70878-1 (652774), страница 3
Текст из файла (страница 3)
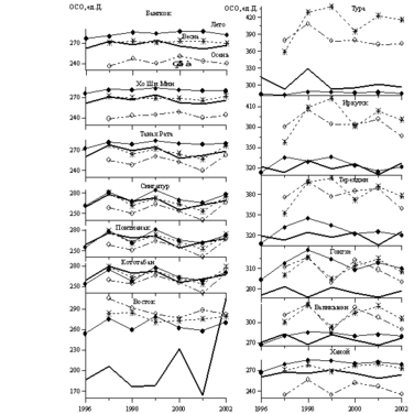
Временные вариации средних за сезон значений общего содержания озона представлены на рис.3. Можно видеть, что для всех экваториальных станций вплоть до широт Китая средние за зиму значения ОСО наиболее низкие во все годы в течение всего рассматриваемого периода с 1996 г. по 2002 г., а средние за лето значения ОСО - самые большие. Для станций, расположенных в области средних и приполярных широт, ситуация резко меняется: от ст. Валикьюэн в Китае до ст. Тура в России, а также на ст. Восток в Антарктике самыми низкими значениями за все рассматриваемые годы являются средние значения ОСО за лето и за осень (за исключением ст. Гонгхе в Китае).. Все среднесезонные значения на экваториальных станциях от Кототабана до Хо-Ши-Мина
Рис.3. Временные вариации средних за сезон значений общего содержания озона.
испытывают квазидвухлетние вариации с максимумами в 1997 г. и в 1999 г. Для станций в области средних и более высоких широт квазидвухлетние колебания тоже наблюдаются,
но максимумы смещаются на 1998 г. и 2000-2001 гг. Квазидвухлетние колебания наиболее ярко выражены в вариациях среднезимних и средневесенних значений ОСО. Квазидвухлетние колебания ОСО были также обнаружены в работе / 5 / при исследовании межгодовых вариаций озона над субтропическим западным районом Тихого Океана в те же годы – 1996-2002, и авторы пришли к выводу, что межгодовые вариации озона определяются в основном процессами динамического переноса.
Рис.4 иллюстрирует широтный ход изменчивости средних значений ОСО вдоль долготной цепочки 100-110° Е 1. среднезимних ( 1996/1997 гг. - 2001/2002 гг.); 2. среднелетних ( 1997 г. - 2002 г.); 3. среднегодовых значений ОСО ( 1997 г. - 2002 г.). Здесь используется неравномерная по широте шкала, рассматриваемые станции располагались в порядке изменения их широты от ст. Восток в Южном полушарии до ст. Тура на Крайнем Севере - по их порядковым номерам в табл.1. Как видно из рис.4, для среднегодовых значений и, особенно, для среднезимних значений ОСО во все рассматриваемые годы средние значения общего содержания озона поднимаются от экватора к северному полюсу ступенями: первое возрастание значений ОСО по сравнению
Рис.4. Широтный ход изменчивости средних значений ОСО вдоль долготной цепочки 100-110° Е.
с экваториальными происходит в Китайском регионе на ст. Валикьюэн и Гонгхе (примерно на 30-100 ед.Д.) и второе (примерно такое же по величине) - в России на ст. Терелджи, Иркутск и Тура. Среднезимние значения ОСО меняются в интервале от 230 ед.Д. (на экваторе) до 330 ед.Д. в Китае и до 410 ед.Д. в России. Среднегодовые значения меняются от 220 ед.Д. до 300 ед.Д. и далее до 370 ед.Д. Интервал ступенчатого изменения от экватора к полярному кругу средних за лето значений ОСО составляет, соответственно, [255 - 285 - 345 ед.Д.], что гораздо меньше (почти в 2 раза), чем для широтных вариаций среднегодовых и среднезимних значений ОСО.
На рис.5 представлены временные вариации среднемесячных значений ОСО на 14 станциях. Во временных вариациях среднемесячных значений ОСО на 4-х экваториальных станциях (Кототабан, Понтианак, Сингапур и Танах-Рата) четко проявляются квазидвухлетние колебания. Для среднеширотных станций начинает превалировать годовая волна, амплитуда которой постепенно растет с ростом широты достигая максимальных значений на станции Тура (Россия) вблизи полярного круга.
Рис.5. Временные вариации среднемесячных значений ОСО на 14 станциях.
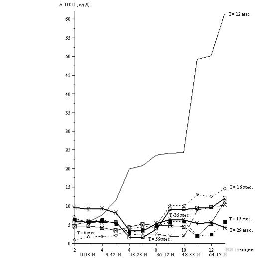
Чтобы оценить спектральную структуру этих вариаций, был проведён множественный корреляционный периодограмманализ, который показал, что статистически значимая годовая волна (по критерию Фишера) присутствует на всех станциях, и амплитуда этой волны в северном полушарии существенно возрастает от экватора к полюсу. На рис.6 представлены амплитудные спектры (масштаб по осям абцисс и ординат для всех станций одинаков). На каждом из спектров соответствующими цифрами обозначены статистически значимые периоды колебаний. Видно, что амплитуда годовой волны от приэкваториальных станций к полярному кругу возрастает более, чем в 10 раз (от 5 ед.Д. на ст. Кототабан до 61 ед.Д. на ст. Тура). Для квазидвухлетних колебаний (КДК) меняется с широтой не только амплитуда колебаний, но и период: на приэкваториальных станциях периоды КДК 28-29 мес., на среднеширотных и более высокоширотных станциях - 35 мес. (т.е. ~3 года). Видимо, в формировании долгопериодной изменчивости озона на экваторе существенную роль играет изменение фазы и периода квазидвухлетних колебаний стратосферного ветра. На амплитудных спектрах присутствуют также колебания с периодами 16 мес. и 19 мес. (примерно
Рис.6. Амплитудные спектры ОСО.
полуторагодовые колебания), а на экваториальных станциях также статистически значимые крупномасштабные вариации с периодом ~ 5 лет (58-60 мес.).
Изменение с широтой амплитуд крупномасштабных колебаний ОСО с периодами 6, 12, 16, 19, 29, 35 и 59 мес. по всем используемым в работе станциям можно оценить из таблицы 4. В нижней строке приведены рассчитанные для всей долготной зоны 100-110° в.д. средние по всем широтам значения амплитуд колебаний ОСО с указанными периодами. На первых 3-х станциях, расположенных на экваторе, наибольшую амплитуду имеют квазидвухлетние колебания с периодом 29 мес., но уже начиная с ~ 5° N (ст. Танах-Рата в Малайзии) превалирующей на амплитудных спектрах становится амплитуда годовой волны, которая стремительно растет с ростом широты в северном полушарии и на самых северных станциях становится более, чем в 2 раза, выше среднего значения годовой амплитуды в долготной зоне 100-110° в.д.
Таблица 4.
Амплитуды крупномасштабных колебаний с периодами 6, 12, 16, 19, 29, 35 и 59 мес. среднемесячных значений ОСО (в ед.Д.).
| Станция | 6 мес. | 12 мес. | 16 мес. | 19 мес. | 29 мес. | 35 мес. | 59 мес. |
| Кототабан | 4.49 | 4.91 | 0.89 | 6.41 | 9.56 | 5.77 | 6.66 |
| Понтианак | 4.57 | 5.60 | 1.73 | 5.66 | 9.12 | 5.97 | 5.61 |
| Сингапур | 4.07 | 7.46 | 1.86 | 6.37 | 9.28 | 5.88 | 5.53 |
| Танах Рата | 3.39 | 11.28 | 2.07 | 5.20 | 8.17 | 5.59 | 5.57 |
| Хо Ши Мин | 4.21 | 19.76 | 4.04 | 2.96 | 3.37 | 1.53 | 2.42 |
| Бангкок | 5.03 | 20.63 | 4.38 | 3.57 | 3.34 | 1.65 | 2.46 |
| Ханой | 4.59 | 23.41 | 4.92 | 4.66 | 5.36 | 3.91 | 2.50 |
| Гора Великьюэн | 4.66 | 23.98 | 10.09 | 5.87 | 6.32 | 9.10 | 1.83 |
| Гонгхе | 4.35 | 24.12 | 10.12 | 5.83 | 6.20 | 9.05 | 1.91 |
| Терелджи | 1.89 | 49.10 | 13.05 | 2.04 | 5.29 | 9.38 | 8.86 |
| Иркутск | 5.19 | 50.02 | 12.53 | 2.42 | 5.61 | 9.59 | 9.71 |
| Тура | 11.05 | 61.23 | 14.59 | 5.77 | 4.21 | 12.06 | 10.26 |
| Средняя амплитуда для долготной зоны 100-110° Е | 4.79 | 25.12 | 6.69 | 4.73 | 6.32 | 6.62 | 5.28 |
Рис.7. Изменение амплитуды колебаний ОСО в зависимости от широты.
Изменение амплитуды колебаний в зависимости от широты проиллюстрировано на рис. 7. Годовая волна имеет амплитуду на экваторе ~ 5-10 ед.Д., затем в области широт 10-40° N она возрастают до 20 ед.Д. и на широтах > 50° N амплитуда годовой волны превышает экваториальную в 10-15 раз, поднимаясь выше 60 ед.Д. на ст. Тура. Более или менее равномерно растет с широтой амплитуда колебаний ОСО с периодом 16 мес. (1.3 года). Амплитуда квазидвухлетних колебаний ОСО (с периодом 29 мес.) уменьшается от экватора к Северному полюсу, а амплитуда колебаний с периодом 35 мес., наоборот, растет с широтой. При этом в области широт примерно 10-30° N наблюдаются минимальные значения амплитуд квазидвухлетних колебаний ОСО (в этой области широт образуется некий “ провал” в амплитудах КДК.
Рис.8. Временной ход ежемесячных значений дисперсии ОСО.
По всем станциям для каждого отдельного месяца в интервале 7.1996 г. - 12.2002 г. была рассчитана стандартная дисперсия, величина которой служит здесь как статистическая мера изменчивости озона. На рис.8 представлены временные вариации рассчитанных ежемесячных значений дисперсии ОСО. Видно, что дисперсия ОСО претерпевает значительные изменения в зависимости от широты. На приэкваториальных станциях дисперсия очень мала: самые большая дисперсия для 7-ми станций вплоть до Вьетнамского региона (ст. Ханой) не превышает 18 ед.Д.2 На станциях в Китайском регионе и далее в Сибири и на Севере наблюдается очень сильная изменчивость общего содержания озона – например, на ст. Тура в середине зимы 2000 г. дисперсия озона достигла 558 ед.Д.2. Изменчивость ОСО с ростом широты в Северном полушарии, начиная от ст. Ханой, возрастает. Отчетливо заметна зависимость изменчивости ОСО от сезона года: в основном, все максимумы дисперсии приходятся на зимний период времени. Дисперсия ОСО, как видно из рис.8, меняется и год от года: самая высокая изменчивость ОСО наблюдалась в 1998 г. и в 2000 г., немного меньше - в 1997 г. и в 1999 г. Дисперсия значительно уменьшилась после 2000 г., особенно на станциях Терелджи, Иркутск и Тура..














