70878-1 (652774), страница 2
Текст из файла (страница 2)
| Тура | 253 - 11.11 | 217 - 30.10 | 261 - 17.8 | 224 - 1.11 | 235 - 11.10 | 236 - 13.11 | 232 - 21.11 |
| 385 - 26.11 | 452 - 18.3 | 518 - 15.3 | 538 - 9.3 | 493 - 5.4 | 518 - 1.5 | 559 - 21.3 |
Минимальные значения ОСО в северном полушарии наблюдаются преимущественно в осенне-зимнее время с сентября по январь, максимальные значения ОСО с наибольшей вероятностью (~ 40 %) встречаются весной (в основном, в марте и в мае).
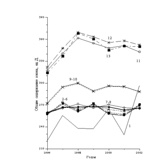
На рис.1 представлены временные вариации среднегодовых значений ОСО в рассматриваемом интервале времени по всем станциям.
Рис.1. Временные вариации среднегодовых значений ОСО по всем станциях в рассматриваемом интервале времени.
Линии на рисунке пронумерованы в соответствии с номерами станций в табл.1. На антарктической станции Восток среднегодовые значения ОСО ниже, чем на всех станциях северного полушария, хотя в конце рассматриваемого периода (в 2002 г.) среднегодовое значение ОСО превысило здесь соответствующие значения на экваториальных станциях и даже некоторых среднеширотных ( в Китайском регионе). На ст. Восток пики среднегодовых значений отмечались также в 1997 г. и в 2000 г. , что может быть связано с ослаблением интенсивности антарктической “озоновой дыры” в отдельные годы / 3 /.
Для всех станций временной ход среднегодовых значений характеризуется наличием максимумов, повторяющихся через 2-3 года (рис.1). На экваториальных станциях 2-6 (т.е. до широты примерно 11° N) максимумы наблюдаются в 1997 г. и 1999 г. Среднегодовые значения ОСО для этих экваториальных станций меняются в небольших пределах (255-275 ед.Д.). На станциях 7-8, расположенных в области широт 11° - 21° N, максимумы наблюдаются на год позже, хотя пределы изменения среднегодовых значений ОСО остаются прежними. Для всех остальных станций, лежащих в области средних и высоких широт северного полушария, максимумы наблюдаются так же на год позже, чем на приэкваториальных станциях - в 1998 г. и в 2000-2001 гг. Пределы изменения среднегодовых значений на среднеширотных станциях: от ~ 270-300 ед.Д. в Китайском регионе (для станций 9-10 на рис.1) до ~ 310-370 ед.Д. для всех остальных станций на средних и близких к полярному кругу широтах в северном полушарии (для станций 11-13). Первый максимум на всех станциях значительно больше второго, наблюдаемого на среднеширотных станциях через три года.
Рис.2. Усредненные за 7 лет вариации среднемесячных значений ОСО для всех станций в долготной зоне.
Следует отметить, что проведенные для периода 1979-1993 гг. в работе / 4 / модельные расчеты так же показали наличие регулярных межгодовых вариаций озона с периодом ~ 3-3.5 лет в северных средних широтах, которые индуцируются зональными средними вихревыми потоками.
На рис.2 представлены усреднённые за 7 лет вариации среднемесячных значений ОСО для всех станций. Отчетливо заметен “эффект широты”, проявляющийся в том, что для станций, расположенных на экваторе, максимум наблюдается в основном в летний период, а для средних и более высоких широт - зимой и весной. Конкретные месяцы появления максимумов и минимумов среднемесячных значений ОСО в годовом ходе разные не только для разных станций, но и для разных лет на одной и той же станции.
Меняются с широтой и сами значения: для станций на средних и высоких широтах они больше, чем на экваториальных. На приэкваториальных станциях среднемесячные значения меняются от месяца к месяцу весьма незначительно. Различия год от года и от станции к станции во времени появления максимумов и минимумов среднемесячных значений ОСО в годовом ходе и в интервалах изменения среднемесячных значений в рассматриваемый период измерений ОСО (1996-2002 гг.) можно оценить по данным, приведённым в таблице 3.
Таблица 3.
Вариации год от года и от станции к станции месяцев и сезонов появления (З-зима, Л-лето, В-весна, О-осень) максимальных и минимальных среднемесячных значений ОСО и изменчивости интервалов их значений в ед. Д.
| NN станции | 1 | 2 | 3 | 4 | 5 | 6 | 7 | 8 | 9 | 10 | 11 | 12 | 13 |
Месяц появления минимальных среднемесячных значений ОСО
| 1996 г. | 10 | 12 | 12 | 12 | 12 | 12 | 12 | 12 | 8 | 8 | 8 | 7 | 7 |
| 1997 г. | 10 | 12 | 12 | 12 | 12 | 2 | 2 | 12 | 8 | 8 | 10 | 10 | 10 |
| 1998 г. | 10 | 1 | 1 | 1 | 1 | 1 | 1 | 12 | 11 | 11 | 9 | 8 | 8 |
| 1999 г. | 9 | 1 | 1 | 1 | 12 | 1 | 2 | 12 | 9 | 9 | 8 | 10 | 12 |
| 2000 г. | 9 | 1 | 12 | 1 | 2 | 12 | 1 | 12 | 10 | 10 | 7 | 8 | 12 |
| 2001 г. | 9 | 1 | 12 | 1 | 1 | 12 | 1 | 12 | 10 | 10 | 8 | 11 | 8 |
| 2002 г. | 10 | 12 | 12 | 12 | 12 | 12 | 1 | 12 | 9 | 9 | 8 | 8 | 11 |
| Сезон появления минимума | О | З | З | З | З | З | З | З | О | О | Л-О | Л-О | Л-О |
Месяц появления максимальных среднемесячных значений ОСО
| 1996 г. | 12 | 10 | 11 | 11 | 10 | 7 | 8 | 7 | 12 | 12 | 12 | 12 | 12 | |
| 1997 г. | 1 | 10 | 10 | 10 | 9 | 7 | 6 | 6 | 2 | 2 | 2 | 2 | 1 | |
| 1998 г. | 2 | 9 | 10 | 10 | 9 | 8 | 8 | 8 | 3 | 3 | 3 | 3 | 4 | |
| 1999 г. | 2 | 9 | 9 | 8 | 8 | 7 | 5 | 8 | 12 | 12 | 3 | 3 | 3 | |
| 2000 г. | 12 | 9 | 9 | 9 | 7 | 6 | 5 | 7 | 2 | 2 | 1 | 3 | 3 | |
| 2001 г. | 4 | 9 | 11 | 11 | 7 | 7 | 7 | 5 | 3 | 3 | 3 | 3 | 4 | |
| 2002 г. | 11 | 8 | 9 | 9 | 8 | 5 | 6 | 5 | 3 | 3 | 3 | 4 | 4 | |
| Сезон появления максимума | З | О | О | О | Л-О | Л | Л | Л | З-В | З-В | З-В | З-В | З-В | |
| Интервал изменения | 151 -347 | 240 -283 | 240 -284 | 239 -284 | 238 -285 | 234 -285 | 230 -285 | 228 -290 | 259 -337 | 261 -350 | 292 -447 | 295 -468 | 277 -477 |
В табл. 3 станции обозначены номерами, соответствующими им в табл.1, а месяцы появления максимальных и минимальных среднемесячных значений ОСО - цифрами от 1 до 12.
Видно, что на приэкваториальных станциях минимум среднемесячных значений ОСО приходится на зимний период, тогда как, начиная со станции Гора Великьюэн (Китай), минимум сдвигается от зимы к осени. Что касается максимума, то время его появления постепенно меняется с осени для 3-х станций, расположенных практически на экваторе, на лето для экваториальных станций. Для станций, расположенных в области средних и более высоких широт, максимум среднемесячных значений ОСО приходится на зимне-весенний период. Интервалы изменения среднемесячных значений ОСО от минимума к максимуму постепенно расширяются с ростом широты от экваториальных станций к среднеширотным: на экваторе он порядка 45-60 ед.Д., а в средних и высоких широтах - 150-200 ед.Д , т.е. годовой ход приобретает заметную амплитуду (рис.2).














