23180 (653404)
Текст из файла
Исследование горных пород
В настоящее время при инженерных изысканиях широкое применение получили методы статического и динамического зондирования. Это очень простые методы исследований преимущественно песчаных и глинистых пород, дающие широкую информацию об их плотности, прочности, деформационных свойствах и однородности. Кроме того, с помощью этих методов можно устанавливать изменение геологического разреза по глубине, выявлять глубину залегания и мощность слабых слоев и зон плотных, прочных и коренных пород, а также изменение степени уплотнения, и упрочнения искусственно отсыпанных или намытых пород во времени. Методы зондирования позволяют получать необходимые данные для проектирования и оценки условий строительства свайных фундаментов, шпунтовых ограждений и других видов строительных работ.
Опыты состоят в задавливании или забивании в горные породы зонда с коническим наконечником (редко грунтоноса-пробоотборника). При статическом зондировании зонд задавливается в породы, при динамическом — забивается. По тем сопротивлениям, которые оказывают горные породы проникновению в них зонда, судят об их плотности, прочности и других свойствах. Естественно, что такие исследования горных пород не являются достаточно точными, они дают предварительные, главным образом приближенные представления об их свойствах. При сочетании методов зондирования с другими видами геологических работ, результативность их, т.е. точность и достоверность, значительно повышаются.
Статическое и динамическое зондирование — это полевые экспресс - методы, для интерпретации результатов которых на предварительных стадиях изысканий их надо обязательно сочетать с разведочными работами — геофизическими и горно-буровыми, а на детальных — использовать в качестве дополнительных с целью повышения детальности изысканий в целом и решения специальных вопросов (например, при проектировании свайных фундаментов и др.).
ГОСТ 20069—74 и 19912—74 и «Указания по зондированию горных пород для строительства» (СН 448-72) рекомендуют при инженерных изысканиях для конкретных зданий и сооружений зондирование производить в пределах их контуров или не более чем в 5 м от них. Для получения сопоставимых данных часть точек зондирования рекомендуется располагать на расстояниях не более 5 м от разведочных выработок, из которых производят отбор монолитов горных пород для лабораторных исследований и выполняют другие полевые исследования. Практика показывает, что данные зондирования необходимо рассматривать совместно с данными, получаемыми при бурении скважин и проходке горных выработок. Этого требуют ГОСТ 20069—74 и 19912—74. Глубину зондирования определяют исходя из необходимости исследования определенной толщи горных пород как оснований зданий и сооружений. Предельная глубина зондирования не должна превышать 20-и. Область применения статического и динамического зондирования в зависимости от вида и физического состояния горных пород регламентируется данными, приведенными в табл.1.
Таблица 1.
Область применения статического и динамического зондирования по СН 448-72
| Вид и физическое состояние горных пород | Способ зондирования | |
| статический | динамический | |
| Песчаные: крупно-, средне-, мелко- и тонкозернистые влажные и и маловлажные; крупно-, средне-, мелкозернистые водоносные; | Допускаются | |
| тонкозернистые пылеватые водоносные | Допускается | Не допускается* |
| Глинистые (супеси, суглинки и глины): твердой, полутвердой и тугопластичной консистенции; | Допускаются | |
| мягкопластичной, текучепластичной и текучей консистенции | Допускается | Не допускается* |
| Песчаные и глинистые с содержанием крупнообломочного материала | Не допускаются | |
| при более 25% | при более 40% | |
| Песчаные водоносные | При определении динамической устойчивости | |
| Не допускается* | Допускается | |
| Все виды горных пород в мерзлом состоянии | Не допускаются | |
| Скальные и полускальные | ||
| Крупнообломочные | ||
Допускается по специально разработанной методике при проведении экспериментальных работ.
При статическом зондировании основными показателями свойств горных пород являются:
а) общее сопротивление зондированию Rобщ, кгс;
б) сопротивление погружению конуса Rкон кгс/см2;
в) удельное сопротивление погружению конуса Rуд. кон, кгс/см2;
г) сопротивление трению по боковой поверхности зонда Rтр, кгс/см2.
Общее сопротивление горных пород — это то сопротивление, которое они оказывают проникновению зонда. Оно равно тому усилию (кгс), которое передается зонду гидравлическим домкратом или весом груза.
При использовании современных гидравлических установок оно равно
Rобщ = pFц,
где p — показание манометра, отражающее давление в цилиндре гидравлического домкрата, кгс/см2; Fц — площадь поршня гидравлического домкрата, см2.Часть усилий, расходуемых на вдавливание зонда, расходуется на преодоление сил трения между зондом и породой. Если исключить эти сопротивления, получим сопротивление горных пород, оказываемое непосредственно проникновению конуса, т. е. сопротивление погружению конуса Rкон.
Rкон = Rобщ – Rтр.
Современные установки для статического зондирования позволяют производить измерение общего сопротивления зондированию по показаниям манометра, а сопротивления проникновению конуса — по показаниям динамометра и индикаторов часового типа.
Удельное сопротивление статическому зондированию конусом равно
Rуд = Rкон / Fк ,
где Fк - площадь поперечного сечения конуса, см2.
Удельное сопротивление — это сопротивление горных пород проникновению конуса, приходящееся на единицу его поперечного сечения. Международными конгрессами по механике грунтов и фундаментостроению (IV в 1957 г. в Лондоне и V в 1961 г. в Париже) было рекомендовано использовать для статического зондирования конус диаметром 36 мм, площадью 10 см2, с углом при вершине 60°.
Сопротивление горных пород трению по боковой поверхности зонда равно
Rтр = Rобщ – Rкон
Современные конструкции установок для статического зондирования позволяют измерять либо общее сопротивление горных пород и сопротивление их погружению конуса, либо сопротивление проникновению конуса и величину трения по боковой поверхности зонда.
При динамическом зондировании горных пород основными показателями являются: а) показатель динамического зондирования N; б) глубина погружения зонда от определенного числа ударов стандартного молота S (это число ударов принято называть залогом); в) условное динамическое сопротивление горных пород Rд, кгс/см2 (по ГОСТ 19912-74 обозначается pд, т. е. не так, как оно обозначается международными индексами).
Показателем динамического зондирования принято называть число ударов молота, необходимое для погружения зонда на определенную глубину. В нашей стране эта глубина принята равной 10 см. Отсюда показатель динамического зондирования равен
N = 10n / S ,
где n — число ударов в залоге; S — глубина погружения зонда от принятого числа ударов молота в залоге.
Показатель динамического зондирования зависит не только от сопротивления, оказываемого горными породами проникновению зонда, но и от сил трения, развивающихся по боковой поверхности зонда при его погружении, и от увеличения его веса с глубиной. Поэтому при обработке результатов испытаний вводят соответствующие поправки на боковое трение пород и на увеличение веса зонда. Эти поправки приводятся в методических руководствах.
Основным показателем свойств горных пород при динамическом зондировании считается условное динамическое сопротивление горных пород Rд. Только этот показатель предлагается ГОСТ 19912—74 и «Указаниями по зондированию горных пород для строительства» (СН 448—72). Его вычисляют по формуле
Rд = KП0Фn / S ,
где K — коэффициент для учета потерь энергии при ударе, определяемый по специальной таблице; П0 — коэффициент для учета влияния применяемого оборудования, определяемый по специальной таблице; Ф — коэффициент для учета трения штанг о горные породы, определяемый по данным двух испытаний, в одном из которых зондирование производится в процессе бурения; n — число ударов в залоге; S — глубина погружения зонда от принятого числа ударов молота в залоге.
Для статического и динамического зондирования применяют разнообразные установки и станки. Наиболее часто используют установки конструкции ГПИ Фундаментпроект марки С-979, БашНИИ-промстроя марки С-832 и ВСЕГИНГЕО марки СПК. Известны установки конструкции и других организаций.
Пористость горных пород
Пористость горных пород, совокупность пустот (пор), заключённых в горных породах. Количественно П. г. п. выражается отношением объёма всех пор к общему объёму горных пород (в долях единицы или процентах). Поры в горных породах по величине принято делить на субкапиллярные (менее 0,2 мк), капиллярные (0,2—100 мк), сверхкапиллярные (более 100 мк).
По форме поры могут быть различного типа — пузырчатые, каналовидные, щелевидные, ветвистые и т.п. Форма и размер отдельных пор и их взаимная связь определяют геометрию порового пространства пород.
Различают П. г. п. общую (или абсолютную, физическую, полную) — совокупность всех пор, заключённых в горных породах; открытую (насыщения) — объём связанных (сообщающихся) между собой пор; закрытую — совокупность замкнутых, взаимно не сообщающихся пор. В нефтяной геологии выделяют также эффективную П. г. п., т. е. совокупность пор, занятых нефтью, газом, и динамическую П. г. п. — объём пор, через которые при определённых давлении и температуре происходит движение насыщающих жидкостей или газов; она всегда меньше общей П. г. п.
Наиболее высокая П. г. п. свойственна почвам и рыхлым осадкам — пескам, глинам и др. (до 60—80% и более). Осадочные и вулканогенные горные породы (песчаники, известняки, лавы, туфы и др.) характеризуются большим диапазоном значений пористости (от 50 до 10% и менее). Магматические и метаморфические породы обладают, как правило, малой пористостью (0,1—3%). С возрастанием глубины залегания пород П. г. п. обычно уменьшается (особенно осадочных) и на больших глубинах может иметь очень малые значения.
В лабораторных условиях П. г. п. определяется методами свободного, вакуумного (под вакуумом) и принудительного (под давлением) насыщения горных пород жидкостью, а также методами, основанными на расширении газа, и др. В полевых условиях для оценки величины П. г. п. используются различные виды каротажа скважин. Результаты изучения П. г. п. используются для подсчёта запасов полезных ископаемых (например, нефти и газа), выборе технологии разработки полезных ископаемых и др.
Проницаемость пород и ее распределение
Характер движения нефти или газа к забою добывающей скважины определяется двумя основными факторами:
физико-химическими свойствами этих углеводородов;
структурой порового пространства среды – коллектора, в которой они распространяются.
Для описания течения углеводородов с учетом этих факторов, наряду с другими характеристиками, вводится понятие проницаемости горной породы,
характеризующей ее способность пропускать жидкости и газы. Для оценки проницаемости пород обычно пользуются законом фильтрации Дарси, согласно которому скорость фильтрации (просачивания) жидкости в среде пропорциональна градиенту давления и обратно пропорциональна ее динамической вязкости
:
.
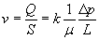
Перепишем эту формулу в скалярной форме для одномерной задачи. Для этого выделим образец породы длиной
, и предположим, что ее фильтрационные свойства одинаковы по всей длине. Тогда имеем
Характеристики
Тип файла документ
Документы такого типа открываются такими программами, как Microsoft Office Word на компьютерах Windows, Apple Pages на компьютерах Mac, Open Office - бесплатная альтернатива на различных платформах, в том числе Linux. Наиболее простым и современным решением будут Google документы, так как открываются онлайн без скачивания прямо в браузере на любой платформе. Существуют российские качественные аналоги, например от Яндекса.
Будьте внимательны на мобильных устройствах, так как там используются упрощённый функционал даже в официальном приложении от Microsoft, поэтому для просмотра скачивайте PDF-версию. А если нужно редактировать файл, то используйте оригинальный файл.
Файлы такого типа обычно разбиты на страницы, а текст может быть форматированным (жирный, курсив, выбор шрифта, таблицы и т.п.), а также в него можно добавлять изображения. Формат идеально подходит для рефератов, докладов и РПЗ курсовых проектов, которые необходимо распечатать. Кстати перед печатью также сохраняйте файл в PDF, так как принтер может начудить со шрифтами.















