bakalavr (664628), страница 2
Текст из файла (страница 2)
Для решения задач важно соотнести свойство коммутационного аппарата, в которое переводит его пользователь и состояние предписываемое инструкцией. На основании сравнения этих значений можно построить диалог, направляющий действия пользователя.
2.1. Разработка структурной схемы
Рис. 2.1. Структурная схема программы-тренажера
Для описания структуры разрабатываемого программного комплекса его можно разделить на два основных блока:
Блок, обеспечивающий работу пользователя со схемой;
Блок работы с файлами сценариев.
Первый блок, с учетом поставленных требований перед программным комплексом, производит регистрацию пользователя, содержит систему для проведения тренировок и экзамена, систему помощи, систему формирования отчетов по проделанной пользователем работе.
Второй блок программного комплекса является средством инструктора и служит для создания и редактирования файлов сценариев.
“Настройки” - блок, предназначенный для указания начального и конечного состояния коммутационных аппаратов электроустановки
“Сценарий” – блок, предназначенный для формирования задач инструктором эталонной последовательности оперативных переключений инструктором.
2.2. Разработка функциональной схемы
Исходной информацией для разработки является однолинейная схема электроснабжения подстанции и инструкции по оперативным переключениям.
Перед разрабатываемой программой поставлен ряд требований, на основании которых можно сделать вывод о том, что проектируемая система должна реализовать следующие функции:
-
отображение функциональной схемы подстанции с использованием средств отображения информации;
-
обеспечение переключения коммутационных аппаратов представленных на однолинейной схеме;
-
организация взаимодействия производимых переключений и предписаний инструкции.
Так как инструкции по производству переключений представляют собой последовательность операций, целесообразно использовать файлы для их хранения, это обеспечит упрощенный доступ к их содержимому, возможность создания новых сценариев и редактирование, в случае обнаружения ошибки, уже имеющихся.
Для организации диалога при решении определенной задачи по производству переключений необходимо, опираясь на предписание инструкции, направлять действия производимые оператором на схеме. При ошибочных действиях необходимо информировать пользователя об этом и давать рекомендации для правильного решения поставленной задачи. Опираясь на вышесказанное, разрабатываемый программный комплекс может быть представлен совокупностью следующих блоков:
Блок управления схемой;
Блок анализа текущих переключений;
Блок результатов;
Интерпретатор сценариев;
-
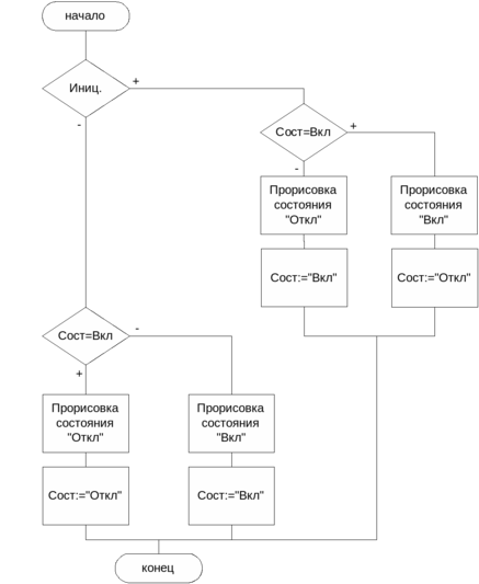
Блок управления схемой служит для установки положения коммутационных аппаратов при инициализации определенного режима и обеспечивает их визуальное изменение при производстве переключений.
-
Блок анализа текущих переключений предназначен для определения правильности производства текущих переключений и формирования протокола переключений.
-
Блок результатов, основываясь на информации поступающей от интерпретатора сценариев и блока анализа текущих переключений, организует диалог, направляющий действия оператора по производству переключений и предназначен для оценки проведенных операций по оперативным переключениям.
-
Интерпретатор сценариев, основной задачей которого является работа с файлами сценариев, формирует последовательности операций для производства переключений, снабжает информацией блок управления схемой о начальном состоянии коммутационных аппаратов.
2. 2. 1. Блок управления схемой
Для реализации функций блока управления схемой необходимо:
-
установить коммутационные аппараты в положение соответствующее выбранному режиму;
-
при выборе пользователем коммутационного аппарата на схеме обеспечить его переключение в противоположное состояние.
Алгоритм, реализующий функции блока управления схемой, представлен на рис. 3.3.1.
Рис. 3.3.1. Алгоритм обработки оперативных переключений
2. 2. 2. Блок анализа текущих переключений
Для определения правильности произведенного переключения необходимо сопоставить выбранный пользователем объект, подлежащий переключению с объектом предписанным инструкцией, в случае совпадения перевести объект в нужное состояние. При этом используется алгоритм, приведенный на рис. 3.3.2
Рис 2.2.2 Алгоритм анализа текущих переключений
2. 2. 3. Интерпретатор сценариев
Основное предназначение – формирование последовательности переключений для выбранной задачи и передача информации о начальном положении коммутационных аппаратов. Эти сведения находятся в файле сценария решения поставленной задачи, который и подвергается обработке. Для этого используется алгоритм загрузки, приведенный на рис. 3.3.3.
Рис. 2.2.3. Алгоритм загрузки сценариев.
2. 2. 4. Блок результатов
При организации диалога между системой и пользователем важно учитывать исходные последовательности производства переключений, сформированные интерпретатором сценариев и информацию о текущих переключениях, производимых пользователем. За каждое действие выходящее за рамки сценария решения задачи тренируемый получает штрафной балл. В режиме тренировки предусматривается возможность направлять действия обучаемого, за счет использования помощи. При завершении выполнения задачи пользователю сообщается о количестве набранных штрафных баллов и количестве обращений к подсказке. Алгоритм подсчета ошибочных действий со стороны пользователя приведен на рис 3.3.4.
Рис 2.2.4. Алгоритм определения оценки
В режиме проведения экзамена пользователю закрывается доступ к подсказке, а оценка формируется путем сравнения начального и конечного состояния коммутационных аппаратов.
Глава 3. Программная реализация проекта
3. 1. Операционная система
Программа разрабатывалась под управлением операционной системы Windows 95. Операционная система (ОС) является неотъемлемой частью ПЭВМ. ОС обеспечивает управление всеми аппаратными компонентами и поддержку работы программ пользователя, предоставляя ему возможность общего управления машиной. Можно выделить ряд преимуществ для разработки программного обеспечения под управлением ОС Windows 95:
-
Графический пользовательский интерфейс;
-
Независимость от внешних устройств;
-
Доступность всего объема оперативной памяти;
-
Поддержка масштабируемых шрифтов.
Среди недостатков можно отметить:
-
Высокие требования к аппаратному обеспечению;
-
Менее эффективная работа в приложениях, где критический параметр – время по сравнению с ОС MS-DOS.
Так как разрабатываемая программа не имеет жестких требований к быстродействию аппаратного комплекса, то указанные недостатки не окажут влияния на ее функционирование. Основное преимущество для создания программы – тренажера на базе ОС Windows 95 – графический пользовательский интерфейс.
3. 2. Выбор среды программирования
Последним достижением в технике создания программ стали появившиеся относительно недавно визуальные средства программирования и системы быстрой разработки (Rapid Application Development, RAD).
Быстрая разработка приложений (RAD - Rapid Application Development) характерна для нового поколения систем программирования. Первым языком в мире более простого и наглядного интерфейса была среда Visual Basic (VB). Новый стиль взаимодействия с компьютером позволяет разработчику программы наглядно конструировать пользовательский интерфейс с помощью мыши. Но VB сам по себе не способствует хорошему проектированию. Этот язык испытывает недостаток в механизмах, обеспечивающих хорошее структурирование, компактность и прозрачность программ. В нем отсутствует строгость объектно ориентированного языка. Delphi - это следующий шаг в развитии среды RAD, это мощное и удобное средство создания 32-битных приложений для Windows 95 и Windows NT.
Концепция Delphi была реализована в конце 1994 года, когда вышла первая версия среды разработки. В основу этого программного продукта легли концепции объектно-ориентированного программирования на базе языка Object Pascal и визуального подхода к построению приложений.
Delphi объединил несколько важнейших технологий:
1. Высокопроизводительный компилятор в машинный код.
Компилятор, встроенный в Delphi, обеспечивает высокую производительность, необходимую для построения приложений в архитектуре “клиент-сервер”. Этот компилятор в настоящее время является самым быстрым в мире, его скорость компиляции составляет свыше 120 тысяч строк в минуту на компьютере 486DX33. Он предлагает легкость разработки и быстрое время проверки готового программного блока. Кроме того, Delphi обеспечивает быструю разработку, без необходимости писать вставки на Си или ручного написания кода (хотя это возможно).
2. Объектно-ориентированная модель компонент.
Основной упор этой модели в Delphi делается на максимальном ре-использовании кода. Это позволяет разработчикам строить приложения весьма быстро из заранее подготовленных объектов, а также дает им возможность создавать свои собственные объекты для среды Delphi. В стандартную поставку Delphi входят основные объекты, которые образуют удачно подобранную иерархию из более чем 270 базовых классов. Но если возникнет необходимость в решении какой-то специфической проблемы на Delphi, то следует просмотреть список свободно распространяемых или коммерческих компонент, разработанных третьими фирмами. На Delphi можно одинаково хорошо писать как приложения к корпоративным базам данных, так и, к примеру, игровые программы. Во многом это объясняется тем, что традиционно в среде Windows было достаточно сложно реализовывать пользовательский интерфейс. Событийная модель в Windows всегда была сложна для понимания и отладки. Но именно разработка интерфейса в Delphi является самой простой задачей для программиста.
3. Визуальное (а, следовательно, и скоростное) построение приложений из программных прототипов.
Среда Delphi включает в себя полный набор визуальных инструментов для скоростной разработки приложений (RAD - rapid application development), поддерживающей разработку пользовательского интерфейса и подключение к корпоративным базам данных. VCL - библиотека визуальных компонент, включает в себя стандартные объекты построения пользовательского интерфейса, объекты управления данными, графические объекты, объекты мультимедиа, диалоги и объекты управления файлами. Delphi 5, в отличие от предыдущих версий, позволяет создавать динамические массивы, длина которых определяется во время выполнения программы.
Но это не значит, что в Delphi могут работать только профессионалы. Среда разработки сохранила простоту и наглядность процесса создания приложений, основанного на использовании технологий визуального программирования. Компонентный подход позволяет легко и быстро создавать не только интерфейс программ, но и достаточно сложные механизмы доступа к данным, а также повторять и тиражировать удачные программные решения.
3. 3. Функционирование программы
1. Программа switchman.exe:
Объем, занимаемый на жестком диске 874 кб














