 | 100.05 | 100.04 | |||||||||||
| 7.1 | из них: резерв на возмещение возможных потерь за кредитными операциями | 2 336 | 2963 | 3575 | 4631 | 6367 | 8328 | 8494 | ||||||||||
| ПАССИВЫ | ||||||||||||||||||
| 1. | Пассивы, всего | 37129 | 47591 | 63896 | 100234 | 134348 | 213878 | 211811 | ||||||||||
| 2. | Балансовый капитал | 6507 | 7915 | 9983 | 12882 | 18421 | 25451 | 25931 | ||||||||||
| 2.1 | из него: уставной капитал | 3671 | 4573 | 5998 | 8116 | 11605 | 16111 | 16346 | ||||||||||
| 2.2 | Доля капитала в пассивах | 17.5 | 16.6 | 15.6 | 12.9 | 13.7 | 11.9 | 12.2 | ||||||||||
| 3. | Обязательства банков | 30622 | 39 676 | 53 913 | 87352 | 115927 | 188427 | 185880 | ||||||||||
| 3.1 | из них: средства субъектов хозяйственной деятельности | 13071 | 15653 | 19 703 | 27987 | 40128 | 61214 | 58977 | ||||||||||
| 3.1.1 | из них: срочные средства субъектов хозяйственной деятельности | 2867 | 4698 | 6161 | 10391 | 15377 | 26807 | 25610 | ||||||||||
| 3.2 | вклады физических лиц | 6649 | 11165 | 19092 | 32113 | 41207 | 72542 | 73332 | ||||||||||
| 3.2.1 | из них: срочные вклады физических лиц | 4569 | 8060 | 14128 | 24861 | 33204 | 55257 | 57222 | ||||||||||
| Справочно: | ||||||||||||||||||
| 1. | Регулятивный капитал | 5148 | 8025 | 10099 | 13274 | 18188 | 26373 | 26489 | ||||||||||
| 2. | Адекватность регулятивного капитала (Н2) | 15.53 | 20.69 | 18.01 | 15.11 | 16.81 | 14.95 | 15.08 | ||||||||||
| 3. | Доходы | 7446 | 8583 | 10470 | 13949 | 20072 | 27537 | 2668 | ||||||||||
| 4. | Затраты | 7476 | 8051 | 9785 | 13122 | 18809 | 25367 | 2398 | ||||||||||
| 5. | Результат деятельности | -30 | 532 | 685 | 827 | 1263 | 2170 | 270 | ||||||||||
| 6. | Рентабельность активов, % | -0.09 | 1.27 | 1.27 | 1.04 | 1.07 | 1.31 | … | ||||||||||
| 7. | Рентабельность капитала, % | -0.45 | 7.50 | 7.97 | 7.61 | 8.43 | 10.39 | … | ||||||||||
| 8. | Чистая процентная маржа, % | 6.31 | 6.94 | 6.00 | 5.78 | 4.90 | 4.90 | … | ||||||||||
| 9. | Чистый спред, % | 7.10 | 8.45 | 7.20 | 6.97 | 5.72 | 5.78 | … | ||||||||||
Таблица А.2 Активы и обязательства первых 30 комерческих банков Украины по состоянию на 01.01.2006 года [37]
Таблиця А.3 Кредитно-инвестиционный портфель первых 30 коммерческих банков Украины по состоянию на 01.01.2006 года [37]
Таблица А.4 Собственный капитал первых 30 коммерческих банков Украины по состоянию на 01.01.2006 года [37]
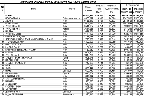
Таблица А.5 Депозиты физических лиц в первых 30 коммерческих банках Украины по состоянию на 01.01.2006 года [37]
Приложение Б
Таблица Б.1 Баланс АКБ „Приватбанк” за 2000 – 2004 года
Т
аблица Б.2 Баланс АКБ „Приватбанк” за 2003 – 2006 года
Т
аблица Б.4 Показатели баланса АКБ «Приватбанк» за 2003 - 2006 года
















