20462 (651781), страница 2
Текст из файла (страница 2)
Передбачити, на випадок перебоїв в постачанні підприємствами-су-міжниками, створення місцевих матеріалів, сировини для виготовлення комплектуючих виробів і інструментів силами свого підприємства.
9. Забезпечення збереження й відновлення будівель і споруд.
Оцінка можливих ступенів руйнування будівель і споруд господарства, населеного пункту. Визначення обсягу невідкладних ремонт них робіт, потреби в будівельних матеріалах.
Розрахунок сил і засобів для проведення невідкладних ремонтних та інших робіт, а також знезаражування приміщень, виробничих ділянок і території.
Створення і підготовка спеціальних формувань для ремонтно-відновних, будівельних та інших робіт на об'єкті. При будівництві нових будівель і захисних споруд врахувати вимоги ЦЗ.
Розробка комплексу протипожежних заходів, які виключали б можливість виникнення масових пожеж.
10. Забезпечення надійності системи управління і зв'язку. Організація захищеного пункту управління, оснащення його засобами зв'язку, які б дали можливість швидко доводити сигнали ЦЗ до всіх виробничих підрозділів і населення у місцях проживання.
Розробка документів, які регламентують чіткі дії персоналу для забезпечення сталої роботи об'єкта в надзвичайних умовах.
Підготовка необхідного резерву кадрів спеціалістів, механізаторів і керівних працівників для зміни тим, які будуть мобілізовані.
Планування збору даних про обстановку, передачу команд і розпоряджень в умовах впливу на об'єкт уражаючих факторів. Організація використання радіозасобів, телефонного зв'язку, посильних для зв'язку з віддаленими населеними пунктами, виробничими підрозділами, а також з колонами евакуйованого населення, що перебувають у дорозі, і відповідальними особами, які супроводжують під час евакуації.
Забезпечення дублювання ліній і каналів зв'язку.
Для підтримання на високому рівні ЦЗ регулярно проводити підготовку населення, спеціалістів, проводити об'єктові тренування і командні навчання.
3. Оцінка стійкості об'єкта проти впливу уражаючих факторів
Для розробки заходів підвищення і забезпечення стійкості роботи об'єктів у надзвичайних ситуаціях необхідно оцінити стійкість об'єкта проти впливу уражаючих факторів.
Вихідними даними для проведення розрахунків стійкості об'єкта До ураження є: максимальні значення параметрів можливих уражаючих факторів і характеристики елементів об'єкта.
Параметри уражаючих факторів можна одержати у відділі або Управлінні ЦЗ або визначити розрахунковим способом.
Руйнування житлових будинків, виробничих приміщень, тваринницьких комплексів, споруд різного виробничого призначення може бути у воєнний час від вибухової хвилі, в мирний час від аварій різного характеру, ураганів і землетрусів. Дія ударної хвилі на об'єкт характеризується складним комплексом навантажень: надмірним тиском, тиском відбивання, тиском швидкісного напору, тиском затікання, навантаженням від сейсмовибухових хвиль.
Все це буде залежати від виду і потужності вибуху, відстані до об'єкта, конструкції й розмірів елементів об'єкта, орієнтації відносно вибуху, розміщення будівель і споруд, рельєфу місцевості, характеру аварії, сили землетрусу чи бурі.
Осередки ураження при землетрусах за характером руйнувань будівель і споруд можна порівняти з осередками ядерного ураження. Тому оцінку можливих руйнувань при землетрусах можна проводити аналогічно оцінці руйнувань при ядерному вибуху. Як критерій необхідно брати не максимальний надмірний тиск у фронті ударної хвилі, а максимальну силу землетрусу в балах за шкалою Ріхтера.
Послідовність проведення оцінки:
-
визначення максимального надмірного тиску ударної хвилі, ∆РФ, сейсмічної хвилі чи сили бурі, яка очікується на об'єкті;
-
виділення основних елементів на об'єкті (склади, майстерні, цехи та ін.), від яких залежатиме функціонування об'єкта і виробництво продукції;
-
оцінка стійкості кожного елемента об'єкта;
-
визначення межі стійкості об'єкта проти впливу ударної, сейсмічної хвилі, урагану за мінімальною стійкістю його основних елементів;
-
порівняння розрахованої межі стійкості об'єкта ∆Рфlim, з очікуваним максимальним надмірним тиском ударної хвилі ∆Рфmax сейсмічної хвилі чи сили бурі. Якщо ∆Рфlim > ∆Рфmax , то об'єкт стійкий, якщо ж ∆Рфlim < ∆Рфmax, то об'єкт нестійкий проти ударної хвилі і аналогічно до сейсмічної хвилі і бурі;
-
визначення ступеня можливих руйнувань за таблицею результатів оцінки для елементів об'єкта при можливому і максимальному значенні надмірного тиску ∆Рфmax, тиску сейсмічної хвилі чи сили бурі й можливі при цьому втрати (відсотки).
На основі результатів оцінки стійкості об'єкта роблять висновки і пропозиції за кожним елементом і об'єктом в цілому: межа стійкості об'єкта, найбільш вразливі його елементи, характер і ступінь руйнувань при максимальному надмірному тиску, сильному землетрусі й урагані, можливі збитки; межа доцільного, підвищення стійкості найбільш вразливих елементів об'єкта і пропозиції (заходи) для підвищення межі стійкості об'єкта.
Оцінка можливості виникнення пожеж на об'єкті. Можливість виникнення пожеж встановлюють за займистістю матеріалів від світлового імпульсу ядерного вибуху, руйнування печей, газопроводів, пошкодження електромережі, які можуть виникнути при аваріях, землетрусах, бурях та ін.
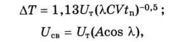
Світловий імпульс можна розрахувати за температурою загорання або нагрівання матеріалів і виробів:
де ∆T — підвищення температури матеріалу з освітленого боку, °С; UT — кількість світлового випромінювання, яке поглинається одиницею поверхні матеріалу (тепловий імпульс), кДж/м2; λ — коефіцієнт теплопровідності, кВТ/(mК); CV — питома теплопровідність речовини, кДж/(м3 • К); tn = 0,02 3√g — час початку найбільшої температури вогненного імпульсу; g - потужність вибуху, Мт; А - коефіцієнт поглинання світлової енергії матеріалом; λ - кут між напрямком поширення світла і перпендикуляром до освітленої поверхні.
Оцінюючи стійкість об'єкта проти світлового випромінювання ядерного вибуху, необхідно визначити максимальне значення світлового імпульсу UCBmax яке може бути на об'єкті.
Для оцінки стійкості об'єкта проти світлового випромінювання необхідні такі вихідні дані: характеристика будівель і споруд; характер виробництва, які горючі матеріали застосовуються у виробництві; вид готової продукції та місце її зберігання.
Оцінку стійкості об'єкта до світлового випромінювання доцільно проводити у такій послідовності: визначити ступінь вогнетривкості будівель і споруд, виявити горючі матеріали, елементи конструкцій і речовини; розрахувати світлові імпульси, за яких відбудеться спалахування елементів із займистих матеріалів; визначити категорію виробництва за пожежною небезпекою.
Пожежна небезпека виробництва визначається технологічним процесом, матеріалами які застосовуються у виробництві та готовою продукцією. За пожежною небезпекою технологічного процесу всі об'єкти поділяються на п'ять категорій: А, Б, В, Г, Д.
Категорія А - склади бензину; приміщення стаціонарних кислотних і лужних акумуляторних установок.
Категорія Б - цехи приготування і транспортування деревного борошна; розмельні відділи млинів; цехи виготовлення цукрової пудри; мазутне господарство електростанцій.
Категорія В - лісопильні, деревообробні, столярні, меблеві, бондарні й лісотарні цехи; цехи текстильної і паперової промисловості, заводи сухої первинної обробки льону, конопель і луб’яних волокон, зерноочисні відділення млинів і зернові елеватори; склади паливно-мастильних матеріалів; відкриті склади мастил і мастильне господарство електростанцій; закриті склади вугілля.
Категорія Г - кузні; зварні цехи; приміщення двигунів внутрішнього згоряння; головні корпуси електростанцій; розподільне обладнання з вимикачами й апаратурою з вмістом мастила 60кг і менше в одиниці обладнання; високовольтні лабораторії; котельні.
Категорія Д - цехи переробки м'ясних, рибних, молочних продуктів; насосне й водоприймальне обладнання електростанцій; насосні станції для перекачування негорючих рідин.
До категорій А, Б і В не належать виробництва, в яких горючі рідини; гази і пари спалюються як паливо, а також виробництва в яких технологічний процес протікає із застосуванням відкритого вогню. Склади поділяються на категорії відповідно до пожежної небезпеки матеріалів що знаходяться на них стосовно вказівок даних категорій.
Розрахункові дані зводять у таблицю результатів оцінки і роблять висновки, в яких вказують: межу стійкості об'єкта проти світлового імпульсу Uсвlim; очікуваний максимальний світловий імпульс Uсвmax; найбільш пожежонебезпечні елементи об'єкта і можлива обстановка на об'єкті. Об'єкт вважається стійким проти світлового імпульсу, якщо Uсвlim > Uсвmax.
На основі висновків розробляють конкретні заходи підвищення пожежної стійкості об'єкта.
Оцінка уразливості об'єкта від радіоактивного забруднення і проникаючої радіації починається з визначення максимальних очікуваних значень рівня радіації і дози проникаючої радіації.
За показник стійкості об'єкта приймається допустима доза радіації, яку можуть одержати люди за час робочої зміни.
Стійкість об'єкта проти радіаційного ураження можна оцінювати у такій послідовності. Визначити: граничні рівні радіації (Р/год) на об'єкті, за яких можлива виробнича діяльність у звичайному режимі або в режимах радіаційного захисту; ступінь захищеності працюючих; дози радіації, які може одержати виробничий персонал; втрати сільськогосподарських тварин і зниження їх продуктивності (%); втрати сільськогосподарських рослин та їх урожайність (%); втрати і ураження лісових насаджень і в результаті цього зниження господарської діяльності лісогосподарських об'єктів; стійкість роботи об'єктів в цілому.
Після аналізу зробити висновки про очікувані максимальні рівні радіаційного забруднення території об'єкта і дози проникаючої радіації; ступінь забезпечення захисту працюючих, тварин і обладнання, техніки, урожаю, кормів, води; можливість безперервної стійкої роботи об'єкта за умови, що сумарна доза опромінення працюючих не перевищуватиме допустимої дози; можливість виробництва запланованої, доброякісної продукції та заходи підвищення стійкості роботи об'єкта, підвищення рівня захисту працюючих.
Оцінка можливих збитків від ядерного вибуху проводиться на основі характеристики впливу кожного з уражаючих факторів. У зв'язку з тим, що найбільш небезпечним (за територією і тривалістю ураження) є радіоактивне забруднення місцевості, розглянемо приклад розрахунку збитків від впливу цього уражаючого фактора.
Для оцінки наслідків впливу радіоактивного забруднення необхідні такі дані: радіаційна обстановка в населених пунктах, на відкритій місцевості — місцях знаходження людей, на полях і пасовищах, на фермі та ділянках, де перебуває худоба поза приміщеннями, можливі втрати людей, поголів'я сільськогосподарських тварин, продуктивності тварин, урожаю сільськогосподарських культур; чисельність працездатного населення і характеристика його розміщення (на відкритій місцевості, в будинках, протирадіаційних укриттях) з урахуванням ступеня захищеності від впливу радіації; поголів'я сільськогосподарських тварин у громадському й особистому господарствах за видами і віковими категоріями, характеристика їх розміщення на період випадання радіоактивних продуктів; планова продуктивність сільськогосподарських тварин; площі посівів сільськогосподарських культур, планові урожайності й валові збори урожаю, фази розвитку рослин на |календарний час випадання радіоактивних речовин.
Розрахунки втрат населення. В оцінці стійкості роботи об'єкта особливе значення має аналіз розрахунку виробничих сил в умовах радіоактивного забруднення. Розглянемо це на прикладі.
Приклад. Населений пункт потрапив у три дозові зони: 400— 600, 600—800 і 800—1200 Р. У зв'язку з цим виникла необхідність оцінити наслідки впливу радіації на працездатне населення, сільськогосподарських тварин і посіви сільськогосподарських культур.
Працездатне населення. Необхідно зібрати дані про чисельність населення, яке потрапило в дозові зони, з урахуванням його захищеності.
Потім складають розрахункову таблицю, в яку переносять дані про чисельність населення в дозових зонах та його захищеність, про можливі втрати людей при різному ступені їх захищеності від дії гамма-радіації. Для кожних умов знаходження людей і дозової зони втрати людей розраховують у послідовності.
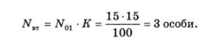
Наприклад, людей, які потрапили в дозову зону 400—600 Р без укриття (N01) було 15. Імовірність втрат людей (К) у цій зоні становить 15 %. Втрати людей, які знаходилися протягом 4 діб у даній дозовій зоні на відкритій місцевості, дорівнюватимуть:
Аналогічно розраховують втрати працездатного населення в усіх інших дозових зонах з урахуванням умов перебування людей.
















