CBRR1961 (675818)
Текст из файла
y=a уравнение регрессии.
Таблица 1
| x | 1 | 2 | 3 | 4 | 5 | 6 | 7 | 8 | 9 | 10 |
| y | 1.35 | 1.09 | 6.46 | 3.15 | 5.80 | 7.20 | 8.07 | 8.12 | 8.97 | 10.66 |
Оценка значимости коэффициентов регрессии.
Выдвигается и проверяется гипотеза о том что истинное значение коэффициента регрессии=0.
Для проверки гипотезы используется критерий Стьюдента.
к-т является значимым и нулевую гипотезу отвергаем.
График 1
- уравнение регрессии
Таблица 2
| x | 1 | 2 | 3 | 4 | 5 | 6 | 7 | 8 | 9 | 10 |
| y | 1.35 | 1.09 | 6.46 | 3.15 | 5.80 | 7.20 | 8.07 | 8.12 | 8.97 | 10.66 |
Запишем матрицу X
Система нормальных уравнений.
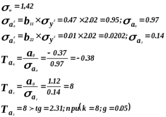
Оценка значимости коэффициентов регрессии.
Для проверки нулевой гипотезы используется критерий Стьюдента..
Коэффициент ai является значимости, т.к. не попал в интервал.
Проверка адекватности модели по критерию Фишера.
Критерий Фишера.
отсюда линия регрессии адекватна отраксает исходную информацию, гипотеза о равенстве мат. Ожиданий отвергается.
Проверка адекватности модели по коэффициенту детерминации или множественная корреляция.
регрессионная модель адекватна
Коэффициент множественной корреляции:
Таблица 3
| x | 1 | 2 | 3 | 4 | 5 | 6 | 7 | 8 | 9 | 10 |
| y | 1.35 | 1.09 | 6.46 | 3.15 | 5.80 | 7.2 | 8.07 | 8.12 | 8.97 | 10.66 |
Приведем квадратное уравнение к линейной форме:
;
Запишем матрицу X.
Составим матрицу Фишера.
Решим ее методом Гаусса.
Уравнение регрессии имеет вид:
Оценка значимости коэффициентов регрессии.
Для проверки нулевой гипотезы используем критерий Стьюдента.
Коэффициенты
значимые коэффициенты.
Проверка адекватности модели по критерию Фишера.
гипотеза о равенстве математического ожидания отвергается.
Проверка адекватности модели по коэффициенту детерминации или множественной корреляции.
Коэффициент детерминации :
- регрессионная модель адекватна.
Коэффициент множественной корреляции
Таблица 4
| x | 1 | 2 | 3 | 4 | 5 | 6 | 7 | 8 | 9 | 10 |
| y | 0,75 | 1,87 | 2,99 | 4,11 | 5,23 | 6,35 | 7,47 | 8,59 | 9,71 | 10,83 |
График 2
Таблица 5
| x | 1 | 2 | 3 | 4 | 5 | 6 | 7 | 8 | 9 | 10 |
| y | 16.57 | 20.81 | 25.85 | 31.69 | 38.3 | 45.8 | 54 | 63.05 | 72.9 | 83.53 |
График 3
Использование регрессионной модели
для прогнозирования изменения показателя
Оценка точности прогноза.
Построим доверительный интервал для заданного уровня надежности.
С вероятностью 0,05 этот интервал покрывает истинное значение прогноза
График 4
Оценка точности периода.
Построим доверительный интервал.
График 5
13
Характеристики
Тип файла документ
Документы такого типа открываются такими программами, как Microsoft Office Word на компьютерах Windows, Apple Pages на компьютерах Mac, Open Office - бесплатная альтернатива на различных платформах, в том числе Linux. Наиболее простым и современным решением будут Google документы, так как открываются онлайн без скачивания прямо в браузере на любой платформе. Существуют российские качественные аналоги, например от Яндекса.
Будьте внимательны на мобильных устройствах, так как там используются упрощённый функционал даже в официальном приложении от Microsoft, поэтому для просмотра скачивайте PDF-версию. А если нужно редактировать файл, то используйте оригинальный файл.
Файлы такого типа обычно разбиты на страницы, а текст может быть форматированным (жирный, курсив, выбор шрифта, таблицы и т.п.), а также в него можно добавлять изображения. Формат идеально подходит для рефератов, докладов и РПЗ курсовых проектов, которые необходимо распечатать. Кстати перед печатью также сохраняйте файл в PDF, так как принтер может начудить со шрифтами.















