23403 (653522)
Текст из файла
Реферат на тему:
«ФОРМА И ДВИЖЕНИЕ ЗЕМЛИ. ПЛАН И КАРТА»
Содержание
1. Шарообразность и вращение Земли
2. Измерение времени
3. Ориентирование и измерение расстояний на местности
4. Глобус и градусная сеть
5. Географические карты
Список использованной литературы
1. Шарообразность и вращение Земли
Основоположником учения о том, что Земля – это шар, который свободно, без всякой опоры располагается в космическом пространстве, принято считать выдающегося математика и философа Пифагора, жившего в VI в. до н. э.
Греческие мореплаватели заметили, что те звезды, которые видны в южной части горизонта у берегов Африки, не видны у берегов Черного моря. Следовательно, Земля имеет изогнутую поверхность, и положение горизонта в разных ее местах различно. К тому же было замечено, что при приближении к берегу из-за горизонта сначала появляются верхушки высоких предметов (гор, мачт кораблей и т. п.), затем их средние части, и наконец они становятся видны целиком. Другой выдающийся мыслитель – Аристотель (III в. до н. э.) – сформулировал еще одно доказательство: «Так как лунное затмение происходит от земной тени, то и Земля должна иметь вид шара». Он же предположил, что «объем Земли незначителен в сравнении с небом».
Впервые достаточно точно определил размеры Земли греческий ученый Эратосфен (276–194 до н. э.), живший в Египте. Его идея была довольно проста: измерить длину дуги земного меридиана в линейных единицах и определить, какую часть полной окружности эта дуга составляет. Получив эти данные, можно вычислить длину дуги в 1°, а затем длину окружности и величину ее радиуса, т. е. радиуса земного шара (рис. 1).
Рис. 1. Определение радиуса Земли по методу Эратосфена
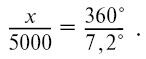
Для этого Эратосфену нужно было знать полуденную высоту Солнца в один и тот же день в двух пунктах. Измерив высоту Солнца в полдень 22 июня в г. Александрии, где он жил, Эратосфен установил, что Солнце отстоит от зенита примерно на 7° (z). От купцов и погонщиков верблюдов, которые водили караваны вдоль Нила, ему было известно, что в этот день в полдень в г. Сиена (ныне Асуан) Солнце освещает дно самых глубоких колодцев, т. е. находится в зените. Следовательно, длина дуги составляет 7,2°, а расстояние между Сиеной и Александрией – около 5000 греческих стадий (800 км).
Обозначив длину окружности земного шара через х, мы получаем выражение:
Откуда следует, что длина окружности земного шара равняется 250 000 стадий (ок. 50 000 км). Если считать 1 стадий равным 160 м, то результат Эратосфена практически не отличается от современных данных, согласно которым длина окружности Земли составляет 40 000 км.
Для измерения длины 1° дуги меридиана и уточнения формы Земли в конце XVIII в. Французская академия наук снарядила сразу две экспедиции. Одна из них работала в Перу, в экваториальных широтах Южной Америки, а другая – вблизи Северного полярного круга на территории Финляндии и Швеции. Оказалось, что длина 1° дуги меридиана на севере больше, чем вблизи экватора. Последующие измерения, проведенные в различных пунктах земного шара, подтвердили, что длина 1° дуги меридиана увеличивается с возрастанием географической широты, т. е. Земля сплюснута у полюсов. Ее экваториальный радиус составляет 6378 км, а полярный на 21 км короче. На школьном глобусе масштаба 1: 50 000 000 эти радиусы отличаются всего на 0,4 мм.
Наиболее точно форму нашей планеты передает фигура, называемая эллипсоидом, у которого любое сечение плоскостью, проходящей через центр Земли, является не окружностью, а эллипсом.
В настоящее время форму Земли принято характеризовать следующими величинами:
Эратосфен не только определил размеры Земли, но и ввел в практику использование терминов «широта» и «долгота».
Сетку параллелей и меридианов, по которой отсчитывают широту и долготу, предложил наносить на рисунках, изображающих Землю, римский географ Марин Тирский в конце I – начале II в. н. э.
Доказательства вращения Земли. Польский астроном Коперник привел ряд убедительных доводов в пользу предположения, что Земля вращается вокруг своей оси и вокруг Солнца, но не смог этого доказать. Доказать вращение Земли оказалось весьма непросто. На основе опыта с маятником это было сделано лишь в 1851 г. Французский физик Леон Фуко использовал свойство маятника сохранять неизменным направление качания независимо от вращения того основания, на котором он находится. Маятник длиной 67 м, подвешенный под куполом парижского Пантеона, имел период колебания 16 с, а масса груза составляла 22 кг. При каждом новом качании маятника его острие прочерчивало на песке, слоем которого был специально для этого опыта покрыт пол здания, новый след. Происходило это потому, что даже за несколько секунд Земля успевала повернуться на небольшой угол, а плоскость качания маятника оставалась неизменной.
Это явление можно смоделировать в лабораторных условиях, если небольшой маятник установить на подставке, которую можно плавно поворачивать.
2. Измерение времени
Все науки, в том числе и астрономия, возникли для удовлетворения тех или иных потребностей человечества. Наблюдая за расположением и движением небесных светил, люди научились определять свое местоположение на Земле, вести счет больших и малых промежутков времени. Не случайно все единицы времени – сутки, месяц, год и даже неделя – связаны с астрономическими явлениями.
Именно потому, что многие из наблюдаемых на небе явлений отличались строгой периодичностью, они и были выбраны в качестве единиц для измерения времени. Причем эти единицы стали использовать еще тогда, когда считалось, что небесная сфера со всеми расположенными на ней «неподвижными» звездами совершает за сутки один оборот вокруг Земли, а Солнце, перемещаясь на фоне звезд, за год один раз обходит вокруг нее. Луна же движется вокруг Земли с периодом обращения один месяц.
В XVII в. Николай Коперник предложил гелиоцентрическую систему мира, согласно которой суточное движение светил вызвано вращением Земли вокруг оси, а те изменения, которые происходят на небе в течение года, связаны с обращением нашей планеты вокруг Солнца.
Местное время. Вращаясь вокруг своей оси, Земля поворачивается за 1 ч на 15°. Местное время зависит от географической долготы. Например, в тот момент, когда в Москве полдень, в пунктах, лежащих на 15° к востоку от нее, уже 13 ч, а в тех, которые на те же 15° западнее, еще только 11 ч. В Санкт-Петербурге, который расположен на 8°45 западнее Москвы, полдень наступает на 35 мин позже.
Всемирным временем (UT0) называют местное время начального (нулевого) меридиана, проходящего через Гринвичскую обсерваторию, которая расположена недалеко от Лондона.
Для того чтобы узнать местное время в данном пункте (Тм), достаточно знать всемирное время и долготу этого пункта (λ) относительно начального меридиана:
Тм = UT0 + λ.
Местное время любого пункта равно всемирному времени в этот момент плюс долгота данного пункта от начального меридиана, выраженная в часовой мере.
Из того что Земля за 1 ч поворачивается на 15°, следует: 1° соответствует 4 мин, а 1 (угловая минута) – 4 с.
Если бы мы пользовались местным временем, то по мере передвижения на запад или восток приходилось бы непрерывно передвигать стрелки часов. Возникающие при этом неудобства столь очевидны, что в настоящее время практически все население земного шара пользуется поясным временем.
Поясная система счета времени была предложена в 1884 г. Согласно этой системе, весь земной шар был разделен по долготе на 24 часовых пояса (по числу часов в сутках), каждый из которых занимает примерно 15°. По сути, счет времени по этой системе ведется только на 24 основных меридианах, отстоящих друг от друга на 15° по долготе. Время на этих меридианах, которые расположены примерно посередине каждого часового пояса, отличается ровно на 1 ч.
Границы часовых поясов не всегда идут строго по меридианам, а проведены так, как это удобно людям. Москва, например, находится на границе третьего часового пояса. Если бы формально следовали принятому правилу деления на часовые пояса, то граница пояса разделила бы город на две неравные части. Поэтому нередко границы часовых поясов проводят по административным границам областей или других регионов так, чтобы на всей их территории действовало одно и то же время.
В нашей стране поясное время было введено с 1 июля 1919 г. В связи с изменениями, происходящими в социально-экономической жизни, границы часовых поясов неоднократно пересматривались и изменялись (рис. 2).
Рис. 2. Часовые пояса
Местное время основного меридиана данного пояса называется поясным временем. Поясное время, которое принято в конкретном пункте, отличается от всемирного на число часов, равных номеру его часового пояса:
Т = UT0 + n,
где UT0 – всемирное время, а n – номер часового пояса.
В целях более рационального распределения электроэнергии, идущей на освещение предприятий и жилых помещений, а также наиболее полного использования дневного света в летние месяцы года во многих странах (в том числе и в России) в конце марта стрелки часов переводят на 1 ч вперед. Это время называют летним. Осенью, в конце сентября, стрелки возвращают на 1 ч назад. Дни, когда эти операции осуществляются, ежегодно устанавливаются по распоряжению правительства.
Линия изменения даты. При переезде из одного часового пояса в соседний стрелки часов нужно передвинуть на 1 ч вперед, если мы движемся на восток, или назад, если – на запад. Среди границ часовых поясов выделена линия изменения даты (линия перемены дат), при пересечении которой, наряду с изменением времени на 1 ч, производится и изменение даты. Она в основном проходит по 180-му меридиану, расположенному между Азией и Америкой.
На корабле, пересекающем линию изменения даты с запада на восток, на следующий день повторяется то же число, а при пересечении этой линии в противоположном направлении 1 сут из счета выбрасываются, т. е. после 3 апреля наступит 5-е.
Календарь. Календарь, которым мы пользуемся в настоящее время, создан в результате длительных поисков, на протяжении истории человечества их существовало более 200.
Уже на первом этапе развития цивилизации некоторые народы стали пользоваться лунными календарями. В этих календарях чередовались месяцы продолжительностью 29 и 30 сут. Началом месяца всегда считалось новолуние. Но от одного новолуния до следующего проходит примерно 29 1/2 сут – такова периодичность смены фаз Луны, связанная с ее обращением вокруг Земли. При таком календаре продолжительность года из 12 «лунных» месяцев составляет всего 354 дня.
В солнечном календаре за основу берется продолжительность тропического года, т. е. промежуток времени между двумя последовательными прохождениями центра Солнца через точку весеннего равноденствия. Тропический год составляет 365 сут 5 ч 48 мин 46,1 с. Поскольку число суток в году не может быть дробным, во всех календарях условно приняли, что год содержит 365 сут, а каждый четвертый (високосный) год – на 1 сут больше (5 ч 48 мин 46,1 с х 4 г ~ 24 ч).
В Древнем Египте в V тыс. до н. э. был введен календарь, который был согласован со сменой времен года и состоял из 12 месяцев по 30 дней в каждом и дополнительных 5 дней в конце года. Такой календарь давал ежегодно отставание в 1/4 сут, или 1 год за 1460 лет.
Непосредственный предшественник современного календаря был разработан в Древнем Риме по приказу императора Юлия Цезаря и потому получил название юлианского календаря. Год, согласно этому календарю, состоял из 12 месяцев, содержащих 365 или 366 сут. Лишние сутки добавлялись каждые четыре года, такие года получили название високосных.
С учетом високосных лет продолжительность года по юлианскому календарю отличалась от продолжительности тропического года всего на 11 мин 14 с, что давало ошибку в 1 сут за 128 лет или 3 сут примерно за 400 лет. Юлианский календарь был принят в качестве христианского в 325 г. н. э., и ко второй половине XVI в. расхождение достигло уже 10 сут.
Для того чтобы исправить положение дел, папа римский Григорий XIII в 1582 г. ввел так называемый новый стиль – григорианский календарь.
Характеристики
Тип файла документ
Документы такого типа открываются такими программами, как Microsoft Office Word на компьютерах Windows, Apple Pages на компьютерах Mac, Open Office - бесплатная альтернатива на различных платформах, в том числе Linux. Наиболее простым и современным решением будут Google документы, так как открываются онлайн без скачивания прямо в браузере на любой платформе. Существуют российские качественные аналоги, например от Яндекса.
Будьте внимательны на мобильных устройствах, так как там используются упрощённый функционал даже в официальном приложении от Microsoft, поэтому для просмотра скачивайте PDF-версию. А если нужно редактировать файл, то используйте оригинальный файл.
Файлы такого типа обычно разбиты на страницы, а текст может быть форматированным (жирный, курсив, выбор шрифта, таблицы и т.п.), а также в него можно добавлять изображения. Формат идеально подходит для рефератов, докладов и РПЗ курсовых проектов, которые необходимо распечатать. Кстати перед печатью также сохраняйте файл в PDF, так как принтер может начудить со шрифтами.















