13058 (647815), страница 4
Текст из файла (страница 4)
.
Портфель “B” будет изменяться так:
Из последней формулы следует, что мы предполагаем равное относительное изменение курсов, то есть, на сколько процентов изменился курс спот, на столько же изменится курс фьючерс.
Результаты немного лучше предыдущих, но все равно не удовлетворяют нашим критериям:
.
Учитывая, что это еще и очень дорогая процедура: за каждое изменение позиции на фьючерсном рынке мы должны платить 0,1 рубля комиссионных за контракт [Прил.4], изменим стратегию. Вначале периода устанавливаем позицию k по фьючерсам и фиксируем ее на весь период.
Самая простая схема, портфель “C” это длинная фьючерсная позиция равная по объему хеджируемой сумме:
.
Оцениваемые параметры характеризуются числом:
.
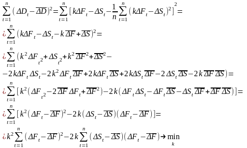
Попытаемся решить оптимизационную задачу, то есть найти такое k, при котором вариация изменения портфеля “D”, содержащего k длинных фьючерсных позиций и одну спотовую была бы минимальной:
.
Распишем целевую функцию таким образом:
.
Константа 1/(n-1) не влияет на решение задачи, поэтому далее:
Дифференцируем выражение по k, приравниваем к нулю и получаем:
Результат получился точно такой же, как если бы мы оценивали параметр регрессии
ΔS = kΔF + b
методом МНК.
Но для построения регрессии, нам нужна информация на будущий период, которой мы не имеем. Отсюда выход: взять такой же двухмесячный, но уже прошедший период хеджирования. Оцениваем параметр k зависимости между курсом спот и курсом июньских фьючерсных контрактов, начиная с середины апреля. Короткую позицию по единице валюты спот хеджируем объемом k фьючерсных контрактов, формируя таким образом портфель “D”, и оставляем его неизменным до 17 августа.
Вариация уже сравнима с вариацией нехеджируемой позиции, но все равно ее превосходит:
.
Невольно напрашивается идея проверить, на сколько же вообще возможно уменьшить риск в этот период с помощью данного сегмента срочного рынка. Для этого строим регрессию спот-курса по курсу фьючерс, непосредственно используя ряды хеджируемого периода. С помощью полученного коэффициента строим так называемый “оптимальный” портфель, фиксируя его до конца периода.
Мера риска данного портфеля равна:
.
3.2. Анализ изменения цены фьючерс
Было сделано предположение, что игроки ориентируются не на курс Центробанка, а на более рыночный курс доллара на ММВБ.
Но проведенные расчеты показали, что если в качестве цены спот взять именно этот курс, то результаты ухудшаются на порядок.
Получается парадокс: фьючерсный рынок, по определению созданный для страхования рисков изменения курсов базовых активов способен уменьшить подобный риск всего на 3%.
Объяснение данного феномена видится в двух вещах.
Первое. Если бросить взгляд на график изменения цены фьючерсного контракта, то можно заметить, что смена восходящей тенденции на нисходящую и наоборот происходит два раза [Прил.1, рис.1]. С 17-го июня по 7-е июля идет относительный рост котировки фьючерса. “Ситуация на финансовых рынках страны за минувшие две недели осложнилась до такой степени, что сейчас можно сказать: финансового рынка в России практически нет”, – такую оценку дал в этот период бывший премьер-министр Сергей Кириенко[12, №26. С.9]. Для такого заявления были достаточные основания: доходность облигаций впервые за последнее время перевалила за 100% годовых, курс доллара на межбанковском рынке перешел верхнюю границу валютного коридора, цены акций продолжали падать. Рынок тем временем полнился слухами и предположениями. Слухами о возможной девальвации рубля и замораживании ГКО и предположениями о том, когда МВФ даст России денег. Кстати, максимальное количество сделок по фьючерсам было заключено с 3 по 7-е июля, как раз за неделю до решающих новостей [Прил.1, рис. 2].
Далее перелом наступает 7–9 июля, когда переговоры Чубайса с МВФ о предоставлении стабилизационного кредита в размере $10 млрд. переходят в заключительную стадию. Вдобавок 13 июля вечером впервые было заявлено об обмене государственных краткосрочных облигаций на семи- и двадцатилетние еврооблигации и о намерении правительства вовсе прекратить эмиссию по ГКО. В результате на этом рынке доходность не только опустилась ниже ставки рефинансирования, но и приблизилась к давно забытым отметкам 50-60% годовых. Падение ставок на рынке гособлигаций, как и следовало ожидать, подстегнуло активность игроков на рынке акций. Валюта уже никого не интересовала: биржевой курс доллара накрепко прилип к нижней границе валютного коридора, снизившись за один день на 450 пунктов. Сергей Дубинин тут же с гордостью заявил, что ЦБ готов выкупать у коммерческих банков по $150 – 200 млн. в день, хотя еще накануне бывшему главе ЦБ приходилось с грустью констатировать, что золотовалютные резервы Банка России уменьшаются с каждой неделей на $1 млрд.
Вторая смена тенденции произошла уже в начале августа, когда началась всеобщая паника, а золотовалютные резервы на 7 августа, как стало известно, составляли уже $17 млрд., то есть за неделю снизились на $1,4 млрд.
Но даже, несмотря на столь напряженную ситуацию в течение двух месяцев, сделаем смелое предположение о том, что двухразовая смена тенденции не сильно повлияла на исследуемый параметр, так как нам нужна вариация не самого курса фьючерс, а его изменения и мы изучаем не сам ряд, а его разность первого порядка.
Для проверки этой гипотезы автором были проведены аналогичные расчеты для предыдущего двухмесячного периода, а так же трехмесячного периода с 15 сентября по 15 декабря 1997 года. Результаты оказались теми же: мера риска портфеля оказалась не ниже 99% и 96% соответственно от риска открытой валютной позиции.
Если сравнить график фьючерса с очень “гладким” графиком спот-курса [Прил.1, рис.3], то понимаешь, что недавние пророчества российских учебников по финансам о том, что “скоро на срочном рынке останутся в основном хеджеры” не сбылись. Фьючерсный рынок до сих пор представляет собой своего рода “казино” для огромной массы спекулятивного капитала. Проверяя гипотезу о сильной корреляции колебаний цен спот и фьючерс получаем показатель равный всего 0,23947, что говорит нам о том, что спекулянты “сами раскачивают лодку в которой сидят”. Плохое качество регрессии это только подтверждает. Естественно можно предположить, что Центральный банк на данном рынке себя никак не проявляет (имеются в виду интервенции), чего нельзя сказать о рынке спот. Поэтому вторая причина, из-за которой срочный рынок не работает по назначению, по нашему мнению, это особенности валютного регулирования, проводимого Банком России на текущем рынке.
3.3. Особенности валютного регулирования ЦБ РФ
За более чем семь лет либерализации отечественного валютного рынка Банк России испробовал все основные существующие режимы валютного курса с соответствующим их воздействием на объемы официальных валютных резервов. Чем более жестким и регулируемым был режим валютного курса, тем больших затрат средств валютного резерва для его поддержания в полном соответствии с общемировой практикой требовалось Центральному банку.
С начала 1992 г. на протяжении двух с половиной месяцев Банк России применял фиксированный официальный валютный курс рубля, установленный с учетом результатов торгов на ММВБ, на первоначальном уровне 110 руб. за 1 долл. США. С первых же дней существования нового режима валютного курса возникла постоянно увеличивавшаяся положительная разница между биржевым и официальным курсами доллара США к рублю, составлявшая в течение полугода в среднем около 50 % в месяц. Затем официальный курс доллара США к рублю, несмотря на высокие темпы инфляции, был постепенно искусственно снижен до уровня 85 руб. за 1 долл. к июню 1992 г. Валютные резервы Банка России в этот период практически полностью отсутствовали: все поступавшие от обязательной продажи части экспортной выручки валютные средства немедленно направлялись на валютные биржи для поддержания валютного курса рубля.
С лета 1992 г. ориентиры политики Банка России в области регулирования валютного курса рубля изменились: курс Банка России доллара США к рублю начал приближаться к биржевому. Официальный валютный курс был в течение месяца снижен на 17.5 %, затем 1 июля 1992 г. еще одноразово девальвирован на 25% и начал устанавливаться по результатам торгов на ММВБ. Кроме того, Банк России фактически перешел на использование режима «управляемого плавания» валютного курса. В рамках этого режима только слишком значительные разовые отклонения валютного курса «сглаживаются» валютными интервенциями Центрального банка. В результате политики естественного снижения валютного курса рубля в соответствии с темпами инфляции сократились объемы валютных интервенций Банка России и у него начали формироваться валютные резервы, достигшие к концу 1995 г. 14.3 млрд. долларов США.
Тем не менее, до середины 1995 г. «концепция сдерживания», хотя и в меньшей степени, продолжала преобладать в политике Банка России. По этой причине периоды использования Банком России режима «управляемого плавания» курса рубля прерывались валютными кризисами, возникавшими в результате значительного отставания динамики валютного курса от темпов роста внутренних цен. Так было в августе, сентябре и октябре 1992 г., январе 1993 г., октябре 1994 г. («черный вторник»), январе 1995 г., когда накопленный нереализованный инфляционный потенциал валютного курса рубля становился очевиден Центральному банку по значительному снижению уровня валютных резервов, израсходованных на искусственное поддержание завышенного валютного курса рубля.
Возникающее противоречие всякий раз устранялось в результате разовых девальваций (в среднем более чем на 20% каждая). Причем девальвации эти проводились через механизм торгов ММВБ путем сокращения объемов или полного отказа от проведения интервенций Центрального банка. Тем самым валютный курс на короткое время переводился в режим «свободного плавания».
С середины 1995 г., когда валютные резервы Банка России достигли достаточных размеров, был последовательно проведен ряд мероприятий, направленных, если не на стабилизацию динамики валютного курса рубля, то – на придание ей определенности. Так, с июля и до конца года был установлен предел отклонений курса рубля в форме «горизонтального валютного коридора» с границами 4300 - 4900 руб. за 1 долл. США. Тем самым Банк России обязался всеми доступными ему методами денежно-кредитной и валютной политики удерживать текущий валютный курс в объявленных границах. В 1996 г. эта политика была продолжена и «валютный коридор» был продлен в пределах 4550 - 5150 руб. за 1 долл. С мая 1996 г. в рамках действующего «валютного коридора» дополнительно был введен малый «валютный коридор» с ежедневной фиксацией допустимых отклонений курса рубля в пределах + 1.5 %, которые ограничивались при помощи валютных интервенций Банка России. С июля 1996 г. устанавливается «наклонный валютный коридор» с нижней границей 5000 - 5600 и с верхней – 5500 - 6100 руб. за 1 долл. Тем самым Банк России вновь изменил режим валютного курса рубля, начав использование отдельных элементов режима «скользящей фиксации». Последний был выбран в качестве внешне наиболее привлекательного и, как могло показаться, наиболее эффективного.
В рамках режима "скользящей (ползущей) фиксации" (сrawling peg), курс национальной валюты "привязывается" к какому-либо "объективному" рыночному критерию: курсу доллара США или к корзине валют. В последующем курсовое соотношение национальной валюты и "объективного критерия" поддерживается на неизменном уровне в отдельные промежутки времени. В зависимости от ситуации на валютном рынке или в экономике страны эти уровни могут относительно плавно изменяться. В рамках установленных уровней курс национальной валюты поддерживается путем проведения Центральным банком целенаправленной денежно-кредитной политики, а в случае необходимости - официальных валютных интервенций.
Во время относительно продолжительного периода использования элементов режима «скользящей фиксации» (с середины 1995 до середины 1998 гг.) в результате контроля Банка России за соответствием динамики валютного курса рубля темпам инфляции нереализованный инфляционный потенциал валютного курса рубля практически не увеличивался. Однако уже заложенный в уровне валютного курса нереализованный инфляционный потенциал никуда не исчез, но под действием ряда факторов (например, притока иностранных капиталов на валютный рынок) его влияние временно нейтрализовывалось. Другими словами, он продолжал сохраняться в «режиме ожидания» удобного момента для своей реализации. Такой момент и наступил в августе 1998 г. в результате одновременного сочетания целого ряда негативных факторов, которые взаимно усилили свое воздействие на валютный курс рубля, вызвав тем самым небывалый кризис отечественного валютного рынка.
При внешне благополучном развитии ситуации на российском валютном рынке в 1995 - 1998 гг. в его недрах вызревали корни грядущего кризиса. На это явно указывали изменения, происходившие в структуре платежного баланса страны, и их воздействие на объемы официальных валютных резервов. Так, несмотря на приток иностранных капиталов на российский валютный рынок в 1996 г. в объеме около 7.7 млрд. долл. США и положительного сальдо баланса текущих операций более 12 млрд. долл. США, валютные резервы Банка России сократились по сравнению с предыдущим годом более чем на 20 % и достигли 11.3 млрд. долл. США. К концу 1997 г., при том, что поступления на отечественный валютный рынок только иностранных прямых, портфельных инвестиций и вложений в ГКО-ОФЗ составили более 18 млрд. долл. США, объем валютных резервов Банка России незначительно вырос на - 14.5 % (1.6 млрд. долл.) и составил менее 13 млрд. долл. США. Такой более чем скромный рост официальных валютных резервов при общем поступлении на валютный рынок страны более 21.5 млрд. долл. позволяет сделать вывод об имевшем место в 1997 г. фактическом финансировании сильно завышенного за предыдущие годы валютного курса рубля за счет средств иностранных инвестиций в ГКО-ОФЗ.
















