2774 (684833), страница 15
Текст из файла (страница 15)
73. Шелудько В. М. Фінансовий менеджмент: Підручник/ В.М. Шелудько. - К.: Знання, 2006. - 439 с. - (Вища освіта XXI століття)
74. Шевченко Р. І. Банківські операції : Навч.-метод. посіб. для самост. вивч. дисципліни / Київський національний економічний ун-т - К. : КНЕУ, 2003. – 276с.
75. Шиян Д.В. Фінансовий аналіз: Навчальний посібник/ Д.В. Шиян, Н.І. Строченко. - К.: А.С.К., 2005. - 240 с. - (Університетська б-ка)
76. Щетинін А.І. Гроші та кредит: Підручник для студ. вищих навчальних закладів/ А.І. Щетинін. - К.: Центр навчальної літератури, 2005. - 432 с
77. Щибиволок З.І. Аналіз банківської діяльності: Навчальний посібник/ З.І. Щибиволок; Відп. за вип. С.І. Шкарабан. - К.: Знання, 2006. - 312 с
78. Эдгар М. Управление финансами в коммерческих банках / Пер.с англ. – М.: Альпина Бизнес Букс, 2004. – 208 с.
79. Ющенко В.А., Міщенко В.І. Управління валютними ризиками.: Навчальний посібник .- Товариство “Знання”, КОО, 1998. – 444 с.
80. Яценюк А.П. Обгрунтування принципів і стандартів банківського регулювання та нагляду // Вісник Української академії банківської справи.- 2003.- № 1.- C. 3-8.
81. Офіційний Інтернет-сайт НБУ – HTTP://www.bank.gov.ua
82. Офіційний Інтернет-сайт Асоціації банків України – HTTP:// WWW.AUB.COM.UA
83. Офіційний Інтернет-сайт Державного комітета статистики України - http://www.ukrstat.gov.ua/, 2007
84. Законодавчо-довідкова система законодавства України – HTTP:// WWW.LIGA-ZAKON.COM.UA
83. Офіційний Інтернет-сайт АТЗТ АК “Промінвестбанк” – http:// www. prominvestbank.com.ua
ДОДАТОК А
Балансові звіти Промінвестбанку за 2004 -2007 роки
ДОДАТОК Б
Звіт про фінансові результати Промінвестбанку за 2004 -2007 роки
Додаток В
Динаміка темпів росту та приросту основних показників балансу Промінвестбанку за 2004 -2007 роки
ДОДАТОК Г
Динаміка виконання основних нормативів діяльності Н1 –Н13
Промінвестбанком за 2004 -2007 роки
ДОДАТОК Е
Таблиця Е.1
Багатовимірний регресійний аналіз рентабельності (11 параметрів)
(
модель “Активи + пасиви” для помісячної зведеної вибірки по 4-х банках за 2004 – 2007 роки (192 результати) – БАНК “Промінвестбанк”, БАНК “Приватбанк”, БАНК “Укрсоцбанк”, БАНК “Державний Укрексімбанк”)
Таблиця Е.2
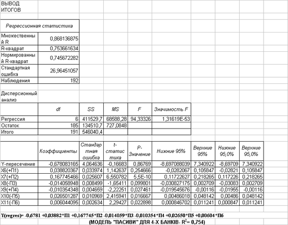
Багатовимірний регресійний аналіз рентабельності (6 параметрів)
(модель “Пасиви” для помісячної зведеної вибірки по 4-х банках за 2004 – 2007 роки (192 результати) – БАНК “Промінвестбанк”, БАНК “Приватбанк”, БАНК “Укрсоцбанк”, БАНК “Державний Укрексімбанк”)
Таблиця Е.3
Багатовимірний регресійний аналіз рентабельності (11 параметрів)
(модель “Активи + пасиви” для помісячної зведеної вибірки за 2004 – 2007 роки (48 результатів по БАНК “Промінвестбанк”)
Таблиця Е.4
Багатовимірний регресійний аналіз рентабельності (6 параметрів)
(модель “Пасиви” для помісячної зведеної вибірки за 2003 – 2006 роки
(48 результатів по БАНК “Промінвестбанк”)
ДОДАТОК Ж
Таблиця Ж.1
Таблиця Ж.2
Таблиця Ж.3
Таблиця Ж.4
Таблиця Ж.5
ДОДАТОК К
Таблиця К.1
Процентні ставки за активними і пасивними операціями Національного банку України за лютий 2008 року
| Дата | Облікова ставка | Процентні ставки за активними і пасивними операціями НБУ | ||||||||
| За кредитами овернайт | За тендером з розміщення депозитних сертифікатів НБУ | |||||||||
| під забезпечення державними цінними паперами | без забезпечення (бланковий) | на строк, днів | процентна ставка (максимальна) | оголошений обсяг, млн. грн. | мінімальний обсяг заявки, млн. грн. | |||||
| 03 | 10.0 | 14.5 | 15.0 | 2 8 | 0.5 1.5 | |||||
| 04 | 10.0 | 14.5 | 15.0 | 2 7 | 0.5 1.5 | |||||
| 05 | 10.0 | 14.5 | 15.0 | 2 7 61 90 | 0.5 1.5 4.0 5.0 | |||||
| 06 | 10.0 | 14.5 | 15.0 | 5 7 14 29 90 120 | 0.7 1.0 2.0 3.0 5.0 6.0 | |||||
| 07 | 10.0 | 14.5 | 15.0 | 4 7 60 90 | 0.7 1.0 4.0 5.0 | |||||
ДОДАТОК Л
Структурний аналіз залучених коштів в АТЗТ «АК Промінвестбанк»
Рис.Л.1. - Повалютна структура залучених коштів юридичних та фізичних осіб в АТЗТ «АК Промінвестбанк» у 2006 -2007 роках
Рис.Л.2. - Структура строковості залучених коштів юридичних та фізичних осіб в АТЗТ «АК «Промінвестбанк» у 2007 році
Рис.Л.3. - Структура строковості залучених коштів бюджетних та небанківських юридичних осіб в АТЗТ «АК «Промінвестбанк» у 2007 році
ДОДАТОК М
Рис. М.1. - Динаміка річних ставок валютних депозитів юридичних осіб в АТЗТ «АК Промінвестбанк» у 2004 -2008 роках в залежності від строку депозиту для сум більше 500 тис. доларів США / 500 тис. євро
Р
ис. М.2. - Динаміка річних ставок валютних депозитів юридичних осіб в АТЗТ «АК Промінвестбанк» у 2004 -2008 роках в залежності від строку депозиту для сум до 10 тис. доларів США / до 10 тис. євро
Рис. М.3. - Динаміка річних ставок валютних депозитів юридичних осіб в АТЗТ «АК Промінвестбанк» у 2004 -2008 роках в залежності від строку та суми депозиту
Таблиця М.1
Динаміка ставок гривневих депозитів в АТЗТ «АК Промінвестбанк» для юридичних осіб у 2004-2008 роках
Таблиця М.2
Динаміка ставок валютних депозитів в АТЗТ «АК Промінвестбанк» для юридичних осіб у 2004-2008 роках
Рис. М.4. - Динаміка річних ставок гривневих депозитів юридичних осіб в АТЗТ «АК Промінвестбанк» у 2004 -2008 роках в залежності від строку депозиту для сум від 500 тис. грн. до 800 тис. грн.
Рис. М.5. - Динаміка річних ставок гривневих депозитів юридичних осіб в АТЗТ «АК Промінвестбанк» у 2004 -2008 роках в залежності від строку депозиту для сум від 10 тис. грн. до 50 тис. грн.
Таблиця М.3
Динаміка ставок гривневих депозитів в АТЗТ «АК Промінвестбанк» для фізичних осіб у 2004-2008 роках
Таблиця М.4
Динаміка ставок валютних депозитів в АТЗТ «АК Промінвестбанк» для фізичних осіб у 2004-2008 роках
Рис. М.7. - Динаміка річних ставок гривневих депозитів фізичних осіб в АТЗТ «АК Промінвестбанк» у 2004 -2008 роках в залежності від виду депозиту для строку від 9 до 12 місяців
Р
ис. М.8. - Динаміка річних ставок гривневих депозитів фізичних осіб в АТЗТ «АК Промінвестбанк» у 2004 -2008 роках в залежності від строку та в
иду депозиту
Рис. М.9. - Динаміка річних ставок валютних депозитів фізичних осіб в АТЗТ «АК Промінвестбанк» у 2004 -2008 роках в залежності від виду депозиту для строку від 9 до 12 місяців
Рис. М.10. - Динаміка річних ставок валютних депозитів фізичних осіб в АТЗТ «АК Промінвестбанк» у 2004 -2008 роках в залежності від строку та виду депозиту
Рис.Н.1 – Конкурентне позиціонування пропозицій АТЗТ “АК Промінвестбанк”в сегменті доходних строкових депозитів фізичних осіб в гривнях (% ставка депозиту)
Рис.Н.2 – Конкурентне позиціонування пропозицій АТЗТ “АК Промінвестбанк”в сегменті доходних строкових депозитів фізичних осіб в доларах США (% ставка депозиту)
Рис.Н.3 – Конкурентне позиціонування пропозицій АТЗТ “АК Промінвестбанк”в сегменті доходних строкових депозитів фізичних осіб в євро (% ставка депозиту)
Рис.О.1. – Аналіз часових геп-розривів в обсягах короткострокових активів та пасивів в національній та ВКВ і НКВ валютах в в АТЗТ “АК Промінвестбанк” станом на 31.12.2005 року
Рис.О.2. – Аналіз часових геп-розривів в обсягах довгострокових активів та пасивів в національній та ВКВ і НКВ валютах в в АТЗТ “АК Промінвестбанк” станом на 31.12.2005 року
Рис.О.3. – Аналіз часових геп-розривів в обсягах короткострокових активів та пасивів в національній та ВКВ і НКВ валютах в в АТЗТ “АК Промінвестбанк” станом на 31.12.2006 року
Рис.О.4. – Аналіз часових геп-розривів в обсягах довгострокових активів та пасивів в національній та ВКВ і НКВ валютах в в АТЗТ “АК Промінвестбанк” станом на 31.12.2006 року
Рис.О.5. – Аналіз стратегії управління геп-розривами в короткострокових активах та пасивах в в АТЗТ “АК Промінвестбанк” у 2005 – 2006 роках
Рис.О.6. – Аналіз стратегії управління геп-розривами в довгострокових активах та пасивах в АТЗТ “АК Промінвестбанк” у 2005 – 2006 роках
ДОДАТОК П















