13280 (648083), страница 3
Текст из файла (страница 3)
'В результате возможных нарушений в синтезе различных форм PlHiK при включении гаметоцида в метаболизм клетки неизбежно возникают анормальности в синтезе белка. В нормально развивающейся спорогенной ткани и в микроспорах активный синтез белка приходится на раннюю мейотическую профазу, его активность несколько снижается в зиготене — пахитене и совсем незначительна в период формирования тетрад [101]. Тапетум как ткань проявляет очень высокую метаболическую активность в течение всего периода микроспо-рогенеза вплоть до полного автолиза, поэтому отводить тапе-туму только секреторную роль — значит ограничить его многообразные физиологические функции [108]. Отмечено, что пул ДНК тапетума недостаточен, чтобы служить источником для формирующихся микроспор [98]. Возможно, тапетум снабжает микроспоры растворимыми ДНК предшественниками,
14
как это было показано с экзогенно добавленным меченым ти-мидином, который быстро проникал в ткани тапетума и включался в ДНК микроспор [72]. Наиболее вероятно, что синтез РНК в тапетуме и микроспорах материнской клетки пыльцы независим. Однако это не исключает, что тапетум, особенно в ранний период формирования микроспор, частично поставляет предшественников РНК в спорогенную ткань [94]. В тапетуме имеется довольно большой рибосомальный пул, который, по-видимому, полностью деградирует вместе с ним или может поставлять предшественников РНК для последнего периода синтеза РНК в развивающихся спорах [101].
Роль тапетума в белковом синтезе может быть объяснена с точки зрения синтеза специфических энзимов, связаннь1х с мейозом или другими процессами в спорогенной ткани. Допустимо участие тапетума и в распределении белкового резерва. Высокая пропорция piPHK в его тканях свидетельствует о синтезе белков de novo, часть ,из которьгх откладывается как запасные в микроспорак [28, 137]. Обработка гаметоцидными препаратами вызывает репрессию синтетических процессов белка в результате вмешательства этих физиологически активных веществ во взаимосвязь процессов ДНК— РНК—белок [13, 19,29, 30, 104, 120]. Выяснение сущности процессов индукции мужской стерильности лежит в этой области. Эффект ГМК на ростовые процессы посредством действия ингибитора на обмен нуклеиновых кислот — экспериментально установленный факт [29]. Значительное влияние оказывает ГМК на рибосомальную фракцию РНК путем изменений в процессах биосинтеза ДНК [19]. Возможно, что специфичность действия ГМК проявляется на уровне репрессии синтеза биокаталитически активных белков именно той фракции, которая ответственна за синтез и распад ДНК. При воздействии ГМК наступает уменьшение фосфорелированных богатых лизином гистоновых фракций, количество которых в активноделящихся клетках при нормальных физиологических условиях значительно выше. Такое изменение в соотношении гистоновых фракций оказывает влияние на матричную активность ДНК, что приводит к нарушению мейотического цикла. Не исключено, что изменение соотношения форм гистонов под влиянием ГМК создает условия для атаки и расщепления ДНК'азой доступных участков ДНК, о чем свидетельствует возросшая активность этого энзима у растений, обработанных ГМК [19].
ГМК как гаметоцид не проявляет высокой селективности действия, так как параллельно оказывает влияние на мери-стематическую ткань, где стимулирует процессы распада и ингибирует синтетическую активность клеток [29]. Очевидно,
15
'этим объясняются негативные эффекты, наблюдаемые при опрыскивании растений растворами ГМК: задержка в росте и развитии, морфологические аномалии и т. д. [20, 125].
Изменения в деятельности центров, программирующих природу синтезируемых белков и регулирующих их синтез, при включении механизмов стерильности вызывают сложные сдвиги в ферментативных системах. Низкая активность различных энзиматшческих комплексов стерильных аналогов озимой пшеницы и угнетение активности окислительно-восстановительных процессов, лежащих в основе метаболизма, проявляются на ранних этапах формирования ,и развития микроспор [6, 128]. Дезорганизация в энзиматических системах вызывает дисбаланс в аминокислотном, углеводном и нуклеиновом пулах.
Хлорированные производные аляфатических карбоновых кислот, применяемые в качестве гаметощидов, вызывают накопление в тканях пыльников большого количества аминокислот (а-аланина, р-аланина, аспарагиновой, глутаминовой, се-рина и др.), одновременно резко снижается содержание про-лиаа [8, 26, 43].
При сравнительных исследованиях мужской стерильности у различных видов растений отмечены изменения в соотношении отдельных аминокислот в аминокислотном пуле. Количественный и качественный состав аминокислот обусловлены механизмами цитоплазматической регуляции и спецификой метаболизма растения. Так, в стерильных пыльниках сорго по сравнению с фертильными установлена анормальная акку^-муляция глицина и заниженное содержание аспарагиновой .кислоты, серина и аланина. М. W. Brooks, J. S. Brooks и -L. Chien [52] считают, что в данном случае специфическим признаком, обусловливающим мужскую стерильность, является блокирование глицина в синтезе пурина. У других линий сорго с ЦМС обнаружено повышенное содержание трео-нина по сравнению с фертильными растениями. Пыльники последних включали больше аланина, глутаминовой кислоты и тирозина [43]. Вероятно, от типа стерильности и этапа, на котором возникают нарушения в синтетических процессах .клетки, зависит накопление или ингибирование образования определенных аминокислот.
.Сравнительные исследования содержания аминокислот у различных растений с разными формами мужской стерильности (функциональной, цитоплазматической и ядерной) показали, что во всех случаях было высокое содержание аспа-рагина' и низкое — пролина по сравнению с фертильными растениями [26, 43, 46]. Последующие эксперименты подтвер-
16
дили, что пыльники стерильных аналогов линий, полученных на основе цитоплазмы Т. timopheevi, характеризовались
-высоким содержанием свободного аспарагина и низким — пролина. Среди связанных аминокислот сохраняется та же закономерность [118].
^ Индукция мужской стерильности при использовании химических соединений, обладающих гаметоцидной активностью
'-(RMiK, FW-450 4- гиббереллин), сопровождалась аналогичными изменениями в аминокислотном пуле растений кукурузы: накоплением больших количеств a-алани'на, аспарагиновой
•и глутаминовой кислот, серина у стерилизованных растений с одновременным резким блокированием синтеза пролина [26]. Часть аспарагиновой кислоты подвергалась дальнейшему аминированию, что приводило к образованию амида, содержание которого у стерилизованных растений в отдельных случаях достигало 2%, или приблизительно половины от общей суммы всех свободных аминокислот [8]. Отмеченный многими авторами дефицит пролина у растений с различным типом мужской стерильности предполагает торможение синтеза белка путем включения механизмов мужской стерильности на более ранних этапах белоксинтетической системы (при синтезе аминокислот), в результате чего тормозятся процессы аминирования.
Полноценное питание в течение микроспорогенеза и развития пыльцы обусловливает нормальное развитие генеративных клеток. Массовое накопление свободного пролина начиналось после завершения мейоза, а в фазе тетрад он был обнаружен в заметных количествах [8]. Эта аминокислота принимает участие в ряде общих реакций метаболизма: активирует дыхание растительных тканей, регулирует поглощение кислорода, является донором NHz-групп при синтезе некоторых аминокислот и стимулирует синтез хлорофилла [8]. Про-лин относят к числу характерных аминокислот щелочных ядерных белков-гистонов и протаминов, несущих генетическую функцию в поддержании определенной структуры ДНК [9]. Влияние этой аминокислоты на активность генома связано с критическими этапами в развитии, когда незначительные структурные перестройки могут иметь решающее значение. Исключительно высокое содержание пролина в тканях гаме-тофита обусловливает определенную физиологическую «нагрузку», которую он выполняет в процессах формирования пыльцы.
В пыльце диплоидных сортов содержание пролина в два раза выше, чем в пыльце триплоидных, имеющих пониженную трертильность [8]. Эти данные свидетельствуют, что пролин .занимает особое место среди других аминокислот при форми-2—10287 17
ровании пыльцы и, возможно, является определяющим метаболитом нормальных физиологических процессов.
Пролин пыльцы, по-видимому, вовлекается в самые ранние фундаментальные реакции гаметогенеза, и его дефицит в пыльниках может иметь прямое отношение к абортивности пыльцы. Содержание пролина начинает .снижаться на стадии мейоза и становится прогрессивным к периоду интерфазы микроспор, когда уже наблюдается дегенерация пыльцевого зерна. Дефицит пролина — это следствие некоторых дефектов в мейозе или в предшествующей стадии микроспорогене-за [118]. Параллельно накопление глутаминовой кислоты в стерильных пыльниках свидетельствует о торможении процессов превращения ее в пролин, предшественником которого она является. Относительно высокое содержание аспарагина в пыльниках растений с мужской стерильностью также обусловлено метаболическими отклонениями.
Индукция мужской стерильности вносит свои коррективы в биосинтетические процессы не только генеративных органов, но и всего растения. Общее содержание аминокислот в семенах и вегетативных органах стерильных растений пшеницы выше, чем фертильных, на 8%, что можно объяснить спецификой метаболической активности митохондрий стерильных растений [46, 63]. У нормально развивающихся растений накопление свободного пролина начинается после редукционного деления и осуществляется за счет притока пролина из вегетативных органов [8].
Наблюдения за изменениями в динамике развития организма, происходящими под влиянием веществ с гаметоцидной активностью во взаимосвязанной системе ДНК—iPHiK—белок—аминокислоты, показали, что наиболее быстро и в значительной степени изменяются активности энзиматических систем, затем проявляются ответные реакции в обмене нуклеиновых кислот и белка и относительно с большим опозданием осуществляются процессы, приводящие к изменению соотношения свободных аминокислот, органических кислот и аммония [98].
Многообразие действия хлорированных алифатических кислот на растительный организм предполагает возможность индуцирования мужской стерильности путем блокирования .разнообразных метаболических путей.
Попытки связать механизм избирательного действия были сделаны при изучении ряда хлорированных производных али-фатических карбоновых кислот, проявивших гаметоцидные свойства. Одним из предполагаемых механизмов селективного действия ар-дихлоризомасляной (FW-450) и трихлоруксус" ной (ТХУ) кислот считают торможение ферментативного син-
18
теза пантотеновой кислоты из пантоевой и (3-аланина [20]. Физиологическая роль пантотеновой кислоты связана с тем, что она является функциональной группой конденсирующего фермента КоА. Хлорированные алифатические кислоты выступают антиметаболитами р-аланина, поэтому синтез цантотено-вой кислоты является одним из чувствительных метаболических путей к этой группе соединений. Действие FW-450 определяется конкуренцией с 2,4-диокси-р-метилмасляной кислотой за локус, специфически активирующий фермент. Аналогичный эффект отмечен при действии 2, 3, 3-трихлормасляной к 2, 3-дихлормасляной кислот. Недостаток рибозы (одного из компонентов КоА) повышает токсичность FW-450 и этрела. Исследования гербицидного действия производных алифати-ческих карбоновых кислот показали, что эффект применяемых соединений обусловлен нарушением синтеза КоА. В результате возникает дисбаланс в соотношении ряда аминокислот трикарбонового цикла. При этом снижается количество лимонной и возрастает содержание яблочной кислоты, происходит более интенсивный синтез р-аланина и аспарагиновой кислоты.
В настоящее время преждевременно судить об определенной специфичности действия конкретных гаметоцидов, о «месте первичного действия» соединения. Возможно, механизм гаметоцидного действия определяется конкуренцией между веществом, обладающим гаметоцидньши свойствами, и определенными естественными метаболитами тканей генеративных органов.
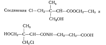
На основании исследований конкуренции между пантоте-натом и далапоном появилась возможность предсказать новые аналоги пантоата в виде хлорзамещенных алифатаче-ских кислот. Были синтезированы 4 соединения, биологическая активность которых (в данном случае гербицидная) варьировала в зависимости от степени хлорирования и место
положения хлора: (далапон); при кон
центрации 0,005 М активность далапона составляла 76%, при 0,05 М—99%.
У соединения
активность при тех же
концентрациях составляла соответственно 77 и 100%. 19
проявляли фитотоксический эффект: при концентрации 0,05 М он был равен 97 и 12%, при 0,05 М — соответственно 100 и 83%.
Таким образом, степень биологической активности препарата не имеет прямо пропорциональной зависимости от концентрации вещества, что свидетельствует о сугубо физиологической активности соединения, связанной с особенностями метаболизма растения.
В исследованиях по биохимизму действия ряда гербицидов установлено существенное влияние их на трансформацию энергия в клетке, повышение интенсивности окислительных процессов и угнетение фосфорелирования в митохондриях [10, 14, 21, 23]. Нарушение сопряженности окисления и фосфорелирования — результат угнетения активности многочисленных ферментов цикла Кребса и дыхательной цепи мито-хондрий. Получены дополнительные сведения о гербицидах, обладающих одновременно и гаметоцидной активностью. В частности, при нанесении далапона на растения люпина .изменялось соотношение сульфгидрильных и дисульфидных групп, входящих в состав активных центров многочисленных энзимов, участвующих в разнообразных ферментативных комплексах [13]. Кроме того, установлено повышенное содержание изофлавоновых глюкозидов и изменение их состава при o6pai6oTKe растений 2,4Д [22].
Появление хинонов — продуктов окислительного превращения фенольных соединений с высокой биологической активностью и их взаимодействие с амино- и сульфгидрильны-ми группами белков, сульфгидрильными группами аскорбиновой кислоты и другими SH-содержащими компонентами клетки обусловливают блокирование целых систем энзимати-чески взаимосвязанных комплексов. От окислительно-восстановительных условий и энергетических возможностей ткани, особенно спорогенной, зависят синтез и обмен важнейших органических соединений.
20















