80241 (675081), страница 9
Текст из файла (страница 9)
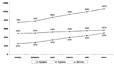
Объем продаж, тонн
| Продукция | январь | февраль | март | Итого 1 кв. | апрель | май | июнь | Итого 2 кв. | Итого 1 полугодие |
| Проволока ОН т/н без покрытия | 1192 | 1050 | 1100 | 3342 | 1200 | 1300 | 1400 | 3900 | 7242 |
| Проволока ОН т/о без покрытия | 330 | 200 | 250 | 780 | 250 | 250 | 250 | 750 | 1530 |
| Проволока ОН оцинкованная т/н | 231 | 180 | 200 | 611 | 200 | 200 | 200 | 600 | 1211 |
| Проволока ОН оцинкованная т/о | 1020 | 700 | 800 | 2520 | 900 | 1000 | 1100 | 3000 | 5520 |
| Проволока СВ08Г2С | 60 | 60 | 60 | 180 | 60 | 60 | 60 | 180 | 360 |
| Проволока колючая | 40 | 150 | 160 | 350 | 160 | 160 | 160 | 480 | 830 |
| Гвозди | 60 | 150 | 180 | 390 | 180 | 180 | 180 | 540 | 930 |
| Электроды | 0 | 0 | 0 | 0 | 0 | 0 | 0 | 0 | 0 |
| Болты | 0 | 15 | 15 | 30 | 15 | 15 | 15 | 45 | 75 |
| Гайки | 0 | 0 | 0 | 0 | 0 | 0 | 0 | 0 | 0 |
| Шплинты | 0 | 0 | 0 | 0 | 0 | 0 | 0 | 0 | 0 |
| Продажи на экспорт, тонн | 2933 | 2505 | 2765 | 8203 | 2965 | 3165 | 3365 | 9495 | 17698 |
| Давальческая схема | 2000 | 2500 | 2500 | 7000 | 2400 | 2400 | 2310 | 7110 | 14110 |
| Итого | 4933 | 5005 | 5265 | 15203 | 5365 | 5565 | 5675 | 16605 | 31808 |
Прогноз продаж на 1 полугодие 2002 года (тонн)
РАБОЧАЯ ПРОГРАММА
На основе стратегического плана поквартально формируется рабочая программа по следующей схеме:
- подробно плановый квартал;
-
тезисно по основным направлениям - квартал, следующий за плановым.
Эта схема наиболее действенна в условиях вхождения на рынок и позволяет очень гибко и оперативно реагировать на изменения рыночной среды.
В структуру рабочей программы входят мероприятия по реализации каждого из направлений маркетинговой стратегии предприятия и план мероприятий по исследованию рынка.
Разработка планов мероприятий по стратегическим направлениям развития поручается соответствующим подразделениям Холдинга.
По некоторым направлениям стратегического развития Холдинга работа будет осуществляться совместно с внешними консультантами (ARIA).
Таблица 4.
| Мероприятия | Отдел |
| Мероприятия по исследованию тынка | Отдел маркетинга Холдинга |
| Мероприятия по развитию продукта | Технические отделы заводов, технический консультант Холдинга, ARIA. |
| Мероприятия по ценовой политике | Планово-экономические отделы заводов, финансовый отдел Холдинга, отдел маркетинга Холдинга, ARIA. |
| Мероприятия по развитию системы товародвижения | Отдел внутренних и внешних продаж Торгового Дома, ARIA. |
| Мероприятия по продвижению | Отдел маркетинга Холдинга |
Расходы на маркетинговые мероприятия составят $47797, в том числе на рекламу -$32015, на развитие системы товародвижения - $12250, на мероприятия по ценообразованию — $944 и на маркетинговые исследования - $ 1888.
Мероприятия по исследованию рынка
Все описанные в маркетинговом плане предложения подлежат дополнительному маркетинговому и финансовому анализу, который планируемся осуществить согласно рабочего плана в 2002 году.
С целью получения надежной, достоверной и своевременной информации о рынке, структуре и динамике спроса, а также создания ассортимента, который наиболее полно удовлетворяет требования рынка, необходимо проведение маркетинговых исследований.
Регулярные исследования
1.Мониторинг продаж Торгового Дома «ТАС», ОАО «Днепрометиз» и ООО «ТЕКО» по каждому предприятию отдельно в денежном и натуральном выражении по группам продукции и по типоразмерам:
-
На внутреннем рынке (не включая отгрузки внутри холдинга)
-
На внешнем рынке
-
По давальческой схеме
-
Всего по данному предприятию
-
Всего по Холдингу
-
Отгрузки внутри холдинга с разбивкой по направлениям отгрузки.
2. Анализ продаж представительствами Торгового Дома «ТАС» в денежном и
натуральном выражении по группам продукции.
3. Анализ экспортных продаж Торгового Дома «ТАС» в денежном и натуральном выражении с разбивкой по странам и группам продукции.
4. Анализ рыночных тенденций - Украина, СНГ, Европа, Азия, Америка, Африка, мировые тенденции.
5. Мониторинг деятельности конкурентов по Украине, регионам Украины и за рубежом: крупные производители, мелкие производители, трейдеры (цены, товарная политика, рекламная активность).
6. Анализ спроса на продукцию предприятия (внутренний/внешний рынок), в том числе анализ неудовлетворенного спроса.
7. Оценка эффективности использования рекламных средств предприятия и оперативная корректировка медиаплана.
-
Клиппинг
Источники информации - Государственный комитет статистики, Госвнешинформ, Таможенная служба Украины, внутренняя отчетность предприятия, периодические издания.
Специальные исследования
-
Оценка потенциальной и реальной емкости рынка.
-
Обзор рынка сырья
-
Анализ вариантов упаковки и расфасовки.
-
Исследование зарубежных и украинских производителей для возможного заключения дилерских договоров (крепеж, электроды, сетка).
-
Анализ спроса на новые виды продукции - электроды других марок (УОНИ, ДСК), арматурная проволока ВР-2, порошковая проволока, металлокорд, крепеж повышенного класса прочности, омедненная сварочная проволока
Источники информации - собственные исследования рынка, опросы клиентов предприятия, периодические издания, Интернет.
Мероприятия по исследованию рынка
| # Milestones Start Date End Date Department Notes | |||||
| Регулярные исследования | |||||
| 1 | Мониторинг продаж предприятия | 01 01.02 | 31.12.02 | Отдел маркетинга | раз е месяц |
| 2 | Анализ продаж региональными представительствами | 01.01.02 | 31.1202 | Отдел маркетинга | раз в месяц |
| 3 | Анализ экспортных продаж | 01.01.02 | 31.12.02 | Отдел маркетинга | раз в месяц |
| 4 | Мониторинг рыночных тенденций | 01.01.02 | 31.12.02 | Отдел маркетинга | раз в квартал |
| 6 | Анализ спроса на продукцию предприятия | 01.01 02 | 31.12.02 | Отдел маркетинга | раз в месяц |
| 7 | Оценка эфективности рекламы | 01.01.02 | 31.12.02 | Отдел маркетинга | раз в месяц |
| Специальные исследования | |||||
| 1 | Оценка потенциальной и реальной емкости рынка | 01.01.02 | 01 03.02 | Отдел маркетинга | |
| 2 | Исследование рынка сырья | 01.01.02 | 01.02.02 | Отдел маркетинга | |
| 3 | Анализ вариантов упаковки и расфасовки | 01.03.02 | 01.04.02 | Отдел маркетинга | |
| 4 | Поиск возможных поставщиков продукции | 01.01.02 | 01.02.02 | Отдел маркетинга | |
| 5 | Анализ спроса на новые виды продукции | 01 07.02 | 01 10.02 | Отдел маркетинга | |
| 6 | Установление порядка обмена маркетинговой информации внутри предприятия | 01 01.02 | 01.0302 | Отдел маркетинга | |
Итого,10000грн.
Итого, $ $1 888
Мероприятия по равинтию продукта
| # Milestones Start Date End Date Manager Department Notes | ||||||
| 1 | Переход на давальческую схему работы с заводами | 01.01.02 | 01.04.02 | Смирнов Е.В. | Торговый Дом ТАС | |
| 2 | Создание коммерческой службы в структуре Торгового Дома | 01.01.02 | 01.04.02 | Смирнов Е.В. | Торговый Дом ТАС | |
| 3 | Изменение упаковки и расфасовки - болты, гайки, гвозди, шурупы, винты | 01 02.02 | 01.04.02 | Натахин А.Л., Полешко Ю.П., Ушанов А.Г. | Отдел маркетинга, технические отделы заводов | Бюджет в процессе формирования |
| 4 | Внедрение системы маркировки продукции бирками со штрих-кодами | 01.02.02 | 01.04.02 | Натахин А. Л., Полешко Ю.П., Ушанов А.Г. | Отдел маркетинга, технические отделы заводов | Бюджет в процессе формирования |
| 5 | Проволока для экспортных поставок -изменение расфасовки | 01.03.02 | 01.0402 | Натахин А.Л., Полешко Ю.П., Ушанов А.Г. | Отдел маркетинга, технические отделы заводов | Бюджет в процессе формирования |
| 6 | Внедрение в производство крепежных изделий с дополнительным покрытием | 01.10.02 | 01.0503 | Натахин А.Л., Полешко Ю.П., Ушанов А.Г. | Отдел маркетинга, технические отделы заводов | Бюджет в процессе формирования |
| 7 | Установка печей для термообработки крепежа | 01 09.02 | 01 09.03 | Натахин А.Л., Полешко Ю.П., Ушанов А.Г. | Отдел маркетинга, технические отделы заводов | Бюджет в процессе формирования |
| 8 | Внедрение в производство больших размеров крепежных изделий | 01.08.02 | 31.12.02 | Натахин А.Л., Полешко Ю.П., Ушанов А.Г. | Отдел маркетинга, технические отделы заводов | Бюджет в процессе формирования |
| 9 | Установка печи для глубокого цинкования проволоки | 01.09.02 | 01.09.03 | Натахин А.Л., Полешко Ю.П., Ушанов А.Г. | Отдел маркетинга, технические отделы заводов | Бюджет в процессе формирования |
Мероприятия по ценовой политике
| # Milestones Start Date End Date Manager Department Notes | ||||||
| 1 | Повышение цен на продукция предприятия на 5-10% | 01 01 01 | 01 02 02 | Смирнов Е В , Натахин А Л | Торговый Дом ТАС, Отдел маркетинга | |
| 2 | Разработка системы скидок | 01 02 02 | 01 04 02 | Смирнов Е В , Натахин А Л | Торговый Дом ТАС, Отдел маркетинга | |
| 3 | Приведение цен предприятия в соответствии с требованиями рынка | 01 01 02 | 31 1202 | Смирнов Е В , Натахин А Л | Торговый Дом ТАС, Отдел маркетинга | |
| 4 | Изучение цен конкурентов на региональных рынках Украины | 01 01 02 | 31 1202 | Натахин А Л | Отдел маркетинга | |
| 5 | Формирование цен на гвозди, винты, шурупы в зависимости от вариантов расфасовки, обработки и упаковки | 01 02 02 | 01 04 02 | Смирнов Е В , Натахин А Л | Торговый Дом ТАС, Отдел маркетинга | |
Итого,грн.5000грн.
Итого, $ $944
















