1419 (684628), страница 9
Текст из файла (страница 9)
31. Кузнецов С.Г. Роль золота в сучасній економіці // Вісник Киїівського національного університету, серія «Економіка», № 72, 2004, стор.17 – 19.
32. Кулинич О. І. Теорія статистики: Підручник/ О.І. Кулинич, Р.О. Кулинич. 3тє вид., переробл. і допов.. К.: Знання, 2006. 294 с. (Вища освіта XXI століття)
33. Ляховский В.С., Коробейников Д.В., Серебряков П.А. Справочник по управлению рисками банковской деятельности. М.:Гелиос АРВ , 2006г., 575 стр.
34. Мала гірнича енциклопедія: В 3х т. / За ред. В.С. Білецького. — Донецьк: Донбас, 2004.
35. Матюшенко І.Ю. «Основи фінансового менеджменту». – Київ, ЦНЛ, 2003, 219с.
36. Международные валютно-кредитные и финансовые отношения / под редакцией Л.Н.Красавиной – М.: «Финансы и статистика», 2001
37. Мировой рынок золота: принципы функционирования // А.Комаров, Белорусия, Банкаўскi веснiк, СТУДЗЕНЬ 2007
38. Мировая экономика: Учебник / под редакцией А.С.Булатова – М.:Изд-во «ЮРИСТЪ», 2001
39. Миркин Я.М. Ценные бумаги и фондовый рынок. М., Перспектива, 1995
40. Мертенс А. Інвестиції: Курс по сучасній фінансовій теорії. – Київ, Київське інвестиційне агентство, 1997.
41. Обзор «Драгоценные металлы 2007» (Маркетинговое исследование) // http://WWW.RESTKO.RU
42. Основы международных валютнофинансовых и кредитных отношений: учебник./ Под ред Круглова В.В. – М.:ИНФРАМ, 1998.
43. Платонова И.Н. Международные валютнокредитные и финансовые отношения: Ч.1 — М.: ФА, 2001.
44. Платонова И.Н. Международные валютно-кредитные и финансовые отношения: учебно-практическое пособие для дистанционного обучения. Ч.2 — М.: Финансовая академия, 2003.
45. Примостка Л.О. Фінансовий менеджмент у банку: Підручник. — 2е вид., доп. і перероб. — К.: КНЕУ. 2004. — 468 с.
46. Редхэд К., Хьюс С. Управление финансовыми рисками / Пер.с англ. – М.: ИНФРА М, 1996. – 288 с.
47. Рынок ценных бумаг / под ред. В.А. Галанова,А.И. Басова – М.: Финансы и статистика, 1996
48. Рынок драгоценных металлов. Аналитический обзор // Газета «Банкнота», №4 (111) АПРЕЛЬ, 2007, нттр://www.BAKNOTA.ZUBSB.RU
49. Савчук В.П. «Финансовый менеджмент предприятий: прикладные вопросы с анализом деловых витуаций». – Киев, издательский дом «Максимум», 2001, 592с.
50. Современный рынок золота / под.ред В.И.Букато, М.Х.Лапидуса. — М.: Финансы и статистика, 2004.
51. Святненко А. Золоті інвестиції. Коштовні метали торік стали третім за дохідністю фінансовим інструментом українців // «Дзеркало тижня», № 7 (636) 24 лютого — 2 березня 2007
52. События 2007 и взгляд на перспективы 2008 года // Аналитический обзор финансовой группы KALITAFINANCE, http://www.kfforex.ru, 2008
53. Состояние и перспективы мирового рынка золота // БИКИ. 2003. N 128129. С. 1719.
54. Сорос Дж. Алхимия финансов. М.: «ИНФРАМ», 1998. 416 с.
55. Стивен Росс, Рендолф Вестернфилд, Бредфорд Дордан «Основы корпоративных финансов». Москва: Лаборатория базовых знаний, 2000. 720с.
56. Строгов В.В. Предоставление финансовой информации в глобальной сети Internet // Информационное агентство «Финмаркет», 2006
57. Суэтин А.А. Международный рынок золота // Аудитор, №1, 2004 – стр.39 – 44.
58. Тэор Т.Р. Мировая экономика: Пособие для подгот. к экзамену / Т.Р.Тэор. СПб. и др.: Питер, 2002. 218с.
59.Уваров К., Куценко О. Методичні рекомендації щодо організації та функціонування систем ризик-менеджменту в банках України: орієнтир на майбутнє // Вісник Національного банку України. – 2005. – № 1. – С. 60–63.
60. Уманець Т. В. Економічна статистика. — К.: Знання, 2006. — 429с.
61. Фомичев В. И. Международная торговля: Учеб. для студентов вузов, обучающихся по специальности "Мировая экономика" / В.И.Фомичев. 2е изд., перераб. и доп. М.: ИнфраМ, 2001. 445с.
62. Характеристика стану та тенденцій розвитку ринку цінних паперів у І кварталі 2006 року // Звіт ДКЦПФР, 2006 рік
63. Ходаківська В.П., Данілов О.Д. Ринок фінансових послуг: Навчальний посібник. – Ірпінь: Академія ДПС України, 2001. – 501 с.
64. Шмырёва В.И.,Колесников В.И., Климов А..Ю. Международные валютно-кредитные отношения: Учебник. СПб.: ПИТЕР, 2002.
65. Штангрет А.М., Копилюк О.І. Статистика. — Л.: Українська академія друкарства, 2005. — 176с.
66. Шумловский С. Столетие платины. Эволюция ценообразования металлов платиновой группы // «Драгоценные металлы и камни» №1, 2007 – Интернетсайт «Металлы Евразии»
67. Энг М.В., Лис Ф.А., Мауер Л.Дж. Мировые финансы. М.: «ДеКА», 1998
68. Юджин Бригхем, Луис Гапенски «Финансовый менеджмент» в 2х томах. – СПетербург: СПий университет экономики и финансов, 1999. – 1024 с.
69. Якимкин В.Н. Финансовый дилинг. Кн.2: Сегментация рынка / В.Якимкин. М.: Гражданка РФ Якимкина В.Г., 2002. 654с.
70. HTTP://WWW.BANK.GOV.UA. – Офіційний сайт Національного банку України
71. HTTP://WWW.UBDM.COM.UA. – Офіційний сайт Української біржі дорогоцінних металів
72. HTTP://www.gold.primetass.ru – Інтернетсайт "ПРАЙМТАСС ЗОЛОТО" «Вестник золотопромышленника России»
73. HTTP://www.ereport.ru – Інтернетсайт "Мировая экономика" «раздел – Мировой рынок золота», 2007
74. HTTP://www.rbc.ua – Інтернетсайт "Інформаційна агенція РБКУкраїна», 2007
75. HTTP://www.forexua.com – Інтернетсайт "Форекс Україна», 2007
76. HTTP://WWW.PRIVATBANK.DP. UA Офіційний сайт АКБ “Приватбанк”
77. HTTP://WWW.AUB.COM. UA Офіційний сайт Асоціації банків України
78. HTTP://WWW.LIGAZAKON.COM.UA Комп’ютерна законодавчо-довідкова система законодавства України “Лігазакон”, 2007
ДОДАТКИ
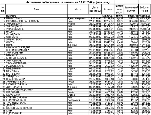
Додаток А
Рейтинг банків банківської системи України станом на 01.12.2007 року[77]
Додаток Б
Фінансові характеристики АКБ ”Приватбанк” за 2003 – 2005 роки [70]
Таблиця Б.1
Продовження табл.Б.1
Таблиця Б.2
Звіт про фінансові результати діяльності АКБ “Приватбанк”
у 2003 – 2005 роках [70]
Продовження табл.Б.2
Фінансові характеристики АКБ ”Приватбанк” за 2006 – 2007 роки [70]
Таблиця Б.3
Продовження табл.Б.3
Таблиця Б.4
Звіт про фінансові результати діяльності АКБ “Приватбанк”
у 2006 – 2007 роках [70]
Продовження табл.Б.4
Додаток В
Рис.В.1. – Аналіз довгострокових тенденцій на ринку золота у 1975 – 2006 роках (середньорічна вартість унції
золота в доларах США) [71]
Рис.В.2. – Аналіз річних тенденцій ринку золота у 2006 році (ціна унції золота в доларах США – фіксинги
Лондонської біржі) [71]
Рис.В.3. – Аналіз короткострокових тенденцій ринку золота у 2007 році (ціна унції золота в доларах США –
фіксинги Лондонської біржі)[71]
Рис.В.4. – Аналіз середньострокових та короткострокових тенденцій ринку золота у 2005 2007 роках (ціна унції
золота в доларах США – фіксинги Лондонської біржі) [71]
Додаток Г
Рис.Г.1. Аналіз циклічності цін на ринку золота у 2002 2007 році (ціна унції золота в доларах США –
середньомісячний фіксінг Лондонської біржі)
Рис.Г.2. Аналіз цінової циклічності валютної пари EUR(ECU)/USD у 1976 2008 роках [73]
Рис.Г.3. Аналіз цінової циклічності валютної пари GBR/USD у 1976 2008 роках [73]
Рис.Г.4. Аналіз цінової циклічності валютної пари USD/CHF у 1976 2008 роках [73]
Рис.Г.5. Аналіз цінової циклічності валютної пари USD/JPY у 1976 2008 роках [73]
Додаток Д
Структури залучених валютних коштів від банків та клієнтів у 2005 –2006 роках та оцінка валютної позиції банку
Рис.Д.1. Повалютна структура активів та пасивів балансу АКБ «Приватбанк» станом на 31.12.2005 року
Рис.Д.2. Повалютна структура активів та пасивів балансу АКБ «Приватбанк» станом на 31.12.2006 року
Рис.Д.3. Повалютний аналіз валютної позиції в АКБ «Приватбанк» станом на 31.12.2005 року
Рис.Д.4. Повалютний аналіз валютної позиції в АКБ «Приватбанк» станом на 31.12.2006 року
Рис.Д.5. Аналіз управління ризиками ліквідності та валютними ризиками з застосуванням нормативних
обмежень НБУ в АКБ “Приватбанк” у 2003 – 2006 роках
Рис.Д.6. Повалютний аналіз структури коштів банків та клієнтів
в пасивах АКБ «Приватбанк» станом на 31.12.2005 та 31.12.2006
Рис.Д.7. Повалютний аналіз структури кредитів банкам та клієнтам
в активах АКБ «Приватбанк» станом на 31.12.2005 та 31.12.2006
Додаток Е
Р
ис.Е.1. – Середньострокова динаміка цін на нафту у 2002 – 2007 роках (ціна 1 бареля в доларах США) [73]
Рис.Е.2. – Середньострокова динаміка індексу ДоуДжонса ринку цінних паперів у 2002 – 2007 роках [73]
Р
ис. Е.3. Кореляційно регресійний зв’язок цін на золото та цін на нафту у 2002 –2006 роках
Р
ис. Е.4. Кореляційно регресійний зв’язок цін на золото та цін на платину у 2002 –2006 роках
Р
ис. Е.5. Кореляційно регресійний зв’язок цін на золото та цін на срібло у 2002 –2006 роках
Додаток Ж
Р
ис.Ж.1. – Вихідні дані для технічного аналізу курсу золота по результатам торгів на Лондонській біржі у січні –травні 2007 року [71]
Р
ис.Ж.2. – Технічний аналіз курсу золота по результатам торгів на Лондонській біржі у січні –травні 2007 року
методом осцилятора (ковзні середні 5 –14 днів)
Р
ис.Ж.3. – Технічний аналіз курсу золота по результатам торгів на Лондонській біржі у січні –травні 2007 року з
застосуванням метода поліноміальной регресії 6 ступеню з прогнозом на 10 днів вперед
Фактичний короткостроковий пік ціни на золото, спрогнозований на рис.3.28
890 –16.01.2008
Рис.Ж.4. – Фактичний курс золота по результатам торгів на Лондонській біржі у січні – грудні 2007 року та оцінка короткострокового прогнозу з застосуванням метода поліноміальной регресії 6 ступеню з прогнозом на 10 днів вперед на початку травня 2007 року
Рис.Ж.5. – Фактичний курс бареля нафти/дол.США по результатам торгів у січні – грудні 2007 року [73]
















