LABOR2 (675710)
Текст из файла
2
Лабораторная работа № 2
Интерполирование и экстраполирование данных.
Интерполяционный многочлен Лагранжа.
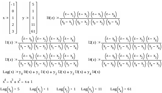
Многочлен Лагранжа, принимающий заданные значения в узловых точках имеет вид:
Задание . Восстановить многочлен Лагранжа, удовлетворяющий приведенным исходным данным.
П
ример:
Варианты:
| 0 | 1 | 2 | 5 | ||||||||
| 2 | 3 | 12 | 147 | ||||||||
| -2 | 1 | 2 | 4 | ||||||||
| 25 | -8 | -15 | -23 | ||||||||
| -2 | -1 | 0 | 1 | 2 | |||||||
| 6 | 0 | 2 | 0 | 6 | |||||||
| 0 | 1 | 2 | 5 | ||||||||
| 3 | 4 | 13 | 148 | ||||||||
| -2 | 1 | 2 | 4 | ||||||||
| 26 | -7 | -14 | -22 | ||||||||
| -2 | -1 | 0 | 1 | 2 | |||||||
| 5 | 0 | 1 | 0 | 5 | |||||||
| -1 | 0 | 1 | 4 | ||||||||
| 2 | 3 | 12 | 147 | ||||||||
| 1 | 2 | 3 | 6 | ||||||||
| 2 | 3 | 12 | 147 | ||||||||
| -3 | 0 | 1 | 3 | ||||||||
| 25 | -8 | -15 | -23 | ||||||||
| -1 | 2 | 3 | 5 | ||||||||
| 25 | -8 | -15 | -23 | ||||||||
| -3 | -2 | -1 | 0 | 4 | |||||||
| 6 | 0 | 2 | 0 | 6 | |||||||
| -1 | 0 | 1 | 2 | 3 | |||||||
| 6 | 0 | 2 | 0 | 6 | |||||||
| 2 | 3 | 4 | 7 | ||||||||
| 2 | 3 | 12 | 147 | ||||||||
| -2 | -1 | 0 | 3 | ||||||||
| 2 | 3 | 12 | 147 | ||||||||
| -4 | -1 | 0 | 2 | ||||||||
| 25 | -8 | -15 | -23 | ||||||||
| 0 | 3 | 4 | 6 | ||||||||
| 25 | -8 | -15 | -23 | ||||||||
| -1 | 0 | 1 | 4 | ||||||||
| 3 | 4 | 13 | 148 | ||||||||
| 1 | 2 | 4 | 6 | ||||||||
| 1 | 2 | 34 | 146 | ||||||||
| -3 | 0 | 1 | 3 | ||||||||
| 26 | -7 | -14 | -22 | ||||||||
| -1 | 2 | 3 | 5 | ||||||||
| 26 | -7 | -14 | -22 | ||||||||
| -3 | -2 | -1 | 0 | 1 | |||||||
| 7 | 1 | 3 | 1 | 7 | |||||||
| -1 | 0 | 1 | 2 | 3 | |||||||
| 5 | -1 | 1 | -1 | 5 | |||||||
| -1 | 0 | 1 | 2 | 3 | |||||||
| 2 | 1 | 0 | 1 | 10 | |||||||
| -2 | -1 | 0 | 1 | ||||||||
| 1 | 6 | 5 | 4 | ||||||||
| -3 | -2 | -1 | 0 | ||||||||
| 40 | 27 | 12 | 1 | ||||||||
| -2 | -1 | 0 | 1 | 2 | |||||||
| -27 | -4 | -1 | -6 | -7 | |||||||
| -1 | 0 | 1 | 2 | ||||||||
| -5 | -10 | -1 | 34 | ||||||||
| -2 | -1 | 0 | 1 | 2 | |||||||
| 16 | -1 | 0 | 1 | 8 | |||||||
| -2 | -1 | 0 | 1 | 2 | |||||||
| -23 | -6 | 1 | -2 | 9 | |||||||
| 1 | 2 | 3 | 4 | ||||||||
| 1 | 2 | 13 | 40 | ||||||||
Характеристики
Тип файла документ
Документы такого типа открываются такими программами, как Microsoft Office Word на компьютерах Windows, Apple Pages на компьютерах Mac, Open Office - бесплатная альтернатива на различных платформах, в том числе Linux. Наиболее простым и современным решением будут Google документы, так как открываются онлайн без скачивания прямо в браузере на любой платформе. Существуют российские качественные аналоги, например от Яндекса.
Будьте внимательны на мобильных устройствах, так как там используются упрощённый функционал даже в официальном приложении от Microsoft, поэтому для просмотра скачивайте PDF-версию. А если нужно редактировать файл, то используйте оригинальный файл.
Файлы такого типа обычно разбиты на страницы, а текст может быть форматированным (жирный, курсив, выбор шрифта, таблицы и т.п.), а также в него можно добавлять изображения. Формат идеально подходит для рефератов, докладов и РПЗ курсовых проектов, которые необходимо распечатать. Кстати перед печатью также сохраняйте файл в PDF, так как принтер может начудить со шрифтами.















