matan4 (675752)
Текст из файла
Л
По всем вопросам и по дальнейшему пополнению лекций обращаться на ящик
van_mo_mail@mtu-net.ru или на сотовый:
8-901-7271056 спросить Ваню
екция №15Ведущая: Голубева Зоя Николаевна
Дата: вторник, 14 ноября 2000 г.
Тема: Пять основных разложений
1)y=ex, x0=0
y’(0)=ex|x=0=1
y’’(0)=ex|x=0=1
y(n)(0)=ex|x=0=1
n=1 ex=1+x+o(x),xx0
2) y=sinx, x0=0
y’(0)=cos|x=0=1
y’’(0)=-sinx|x=0=0
y’’’(0)=-cosx|x=0=-1
y’’’’(0)=sinx|x=0=0
если n – чётное, то y(n)(0)=0; n=2k+1 – нечётное y(n)(0)=(-1)k
3) y=cosx, x0=0
y’(0)=-sinx|x=0=0 *
y’’(0)=-cosx|x=0=-1
y’’’(0)=sinx|x=0=0
y’’’’(0)=cosx|x=0=1
если n=2k – чётное, то y(n)(0)=(-1)k; n=2k+1 – нечётное y(n)(0)=0
4) y=ln(1+x), x0=0
y(0)=ln1=0
y’(0)=1/(1+x)|x=0=1
y’’(0)=1(-1)/(x+1)2x=0=-1
y’’’(0)=(-1)(-2)/(x+1)3x=0=(-1)(-2)
y’’’’(0)= (-1)(-2)(-3)/(x+1)4x=0=(-1)(-2)(-3)
y(n)=[(-1)(-2)(-3)…(-n+1)]/(1+x)nx=0=(-1)n-1123…(n-1)=(-1)n-1(n-1)!
5) y=(1+x)p, x0=0
y(0)=1
y’(0)=p(1+x)p-1|x=0=p
y’’(0)= p(p-1)(1+x)p-2x=0=p(p-1)
y’’’(0)= p(p-1)(p-2)(1+x)p-3x=0=p(p-1)(p-2)
y(n)=p(p-1)(p-2)…(p-n+1)(1+x)p-nx=0=p(p-1)(p-2)…(p-n+1)
Если р – натуральное, то y(n)(0)=0 np+1
(либо n
Формула Тейлора с остаточным членом в форме Лангранджа.
Теорема: Пусть функция y=f(x) – n+1 раз дифференцируема в О(х0), тогда в некоторой Оε(х0)
где с лежит между х и xn
Доказательство: Применим теорему Коши о двух функциях к следующим функциям
(x)=f(x)-Tn(x)$
g(x)=(x-x0)n+1
(x0)=0; ’(x0)=0,…,(n)(x0)=0; (n+1)(x)=f(n+1)(x)
g’(x0)=(n+1)(x-x0)nx=0=0; g(n+1)(x)=(n+1)!
[a,b](x);(a,b)g(x);g’(x)0
Лекция №16
Ведущая: Голубева Зоя Николаевна
Дата: вторник, 21 ноября 2000 г.
Тема: Применение формулы Тейлора с остаточным членом в форме Лангранджа, Выпуклость, Вогнутость.
Применение формулы Тейлора с остаточным членом в форме Лангранджа.
Пусть функция f(x) – два раза дифференцируема в О(х0), тогда
f
(x)=f(x0)+f’(x0)(x-x0)+[f’’(c)(x-x0)2]/2 где с лежит между х и х0
уравнение касательной
Если f’’(x)M xO(x0)
f(x)-n+1 – дифференцируема в О(х0)
f(x)=Tn(x)+Rn(x) в О(х0)
n=1
n=2
- график парабола
f(x)-T1(x)=f’(x0)x-x0
f(x)-T2(x)=[f’’(x0)x-x02]/2
T3(x)=ax3+bx2+cx+d – график кубическая парабола
Определение: Пусть функция f(x) – дифференцируема в
точке х0, то она называется выпуклой (вогнутой) в верх
в точке х0, если f(x)-yкас<0 в О(х0)
Определение: Пусть функция f(x) – дифференцируема в
точке х0, то она называется выпуклой (вогнутой) вниз в
точке х0, если f(x)-yкас>0 в О(х0)
Определение: Пусть функция f(x) – дифференцируема в
точке х0, то она называется выпуклой (вогнутой) в верх
(вниз) на интервале (a,b), если она выпукла в верх (вниз)
в каждой точке этого интервала.
Определение: (точки перегиба) Пусть функция f(x) диф-
ференцируема в О(х0) и непрерывна в О(х0). Точка х0 –
называется точкой перегиба графика f(x), если при пере-
ходе через точку меняется знак выпуклости.
Теорема: (о достаточном условии выпуклости функции).
Пусть функция f(x) дважды дифференцируема в точке х0 и f’’(x0)<0 (f’’(x0)>0), тогда f(x) – выпукла вверх (вниз) в тоске х0.
Доказательство: Напишем формулу Тейлора с остаточным членом в форме пеано:
Если х близко к х0, то знак квадрата скобки определяется знаком f(x0). Если f’’(x0)<0, то f(x)-yкас>0 в О(х0).
Если f’’(x0)>0, то f(x)-yкас>0 в О(х0)
Теорема: Путь функция f(x) непрерывна в О(х0) и дважды дифференцируема в О(х0), причём f’(x) меняет знак при переходе через точку х0, тогда точка х0 – точка перегиба.
Доказательство:
f’’(x) - +
( ) x
x0
f’’(x)<0 в O-(x0) f(x) – выпукла вверх в О-(х0)
f’’(x)>0 в O+(x0) f(x) – выпукла вниз в О+(х0)
Следствие: Если f(x) дважды дифференцируемы в точке х0. Если точке х0 точка перегиба, то f’’(x0)=0
Путь точка х0 точка перегиба и существует f’’(x0)>0, тогда
то есть при переходе через точку х0 левая часть равенства f(x)-yкас не меняет знак. Аналогично получаем для f(x)>0 f’’(x0)=0
Замечание: Условие равенства f’’(x0)=0 необходимо, но недостаточно.
Теорема: (о достаточном условие экстремума по второй производной)
Пусть функция f(x) дважды дифференцируема в точке х0, тогда точка х0 точка максимума если f’’<0, точка х0 точка минимума если f’’(x0)>0.
Доказательство:
При х достаточно большим и х0 знак в квадратных скобках совпадает со знаком f’’(x0) f(x)-f(x0)>0 в О(х0), если f’’(x0)>0 то есть f(x)>f(x0) в О(х0) х0 точка минимума, если f(x)-f(x0)<0 в О(х0), и если f’’(x0)<0 то есть f(x)
Замечание: Если f’(x0)=0 и f’’(x0)=0, то нужны дополнительные исследования.
Лекция №17
Ведущая: Голубева Зоя Николаевна
Дата: среда, 22 ноября 2000 г.
Тема: Асимптоты. Полное исследование функции.
Асимптоты.
-
Вертикальные
-
Наклонные асимптоты
2.1 Пусть функция f(x) определена в
, тогда прямая y=kx+b называется правой наклонной асимптотой для функции f(x). (Если k=0, то говорят, что y=b – горизонтальная асимптота).
2.2 Пусть функция f(x) определена в
, тогда прямая y=kx+b называется левой наклонной асимптотой для функции f(x).
Необходимые и достаточные условия существования наклонной асимптоты.
Пусть функция f(x) определена в О(+) и
тогда прямая y=kx+b правая наклонная асимптота
Замечание: если условие 1) не выполнено, то нужно посчитать предел lim(f(x)), чтобы выяснить поведение
х+
функции на бесконечности.
Полное исследование функции.
-
Область определения
-
Симметрия и периодичность
-
Вертикальные асимптоты
-
Наклонные асимптоты
-
Критические точки, если есть, то находим точки экстремума и промежутки возрастания и убывания функции f'(x)=0 или f’(x) не существует, а f(x) существует
-
Возможные точки перегиба f’’(x)=0, либо f’’(x) не существует, но f’(x) существует следовательно промежутки выпуклости и вогнутости
-
Точки пересечения с осями координат и промежутки знака постоянства (если можно)
Пример:
Þ х=3 правая и левая вертикальная асимптота
Þ y=0 правая и левая горизонтальная асимптота
5)
критическая точка х1=-3/2
f(-3/2)=4/243
критическая точка х2=-3
f(-3)=1/72
7)x=0 y=0
Приближенные методы решения уравнения f(x)=0
1) Метод хорд
а) f(x), f’(x), f’’(x) – непрерывны на отрезке [a,b]
б) f(a)f(b)<0
в) f’(x) и f’’(x) – сохраняют знаки на отрезке [a,b]
f()=0;A(a;(f(a)),B(b;f(b))
Лекция №18
Ведущая: Голубева Зоя Николаевна
Оценка скорости сходимости.
2) Метод касательных (метод Ньютона)
f(x)=0
1)f(x),f’(x),f’’(x)-непрерывна на [a,b]
2)f(a), f(b) <0
3)f’(x),f’’(x) – сохраняет знак на [a,b]
точка пересечения х1 – это точка пересечения касательной с осью Ох
Yкас=0, x=x1
0=f(b)+f’(b)(x1-b)
f’(b)b-f(b)=f’(b)x1
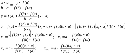
Формула Тейлора с остаточным членом в форме Лангранджа в точке xn
c – лежит между х и хn
Положим x=; f()=0
M>0:|f”(x)|M
x[a,b] m>0:|f’(x)|m;x[a,b]
Надо выбирать отрезок так b-a<1
|f”(x)|M
Вектор функция. Параметрическая производная.
По закону (1) ставиться в соответствие вектор r(t). (x(t),y(t) – заданные числовые функции
r(t) – вектор функция. Кривая описываемая концом вектора – называется годографом.
| t | 0 | 1 | -1 | 2 | 3 | ½ |
| x(t) | 0 | 1 | -1 | 2 | 3 | ½ |
| y(t) | 0 | 0 | -2 | -2 | -6 | 1/4 |
| r(t) | 0 | i | -i-2j | 2i-2j | 3j-6j | 1/2i+1/4j |
Видим, что кривые на плоскости можно задать в виде:
Называется параметрическое задание кривой, где t –параметр
x2+y2=r2
Остроида
x2/3+y2/3=a2/3
Циклоида
Лекция №19
Ведущая: Голубева Зоя Николаевна
Параметрическая производная.
* o’1 x2n+2=xx2n+1=o(x2n+1)
#
- остаточный член в форме Лангранджа
$ -Tn(x) – многочлен Тейлора
Rn(x)-остаточный член в форме Лангранджа
0>0>0>0>0>0>0>0>0>1>Характеристики
Тип файла документ
Документы такого типа открываются такими программами, как Microsoft Office Word на компьютерах Windows, Apple Pages на компьютерах Mac, Open Office - бесплатная альтернатива на различных платформах, в том числе Linux. Наиболее простым и современным решением будут Google документы, так как открываются онлайн без скачивания прямо в браузере на любой платформе. Существуют российские качественные аналоги, например от Яндекса.
Будьте внимательны на мобильных устройствах, так как там используются упрощённый функционал даже в официальном приложении от Microsoft, поэтому для просмотра скачивайте PDF-версию. А если нужно редактировать файл, то используйте оригинальный файл.
Файлы такого типа обычно разбиты на страницы, а текст может быть форматированным (жирный, курсив, выбор шрифта, таблицы и т.п.), а также в него можно добавлять изображения. Формат идеально подходит для рефератов, докладов и РПЗ курсовых проектов, которые необходимо распечатать. Кстати перед печатью также сохраняйте файл в PDF, так как принтер может начудить со шрифтами.















