84046 (675516)
Текст из файла
Полуточка: модель скорости
Каратаев Евгений Анатольевич
Настоящая статья строит модель скорости в рамках модели полуточки и приводит две простых иллюстрации, демонстрирующие и иллюстрирующие модель скорости в общеизвестных случаях поступательной и вращательной скорости. В статье приводится в основном модель скорости, и разбор отдельных случаев скорости и её видов представляется либо темой отдельной статьи, либо большой работы о кинематике, выраженной на языке гиперкомплексных чисел.
Для понимания предлагаемой модели скорости частично повторим основные положения модели полуточки и модели миров.
Точка пространства испытывает изменение при переходе от одной системы отсчёта к другой:
| | (1) |
Считается, что точка
принадлежит миру с временем
:
| | (2) |
В этой статье понятия системы координат и системы отсчёта полагаются совпадающими. Полагается, что положение точки и её состояние измеряются в некоторой идеальной системе, выбираемой наблюдателем по его усмотрению.
Состояния точки в два различных момента времени могут быть определены относительно одной и той же системы координат. Будем полагать, что из первого состояния во второе можно попасть, совершив преобразование системы координат:
| | (3) |
Здесь величина
определяет преобразование, которое следует совершить для такого перехода. При этом
есть разность времён этих двух миров:
| | (4) |
Также будем полагать, что эти два состояния разделены друг от друга бесконечно малым расстоянием во времени:
| | (5) |
Под скоростью будем понимать величину, определенную классическим способом: Если величина
зависит от величины
, и с течением
величина
испытывает изменение, то скоростью называется предел отношения приращений величин
и
:
| | (6) |
Ещё одно небольшое отступление нужно сделать для описания и выбора точной модели преобразования Пуанкаре. Дело в том, что пока рассматриваются лишь пространственно-временные преобразования, им в действительности удовлетворяет два различных преобразования:
| | (7) |
и
| | (8) |
Здесь в первом случае используется скалярно-векторное сопряжение, во втором - скалярно-алгебраическое. Для того, чтобы выявить, в чем они различаются с точки зрения группы Пуанкаре, распишем их операторное представление:
| | (9) | |
| | (10) | |
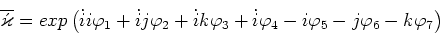
| | (11) | |
Видно, что эти два оператора отличаются псевдоскалярной частью параметра. В силу того, что её можно вынести из оператора преобразования, оба варианта могут быть представлены как:
| | (12) |
| | (13) |
где через
обозначен оператор
с вынесенной псевдоскалярной составляющей из его параметров:
| | (14) |
Таким образом, предстоит сделать выбор между двумя вариантами преобразований: 1) использовать скалярно-векторное сопряжение или 2) использовать скалярно-алгебраическое сопряжение. Выберем вариант 1 с отбрасыванием рассмотрения псевдоскалярной составляющей параметра преобразований в силу того, что пока в наши цели не входит рассмотрение псевдоскалярных преобразований и в силу того, что векторное сопряжение удобнее в силу его линейности.
А именно:
| | (15) |
| | (16) |
Поэтому мы можем выполнить дальнейший вывод более наглядно.
В силу того, что величина
и её приращение являются скалярами, имеем:
| | (17) |
И в случае когда
мало, имеем:
| | (18) |
| | (19) |
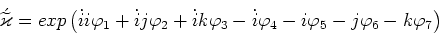
Используя это соотношение для преобразования полуточки, распишем выражение для преобразования точки:
| |
|
|
|
| |
|
| (20) |
Оставив члены первого порядка малости по
:
| | (21) |
Используя определение полуточки
получим:
| | (22) |
Положив точку функцией величины
и сравнив с разложением её в ряд Тейлора в окрестности
, получим:
| | (23) |
Это выражение и является определением скорости точки
, если она движется во времени
, испытывая в каждый его момент преобразование Пуанкаре:
| | (24) |
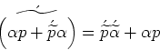
Выражение (23) является скалярно-векторно сопряжённым самому себе:
| | (25) |
То есть абсолютное приращение точки
выполняется несмотря на произвольность величины
так, что точка
остается сама себе скалярно-векторно сопряжённой.
Отметим также, что в силу свойства точки
верно равенство:
Далее...
Придерживаясь модели полной группы Пуанкере, мы должны считать величины
и
дуальными бикватернионами, имеющими 16 компонент. В силу требования скалярно-векторной сопряжённости самой себе точка часть компонентов имеет нулевыми.
Для понимания дальнейшего вывода представим величины
и
в виде, явно содержащем разделение на главную и дуальную части:
| |
|
|
|
| |
|
| (27) |
Здесь индексом
обозначены главные части, а индексом
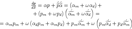
- дуальные. Пользуясь введенным обозначением, распишем выражение скорости:
| |
|
Сгруппировав главные и дуальные части, получим:
| | (28) |
Используя это разложение в главных и дуальных частях и задавая различные частные случаи величин
,
,
и
, оценим характер вклада в скорость точки
отдельных величин
и
. А также найдём их сопоставление отдельным общеизвестным скоростям.
Случай 1.
Зададим точку
как дуальный вектор с единичной главной частью:
| | (29) |
а величину
как дуальный вектор с нулевой главной частью:
| | (30) |
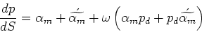
Тогда, используя разложение (29), найдем скорость точки при таком преобразовании:
| | (31) |
В силу того, что выбрано условие
, имеем:
| | (32) |
Таким образом, в приведённых выше условиях величина
является линейной скоростью приращения дуальной части
. В силу того, что в состав величины
входит как полярная, так и дуальная части, то есть:
| | (33) |
то в силу свойств функций
и
, определённых как
| | (34) |
| | (35) |
И имеющих свойства сопрягаться:
| | (36) |
| | (37) |
Имеем равенство для первого случая:
| | (38) |
Или: величина
является линейной скоростью изменения вектора
.
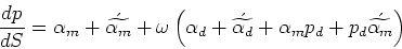
Случай 2. Выберем величины
и
такими, что выполняются следующие условия:
| | (39) |
Используя выражение (29) с этими условиями, получим:
| | (40) |
В силу выбора
и свойства (38) имеем:
| | (41) |
И, также в силу свойства (38), в выражении скорости остаются члены:
| | (42) |
Переведя величины
и
в векторную запись и раскрыв произведение по правилу произведения кватернионов, получим:
| | (43) |
где с помощью скобок [] обозначено традиционное векторное произведение 3-х мерных векторов
и
.
Или: величина
является угловой скоростью вращения вектора
.
Таким образом, величины
и
имеют всем хорошо известные механические кинематические интерпретации.
Характеристики
Тип файла документ
Документы такого типа открываются такими программами, как Microsoft Office Word на компьютерах Windows, Apple Pages на компьютерах Mac, Open Office - бесплатная альтернатива на различных платформах, в том числе Linux. Наиболее простым и современным решением будут Google документы, так как открываются онлайн без скачивания прямо в браузере на любой платформе. Существуют российские качественные аналоги, например от Яндекса.
Будьте внимательны на мобильных устройствах, так как там используются упрощённый функционал даже в официальном приложении от Microsoft, поэтому для просмотра скачивайте PDF-версию. А если нужно редактировать файл, то используйте оригинальный файл.
Файлы такого типа обычно разбиты на страницы, а текст может быть форматированным (жирный, курсив, выбор шрифта, таблицы и т.п.), а также в него можно добавлять изображения. Формат идеально подходит для рефератов, докладов и РПЗ курсовых проектов, которые необходимо распечатать. Кстати перед печатью также сохраняйте файл в PDF, так как принтер может начудить со шрифтами.
















