95049 (682458)
Текст из файла
ГОСУДАРСТВЕННОЕ ОБРАЗВАТЕЛЬНОЕ УЧРЕЖДЕНИЕ ВЫСШЕГО ПРОФЕССИОНАЛЬНОГО ОБРАЗОВАНИЯ
ВОЛГОГРАДСКИЙ ГОСУДАРСТВЕННЫЙ ПЕДАГОГИЧЕСКИЙ УНИВЕРСИТЕТ
Естественно-географический факультет
Кафедра химии и МПХ
Курсовая работа
на тему: Биохимические особенности витамина А
Волгоград 2010г.
Оглавление
Введение
1. Витамин А.Строение и свойства
2. Роль и значение витамина А в организме человека
3. Источники витамина А
4. Гипо- и гепервитаминозы витамина А
Заключение
Список литературы
Введение
Всем известное слово "витамин" происходит от латинского "vita" - жизнь. Такое название эти органические соединения получили не случайно: роль витаминов в жизнедеятельности организма чрезвычайно велика.
С древних времен люди замечали определенные особенности, за некоторыми из продуктов, например древние Египтяне знали, что кормление пациентов вареной печенью помогает вылечивать сумеречную слепоту, болезнь, вызванную дефицитом витамина А. В 1747 году шотландский хирург Джеймс Линд обнаружил, что пищевые продукты цитрусовых помогали предотвратить цингу, особенно тяжелую смертельную болезнь, при которой коллаген должным образом не формируется, вызывая плохое заживление ран, кровотечение десен, серьезные боли и смерть. Но, что же особенного в этих продуктах?[4]
На этот вопрос не было ответа и до второй половины XIX века считалось, что пищевая ценность продуктов определяется содержанием в них белков, жиров, углеводов, минеральных солей и воды. Но в 1880 году русский ученый Николай Лунин, изучавший роль минеральных веществ в питании, заметил, что мыши, поглощавшие искусственную пищу, составленную из всех известных частей молока (казеина, жира, сахара и солей), чахли и погибали. А мышки, получавшие натуральное молоко, были совершенно здоровы. "Из этого следует, что в молоке... содержатся еще другие вещества, незаменимые для питания", - сделал вывод ученый. Еще через 16 лет нашли причину болезни "бери-бери", распространенной среди жителей Японии и Индонезии, питавшихся в основном очищенным рисом. Врачу Эйкману, работавшему в тюремном госпитале на острове Ява, помогли... куры, бродившие по двору. Их кормили очищенным зерном, и птицы страдали заболеванием, напоминавшим "бери-бери". Но заменив рис на неочищенный - болезнь проходила. Первым выделил витамин в кристаллическом виде польский ученый Казимир Функ в 1911 году. Год спустя он же придумал и название - от латинского vitamine: vita – жизнь и amine – класс химических соединений, к которому принадлежит это вещество.[4] Но и на сегодняшний день вопрос о витаминах остается актуальным, ведь отсутствие лишь одного из этих соединений вызывает серьезные нарушения в организме, а в некоторых случаях может привести к смерти. Но тем не менее изучение влияния витаминов на организм продолжается и не безуспешно, например некоторые ученые пришли к выводу, что витамин А способствует поддержанию постоянного уровня сахара в крови, помогая организму более эффективно использовать инсулин. Если эти данные подтвердятся, использование ретинола станет первым шагом к победе над резистентностью к инсулину и такими заболеваниями как диабет I и II типа, гипертония, гипогликемия и ожирение.[8]
Цель: Познакомится с характерными особенностями витамина А;
Задачи:
1) Углубить знания о витаминах;
2) Ознакомится с составом и свойствами витаминов группы А;
3) Выявить роль влияния витамина А на жизнедеятельность организма.
Методы: Анализ литературы и информации из интернета.
1. Витамин А.Строение и свойства
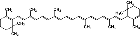
ВИТАМИН А-группа природных соединений - производных
ионона (формула I). Кристаллические вещества, не растворимы в воде, хорошо растворяются в органических растворителях. Разлагаются при взаимодействии с О2. Склонны к цис-транс-изомеризации, особенно по связям 11 и 13. Важнейшие представители: ретинол (витамин А1, витамин А1-спирт, эксерофтол; формула II, R = = СН2ОН), ретиналь (ретинен, ретинальдегид, витамин A1-альдегид; II, R = СНО) и ретиноевая кислота (витамин А2, II, R == СООН). У всех соединений, кроме 11-цис-ретиналя, присутствующего в сетчатке глаз, все двойные связи имеют транс-конфигурацию. [11]
В организме в результате действия фермента 15,15-оксигеназы на
каротин (главный провитамин витамина А; III) образуются две молекулы ретиналя. Незначительная часть его окисляется до ретиноевой кислоты, которая поступает в кровоток, а основная часть восстанавливается до ретинола. Последний этерифицируется пальмитиновой или другими высшими жирными кислотами и депонируется в печени. В результате последующего гидролиза эфиров свободный витамин секретируется из печени в кровоток. Там он образует комплекс со специфическим ретинолсвязывающим белком (мол. м. 22000), который обеспечивает его солюбилизацию, защиту от окисления и направленный перенос в ткани. Связанный ретинол в отличие от свободного не обладает мембранолитическим действием. [11]
СВОЙСТВА СОЕДИНЕНИЙ, ВХОДЯЩИХ В ГРУППУ ВИТАМИНА А
Витамин А включает ряд близких по структуре соединений:
-
ретинол (витамин А-спирт, витамин А1, аксерофтол);
-
дегидроретинол (витамин А2);
-
ретиналь (ретинен, витамин А-альдегид);
-
ретинолевая кислота (витамин А-кислота);
-
эфиры этих веществ и их пространственные изомеры.
Дегидроретинол
Ретиналь (R = –CHO);
ретинол (R = –CH2OH);
ретиноевая кислота (R = –COOH)
Ретинол (истинный витамин A, транс-9,13-Диметил-7-(1,1,5-триметилциклогексен-5-ил-6)-нонатетраен-7,9,11,13-ол) — жирорастворимый витамин, антиоксидант. В чистом виде нестабилен, встречается только в продуктах животного происхождения. Поэтому производится и используется в формах ретинола ацетата и ретинола пальмитата. Был открыт в 1913 году двумя независимыми группами ученых (Мак-Коллут — Дэвис и Осборн). Стал первым из открытых витаминов, поэтому его соединение стало обозначаться буквой A в соответствии с алфавитной номенклатурой.[1]
Ретинол является жирорастворимым, поэтому для его усвоения пищевым трактом требуются жиры, а также минеральные вещества. В организме его запасы остаются достаточно долго, чтобы не пополнять его запасы каждый день. Существует две формы этого витамина: это готовый витамин А (ретинол) и провитамин А (каротин), который в организме человека превращается в витамин A, поэтому его можно считать растительной формой витамина A. Витамин A имеет бледно-желтый цвет, который образуется из красного растительного пигмента бета-каротина.[1]
Каротин, впервые был выделен из моркови (от лат. carota – морковь). Известны 3 типа каротинов: α-, β- и γ-каротины, отличающиеся друг от друга химическим строением и биологической активностью. Наибольшей биологической активностью обладает β-каротин, поскольку он содержит два β-иононовых кольца и при распаде в организме из него образуются две молекулы витамина А.
α-Каротин
При окислительном распаде α- и γ-каротинов образуется только по одной молекуле витамина А, поскольку эти провитамины содержат по одному β-иононовому кольцу. Расщепление каротинов на молекулы витамина А происходит преимущественно в кишечнике под действием специфического фермента β-каротин-диоксигеназы (не исключена возможность аналогичного превращения и в печени) в присутствии молекулярного кислорода. При этом образуются 2 молекулы ретиналя, которые под действием специфической кишечной редуктазы восстанавливаются в витамин А. Степень усвоения каротинов и свободного витамина А зависит как от содержания жиров в пище, так и от наличия свободных желчных кислот, являющихся абсолютно необходимыми соединениями для процесса всасывания продуктов распада жиров. [8]
Более подробно выяснено значение витамина А в процессе свето-ощущения. В этом важном физиологическом процессе большую роль играет особый хромолипопротеин – сложный белок родопсин, или зрительный пурпур, являющийся основным светочувствительным пигментом сетчатки, в частности палочек, занимающих ее периферическую часть. Установлено, что родопсин состоит из липопротеина опсина и простети-ческой группы, представленной альдегидом витамина A1(ретиналь); связь между ними осуществляется через альдегидную группу витамина и свободную ε-NH2-группу лизина молекулы белка с образованием шиффова основания. На свету родопсин расщепляется на белок опсин и ретиналь; последний подвергается серии конформационных изменений и превращению в транс-форму. С этими превращениями каким-то образом связана трансформация энергии световых лучей в зрительное возбуждение – процесс, молекулярный механизм которого до сих пор остается загадкой. В темноте происходит обратный процесс – синтез родопсина, требующий наличия активной формы альдегида – 11-цис-ретиналя, который может синтезироваться из цис-ретинола, или транс-ретиналя, или транс-формы витамина А при участии двух специфических ферментов – дегидрогеназы и изомеразы. Более подробно цикл превращений родопсина в сетчатке глаза на свету и в темноте можно представить в виде схемы:
Таким образом, под действием кванта света родопсин через ряд промежуточных продуктов («оранжевый» и «желтый» белки) распадается на опсин и алло-транс-ретиналь, представляющий собой неактивную форму альдегида витамина А. Имеются сведения, что алло-транс-ретиналь может частично превращаться в активный 11-цис-ретиналь под влиянием света (на схеме – пунктирная стрелка). Однако главным путем образования 11-цис-ретиналя является ферментативное превращение транс-формы витамина А в цис-форму (под действием изомеразы) и последующее окисление ее при участии алкогольдегидрогеназы. [8]
Следует отметить, что подобные зрительные циклы имеют место как в палочках, так и в колбочках. Показано, что сетчатка содержит 3 типа клеток-колбочек, каждый из которых наделен одним из трех цветочувствительных пигментов, поглощающих синий, зеленый и красный свет соответственно при 430, 540 и 575 нм. Оказалось, что все 3 пигмента, получившие название иодопсинов, также содержат 11-цис-ретиналь, но различаются по природе опсина (колбочные типы опсина). Некоторые формы цветовой слепоты (дальтонизм) вызваны врожденным отсутствием синтеза одного из 3 типов опсина в колбочках или синтезом дефектного опсина (люди не различают красный или зеленый цвет).[8]
2. Роль и значение витамина А в организме человека
1. Витамин А участвует в окислительно-восстановительных процессах, регуляции синтеза белков, способствует нормальному обмену веществ, функции клеточных и субклеточных мембран, играет важную роль в формировании костей и зубов, а также жировых отложений; необходим для роста новых клеток, замедляет процесс старения.[9]
2. Витамин А поддерживает ночное зрение путём образования пигмента, называемого родопсин, способного улавливать минимальный свет, что очень важно для ночного зрения. Он также способствует увлажнению глаз, особенно уголков, предохраняя их от пересыхания и последующего травмирования сетчатки. [9]
3. Витамин А необходим для нормального функционирования иммунной системы и является неотъемлемой частью процесса борьбы с инфекцией. Применение ретинола повышает барьерную функцию слизистых оболочек, увеличивает фагоцитарную активность лейкоцитов и других факторов неспецифического иммунитета. Витамин А защищает от простуд, гриппа и инфекций дыхательных путей, пищеварительного тракта, мочевых путей. Наличие в крови витамина А является одним из главных факторов, ответственных за то, что дети в более развитых странах гораздо легче переносят такие инфекционные заболевания как корь, ветряная оспа, тогда как в странах с низким уровнем жизни намного выше смертность от этих «безобидных» вирусных инфекций. Обеспеченность витамином А продлевает жизнь даже больным СПИДом. [9]
Характеристики
Тип файла документ
Документы такого типа открываются такими программами, как Microsoft Office Word на компьютерах Windows, Apple Pages на компьютерах Mac, Open Office - бесплатная альтернатива на различных платформах, в том числе Linux. Наиболее простым и современным решением будут Google документы, так как открываются онлайн без скачивания прямо в браузере на любой платформе. Существуют российские качественные аналоги, например от Яндекса.
Будьте внимательны на мобильных устройствах, так как там используются упрощённый функционал даже в официальном приложении от Microsoft, поэтому для просмотра скачивайте PDF-версию. А если нужно редактировать файл, то используйте оригинальный файл.
Файлы такого типа обычно разбиты на страницы, а текст может быть форматированным (жирный, курсив, выбор шрифта, таблицы и т.п.), а также в него можно добавлять изображения. Формат идеально подходит для рефератов, докладов и РПЗ курсовых проектов, которые необходимо распечатать. Кстати перед печатью также сохраняйте файл в PDF, так как принтер может начудить со шрифтами.















